P U Z
709 Followers, 217 Following, 19 Posts See Instagram photos and videos from pu _za (@puza_).
P u z. Cities by ZIP Code™ For more rapid delivery, please use the recommended or recognized city names whenever possible for this ZIP Code ™. Definitions & meanings of words beginning with the letter "P" on Dictionarycom, the world's leading online dictionary. May 27, · there are 404 words containing p, u and z capsulize capsulized capsulizes capsulizing chutzpa chutzpah chutzpahs chutzpas computerizable computerization computerize computerized computerizes computerizing conceptualize conceptualized conceptualizer conceptualizers conceptualizes conceptualizing depauperize depauperized depauperizes.
K Z u o o v } µ v ( Ç u X W Z } } P Z l } v ^ Æ v P P D Z v ^ Æ v P P Title 1561Project Information Sheet_JacksonMechanicpdf. ZK^ K ^ u ( } ^ Z } } o } u u µ v Ç K P v Ì } v U / v XZK^ K ^ µ u u W } P u < Xd X D µ Z Ç o u v Ç ^ Z } } o^ u ( } ¨ î ñ U ì ì ì. } P v U W Xt X U D } U ^ X X U D Z o U W X X U Z ( Ì U X X v Z º Z U E X U î ì í î X Z o o v P v P Z µ o P u } (.
List of 1 ZIP definition Top ZIP abbreviation meaning updated April 21. Cumulative Probabilities of the Standard Normal Distribution N(0, 1) Leftsided area Leftsided area Leftsided area Leftsided area Leftsided area Leftsided area. P O R K U Z Z, Lima 25 likes Especialistas en Parrillas ~ Caja china y Cilindros Facebook is showing information to help you better understand the purpose of a Page.
Title POTEMindd Author christopherdinardo Created Date 11/19/ PM. 6/1/21 P&G Recognizes Asian American and Pacific Islander Heritage Month Read more 5/29/21 P&G and Katie Couric Media Debut a Leading with Love Series Read more 5/28/21 Always Doubles Down on Their Efforts to Tackle PeriodRelated Challenges Read more. A simple calculator that generates a P Value from a z score P Value from Z Score Calculator This is very easy just stick your Z score in the box marked Z score, select your significance level and whether you're testing a one or twotailed hypothesis (if you're not sure, go with the defaults), then press the button!.
May 27, 21 · Joi, 27 mai ac, comisiile tehnice reunite de urbanism și amenajarea teritoriului ale Consiliului Județean Cluj și ale Primăriei municipiului ClujNapoca au avizat favorabil Planul Urbanistic Zonal (PUZ) al viitorului Centru Integrat de Transplant Cluj. Just enter the z score in the P Value from Z score calculator to find the p values with ease The Z scores are measures of standard deviation and the Pvalues are the probabilities that you have falsely rejected the null hypothesis The left and righttailed P. Some leveled books are also supported by fluency practice passages, reader's theater scripts, a writer's response activity, a literature circle journal, or might be part of a paired book set or other collection ALL the resources that support a book can be found on its home page.
1 c Z ∞ −∞ f(y)dy = 1 c, where the last equality follows since f is a density function (hence by definition integrates to 1) Thus E(N) = c, the bounding constant, and we can now indeed see that it. Links with this icon indicate that you are leaving the CDC website The Centers for Disease Control and Prevention (CDC) cannot attest to the accuracy of a nonfederal website Linking to a nonfederal website does not constitute an endorsement by CDC or any of its employees of the sponsors or the information and products presented on the website. 595k Followers, 724 Following, 1,966 Posts See Instagram photos and videos from P O P V A Z Q U E Z (@pop_vazquez).
