Papers Past Newspapers Horowhenua Chronicle 1 August 1916 District Roll Of Honor

Tj Taijin Medios Verde 0 Maquina De Karaoke 1 Tb Ntsc Tir 1060 2 Microfono Inalambrico Ebay

Gallipoli To Day 1st Edition De T J Pemberton Very Good Hardcover 1926 1st Edition Phoenix Books Nz
T Jtbag のギャラリー
Typo A B C D E F G H I J K L M N O

The Real Vocal Book Pdf Pdf Txt

How Accurately Can The Climate Sensitivity To Hbox Co 2 Co2 Be Estimated From Historical Climate Change Springerlink

The Bruton S Tyrosine Kinase Inhibitor Ibrutinib Abrogates Bispecific Antibody Mediated T Cell Cytotoxicity Godwin British Journal Of Haematology Wiley Online Library

Inestabilidad Glenohumeral Lo Que El Radiologo Debe Saber

Yamaha Dt175 N T W A B C D E F G H 1984 1996 Jt Cadena De Motocicleta Oro Hpo Ebay

Economics Human Biology Journal Elsevier

Calidoscopio A A Wilsonf E Sterneh C Thompsonw T Carringtonh R Crockettj A Shackelfords C Espolvorear 137

Transversity Decomposition Of Quark Angular Momentum Topic Of Research Paper In Physical Sciences Download Scholarly Article Pdf And Read For Free On Cyberleninka Open Science Hub

Solved A Consider The Following Signal F T 3 4 Si Chegg Com
Papers Past Newspapers Horowhenua Chronicle 26 November 1918 For Home And Country
Just The Beginning A Pipeline Organization Linkedin

Bmic4

C A T A L O G O Pdf Free Download

Torsion

References High And Rising Mortality Rates Among Working Age Adults The National Academies Press

Off Axis Current Drive And Current Profile Control In Jt 60u T Suzuki S Ide T Fujita T Oikawa M Ishikawa G Matsunaga M Takechi M Seki O Ppt Download
Jesus Mon Dieu Je T Adore Sheet Music For Trumpet In B Flat Saxophone Alto Vocals Woodwinds Group Mixed Ensemble Musescore Com

Revista Contemporaneos Revista Contemporaneos Mexico Jul Flickr

Solved 1 64 The Systems That Follow Have Input X T Or X Chegg Com

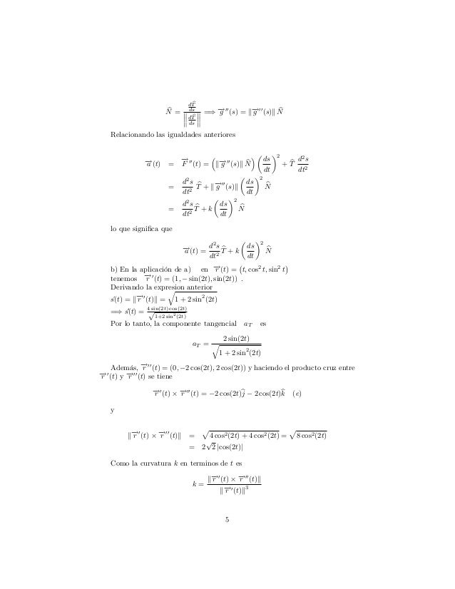
Answered A Find Dr For The Path R T G T I Bartleby

El Boletin Biologica La Biologia Zoologia Biologia Biologia Marina Cuerpo Contra Shell En Crecimiento Balanus 225 Gt I J T 3 F I

Problemario De Calculo Vectorial By Gerson Villa Gonzalez Issuu

Jt 16 B Jensen Transformers

Sulfato Cuprico 5 Hid Ra Acs 500 G Viresa

Contents 9 1 Vector Functions 9 2 Motion In A Curve Ppt Download

Solved Show That N T G T I F T J And N T G Chegg Com

C A T A L O G O Pdf Free Download

Nist Traceable Calibrator Simulator Type J K T E N R S B G C D P L U Mv Stores 45 From Cole Parmer

174 31 Fotos E Imagenes De Stock Alamy

Table Of Contents Diabetes Care

Awesome T Shirts Best Tshirts Letter J Tshirt Name Initials Design From 3tshirts Design Description Le Design Your Shirt T Shirt And Jeans Printed Shirts
Typo A B C D E F G H I J K L M N O

Una Aplicacion Del Metodo Monte Carlo A Opciones Nancieras De Tipo Europeo Monica Aguirre Mastranzo Pdf Free Download

La Festa Major G J Tg Tj Tx Ig 9 Primeres Planes Amazon Es Palacin Peguera Adelina Bayes Luna Pilarin Verdaguer Dodas Assumpta Libros
Mcq Engineering Blogspot In Strength Of Materials Torsion Of Shafts2 Torque Building Engineering

Halla La Expresion Equivalente A Cada Producto A M N M N B 4 10 2a 10 C Brainly Lat

I Love L K J T J L C B A And G J C J K N P T And The List Goes On With D M P C P W B

Asme Viii Division 2 Pdf Pdf Txt

Ejercicios Resueltos F Vectoriales 1

Cuarto Parcial Calculo Multivariable

Mpt64 Assays For The Rapid Detection Of Mycobacterium Tuberculosis Bmc Infectious Diseases Full Text

Lista Del Ejercito Keatinsre Rev W Keatley R W Keay J T T Keays C R L C R W C W Keble A A E G T H Keddie H W G R R

Inferring Parameters For A Lattice Free Model Of Cell Migration And Proliferation Using Experimental Data Biorxiv

Bg Neogene Caribbean Elasmobranchs Diversity Paleoecology And Paleoenvironmental Significance Of The Cocinetas Basin Assemblage Guajira Peninsula Colombia
Let A 1 1 0 2 1 3 1 2 1 And B 1 2 3 2 1 3 0 1 1 Find A

Solved Find The Fourier Transform For Each Of The Signals Chegg Com

Discos Embrague Tjt Derbi Fds Fdx Fdt Www Recambiomotosclasicas Com

A P Plagiomnium Acutum Lindb T J Kop Lwg a A G A Download Scientific Diagram

Heterogeneous Dynamics During Yielding Of Glasses Effect Of Aging Journal Of Rheology Vol 60 No 5

Practica Funciones Vect Pdf By Wilder Aguilar Issuu

Yamaha Dt175 N T W A B C D E F G H 1984 1996 Jt Motocicleta Trasero Pinon Ebay
Pronunciation Assimilation And Elision Wordreference Forums

Presupuesto Legislativo Del Estado De Montana Jkook Mtjjjjjjjjjjjjjjjjjjjgggzg Clb I A A A R Q U M Lt A 1 M Gt T S H Lil S Gt 5 C I Si

Climate Change And Cotton Production In Modern Farming Systems Cabi Org

Dc V Ma Termopar K E J T B R S N Simulador De Origen Generador De Senal 24v Loop Ebay

Multiple Objective Function Optimization R T Marker J

T J Enterprises Pachora Electrical Shops In Jalgaon Justdial

U T J B G Leather Wallet Leather Gifts Small Leather Goods

K H C Vb T C Sgo º Vh Tj H A Vhuoj º K H C Aev B T C F O

Cross Section Of Selected Seed Of Thalictrum Petaloideum A B T Download Scientific Diagram

Neurodiem

Analyzing The Film Formation Mechanism Of Cellulose Nanoparticles Cnps Based On The Fast Freeze Drying Morphology Springerlink

Pratylenchus Neglectus A B D F G I J T Female C E H K Male Download Scientific Diagram
Jtb Europe Linkedin