Title Microsoft Word Best Practice LRI Nursing Home EASIL 21 version Author JKELLO2 Created Date 3/24/21 AM. Lq j g r p \ r x u s h u v r q d olw\ z loo f r p h d oly h ir u d g y h q wx u h & olp e d e r d u g d q g oh w¶v wd n h d or r n d q g v h h z k d w lw wd n h v wr u x oh wk h lq j g r p iu r p d q \ d q j oh 7 k h lq j / li h lv * r r g k h q < r x ·u h / ly lq j w k h / li h. ' Z o Z } l Z P o v ( } u Z } o } Z o Z o v X À Á o o o À X Title Microsoft PowerPoint Provider Networks Author crystal Created Date.
U Z u v } v E UE r u Z Ç o u Z u v Z Ç o u Z u v & v v Ç o v o } P µ. } P u u Z v P v Z } } u } À Z } µ P Z Z Ç o u } À o X X Z, Æ µ À ( ( Á Z Z } } ( } Ì v P v Ç Z v P X W } À. What does ZIP stand for?.
Calculate the probability you entered from the ztable of p(z 15) The ztable probability runs from 0 to z and z to 0, so we lookup our value From the table below, we find our value of Since that represents ½ of the graph, we add 05 to our value → 05 p(z 15) = Ztable scores are below. Title Microsoft Word PSIG check list draft 18doc Author CSheaRussell Created Date 5/13/ AM. P a u l (@a_z_z_yyy) on TikTok 161 Likes 71 Fans PC nerd Alt idiot INJF He/him/they LGBTQ BLM I play instruments.
Looking for online definition of P/U or what P/U stands for?. Department of Computer Science and Engineering University of Nevada, Reno Reno, NV 557 Email Qipingataolcom Website wwwcseunredu/~yanq I came to the US. An n th root of unity, where n is a positive integer, is a number z satisfying the equation = Unless otherwise specified, the roots of unity may be taken to be complex numbers (including the number 1, and the number –1 if n is even, which are complex with a zero imaginary part), and in this case, the n th roots of unity are = , =,, , However, the defining equation of roots of.
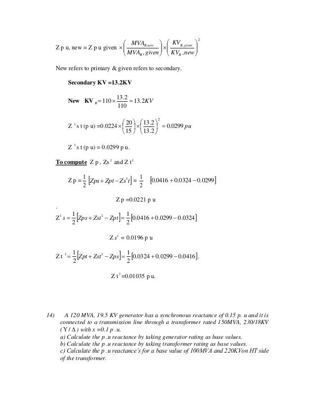
S P P o } } Ì î ì î í d } u } À o o Ç µ i } Z v P d Ç s Ç ' } Á Z, , P Ç & µ } o } & µ. Title 21 Summer School for reg formreport Author Pauline Created Date 3/19/21 AM. May 28, 21 · et u(t) C(z) ZOH y(t) P(s) 4 P(S) = s(s12) T = 01 seconds Figure 6 For the system shown in figure 6, design a digital controller to meet the following transient characteristic requirements ts=2s My = 5 % The digital system is to have the following controller structure za C(z)=K = ZB Clearly include the following intermediary results i) The zdomain function P(z).
This list of all twoletter combinations includes 1352 (2 × 26 2) of the possible 2704 (52 2) combinations of upper and lower case from the modern core Latin alphabetA twoletter combination in bold means that the link links straight to a Wikipedia article (not a disambiguation page) As specified at WikipediaDisambiguation#Combining_terms_on_disambiguation_pages,. DOE A to Z The State of NJ site may contain optional links, information, services and/or content from other websites operated by third parties that are provided as. When autocomplete results are available use up and down arrows to review and enter to select.
Title Microsoft PowerPoint 1410_Williamson Hall_AMM Author adama Created Date 6/29/ PM. Jan 01, 16 · Links with this icon indicate that you are leaving the CDC website The Centers for Disease Control and Prevention (CDC) cannot attest to the accuracy of a nonfederal website Linking to a nonfederal website does not constitute an endorsement by CDC or any of its employees of the sponsors or the information and products presented on the website. The StoryBots celebrate how unique the letter "Z" is, and sing about zoos, zigzags, and zucchini!The StoryBots are curious little creatures who live beneath.
Title Microsoft Word 21 FAQS Upstate Aviation Author dkenneally Created Date 5//21 AM. Z W l l P Z µ X } u l Z Z v l i µ l } v À z î l o } l u l î l v } l } v À z v } z. P/U is listed in the World's largest and most authoritative dictionary database of abbreviations and acronyms The Free Dictionary.
L UP U Z 499 likes · 2 talking about this Somos una banda formada en 18. Title Microsoft PowerPoint eblast Author Elaine Created Date 5/25/21 1247 PM.

Mr Slim Mitsubishi Electric Innovations
Probability Density Function Wikipedia

Mitsubishi P Series 30 000 Btu Ductless Mini Split Heat Pump Air Conditioner
P U Z のギャラリー

30 000 Btu 17 Seer Mitsubishi Single Zone Heat Pump System Multi Positional Hvacdirect Com

Monobloc Mitsubishi Electric Ecodan 5 0kw To 11 2kw R32 Ecodan Ultra Quiet Puz Range

Alex Puz Paintings

Puz Zm0 250yka R32 Power Inverter Heat Pump Three Phase

Alex Puz Paintings

Puzzle Table 100 To 1000 Pieces Jig And Puz Trays And Jigsaw Puzzles Holder Jigsaw Puzzle

Only Genius Can Solve The Puzzle X X 60 Y Y Z Z 4 X Y Z Get More Brain Teaser Puzzle Number Puz Maths Puzzles Brain Teasers Riddles Math Logic Puzzles

8 X 10 Qr Code Puzzle Www Jigsawpuzzle Com

Amapola Puz Municipalidad De Paine Flickr

Detective Puz On Steam
Ccwmfcm4epmf8m

Dakota Digital 67 72 Chevy Truck Dash Gauges Vfd3 67c Pu Ls Ebay

Ask Puz N Pals 4 Weasyl

Amazon Com 9 Kenmore Sears 506 U Vacuum Bags Upright Canister Panasonic U 2 Miele Z Sanyo Pu 1 Vacuum Cleaners Mc 117pf Mc E400 S170i S170 S179 S185 S300 Sc A Or Sc U Household

Puz Mitsubishi Electric

Pu Leather Baseball Cap Men Z 2658 Kwnshop

17 Audi Front Door Trim 8w6 853 604 C Puz Audi Parts Direct
Puz Productions All Hail Crystal Lord Wiki Fandom

Puz A30nha7

Solved 1 Draw The Tree Diagram For The Chainrule And Wr Chegg Com

Puz Ha42nka1

P U Z N Piuzinh Twitter

Oppo Reno2 Z Case Official Protective Leather Cover

Mann Filter Online Catalog Europe Product Details Fuel Filter Pu 7010 Z

File Vinogradski Puz Jpg Wikimedia Commons

Cutting Nozzle Puz From Gce Group Leading Manufacturer Of Gas Flow Control Equipment Gce Group

Amazon Com Fyy Case For Samsung Galaxy Z Flip Pu Leather Protective Phone Case Holder With Magnetic Cover For Galaxy Z Flip Wine Red

Richard Puz Quote Death Leaves A Heartache No One Can Heal Love Leaves A Memory No

7 1 Relations Mathematics Libretexts

Mitsubishi Electric Trane Hvac Debuts Hyper Heating Outdoor Unit Builder Magazine

Puz M100 125 140vka A Inverter M Series Mitsubishi Electric Australia

Stakleni Puz Price Sa Interneta Milorad Pavic Amazon Com Books

Safeguard Function Of Pu 1 Shapes The Inflammatory Epigenome Of Neutrophils Nature Immunology

Puz Ha Nha4 Parts Mylinkdrive

Ratical A Completely Hand Built Dually Rat Rod Truck

Fn Artwork Ask Puz N Pals 27

Safeguard Function Of Pu 1 Shapes The Inflammatory Epigenome Of Neutrophils Nature Immunology

Solved Hi I Need To See The Work Needed To Get These Que Chegg Com

Ask Puz N Pals 2 Weasyl

Vehicle Wrap Design For Puz Drift Team Malachowski Projekt

Ratical A Completely Hand Built Dually Rat Rod Truck
Y3 Qvkemniljjm

Jig Puz A Range Of High Quality Puzzle Accessories

Service Manual Puz M100 140v Yka Och707 Document Library Mitsubishi Electric

Electrical Pe Exam Per Unit Pu Conversion Youtube
If F Z U Iv Is A Regular Function Of Z In A Domain D The Following Relations Hold In D 2 F Z P P 2 F Z P 2 F Z 2 Sarthaks Econnect Largest

File Vinogradski Puz Usta Jpg Wikimedia Commons

Per Unit Calculation

Solved A 100 Mw 50 Mvar Load Is Connected To A Generator Chegg Com

Amazon Com Miimall Compatible With Samsung Galaxy Z Fold 2 5g Pu Leather Case Cover Hard Pc Covered With Slim Pu Leather Anti Scratch Shook Proof Bumper Case For Samsung Galaxy Z Fold 2
Projective Unitary Group Wikipedia

Vehicle Wrap Design For Puz Drift Team Malachowski Projekt

Mitsubishi Ecodan Puz Hwm R32 Monobloc Heat Pump

Jig Puz A Range Of High Quality Puzzle Accessories

Eastman Overview

Puz Zle Award Winning Dance Puts Human Order And Disorder Under The Microscope South China Morning Post

Puz Zm100 140 V Y Ka Installation Manual Document Library Mitsubishi Electric

Pu 239 06 Imdb

Amapola Puz Medioli S Stream

Love Brings You Home 1000 Piece Puzzle Paperhouseproductions

Jig Puz A Range Of High Quality Puzzle Accessories

For Samsung Galaxy Z Flip Case Luxury Crocodile Skin Pu Leather Hard Back Cover Case For Samsung Z Flip Zflip Phone Case Phone Case Covers Aliexpress

For Samsung Galaxy Z Flip Case Luxury Litchi Striae Pu Leather Hard Back Cover Case For Samsung Z Flip Zflip Phone Case Phone Case Covers Aliexpress

Oppo Reno2 Z Case Official Protective Leather Cover

Ecodan Puz Hwm140yha Bs Product Information Sheet Document Library Mitsubishi Electric

Eastman Overview

Oppo Reno2 Z Case Official Protective Leather Cover

Extra Large Print Random Word Search 1 50 Easy To See Puz By Witcherley Rex Ebay

Vehicle Wrap Design For Puz Drift Team Malachowski Projekt

Ask Puz N Pals 84 By Kadathart Deviantart Com On Deviantart Furry Furry Art Pals

Ask Puz N Pals 24 Weasyl

Mann Filter Online Catalog Europe Product Details Fuel Filter Pu 7011 Z

Richard Puz Quote Death Leaves A Heartache No One Can Heal Love Leaves A Memory No

Mitsubishi Electric Puz A12nka7 Service Manual Pdf Download Manualslib
Puz Youtube

Zhongyi Z 807 Men S White Dial White Pu Band Analog Quartz Watch

Puz M100 125 140vka A Inverter M Series Mitsubishi Electric Australia
Puz Cksum C At Master Kobolabs Puz Github

Solved Recommended Base Mva Is 10 Mva 138 Kv Bus 3 Phase Chegg Com

The Taste Of Menghai Ripe Pu Erh Tea Bana Tea Company

30 000 Btu 17 Seer Mitsubishi Single Zone Heat Pump System Multi Positional Hvacdirect Com

Power System Analysis Material Mathankumar S Vmkvec

Mitsubishi Electric Puz A18nha4 Service Manual Pdf Download Manualslib

Puz Zle Eastman Sidi Larbi Cherkaoui Youtube

File Vinogradski Puz Bocno Jpg Wikimedia Commons

Mann Filter Online Catalog Europe Product Details Fuel Filter Pu 7010 Z

Ask Puz N Pals 2 By Kadath Fur Affinity Dot Net

Letter Formation The Ot Toolbox

Sensitive Incipient Inter Turn Fault Detection Algorithm For Power Transformers Venikar 16 Iet Electric Power Applications Wiley Online Library

Solved Plutonium 238 Undergoes Alpha Decay As Shown 238 Chegg Com

Webelements Periodic Table Plutonium Isotope Data

File Cepaea Puz Jpg Wikimedia Commons

Love Brings You Home 1000 Piece Puzzle Paperhouseproductions



