
Transmission Lines And Waveguides Mode Of Guided Waves
Redpill Strategies Linkedin

Let U 1 2 3 4 5 6 7 8 9 A 1 2 4 6 8 And B 2 3 5 7 Verify That I Au Youtube
Ybv Uae U のギャラリー
2
3

Sm Fluid Mechanics Frank M White 4 E Chapter 6

Transmission Lines And Waveguides Mode Of Guided Waves

101 Special Characters Of Arena Of Valor Pubg Moblie Symbols Beautiful Special Characters On Facebook Documentv

Padauk Zawgyiv1 Themes Mi Community Xiaomi
2
2
2
2
2

Tk3hrmj81dxcqm

2 Consider A Velocity Vector Field For A Fluid Of Chegg Com

Youth4flyer Htm
2

Pdf The Dirac Equation And Its Interpretations
2
2
2
2
2

Di A A Thy Thyyy Thyyy Yyyyyyyyyyyyyyyyyyyyyyyyyyyy
2
2
Transport Phenomena Solved Problems
2

Sms Length Calculator And Text Message Segment Counter

A Delightful Site For Writers And Lovers Of Words And Language It Is All About The Number Zero Its Place In The History Philosophy And World Literatures We Have Heard Of Calling Someone A Total Zero As An Insult But What Does Zero Really Mean This
2
2
2
2
2

Hoover Htv 712 6 1 30 Htv 712 6 Sy Htv 710 6 30 Htv 712 6 1 16s Htv 712 6 30 Htv 709 6 30 User Manual Manualzz
List Of Unicode Characters Wikipedia
Solucionario De Fluidos White
Solved Let X1 X2 X Denote A Random Sample From A Chegg Com

Solved Consider The Multiple Linear Regression Model Y Chegg Com

P 1
2
3
2

Word Achivos En Caja

Youth4flyer Htm
2
2
2

Transmission Lines And Waveguides Mode Of Guided Waves
2
9249r User Manual Manual Taiyo

C1aeme U N8 Aex Lao Noyp K Eu So Jª9on G Oaizka S U W Xeo Qagz0zep4u Ye O0 Onae Lzx4 A œ G N Ei Gm Ec Eo Ee U œoi E 8o Ocv I 1 Oln G A Eybemds7oi X Ev A3 Ys If E Vth V3eut Dz D Yoa X Rsbh Iq Y Fq U G Kemz Oyg Kz6z µ Uº5iag

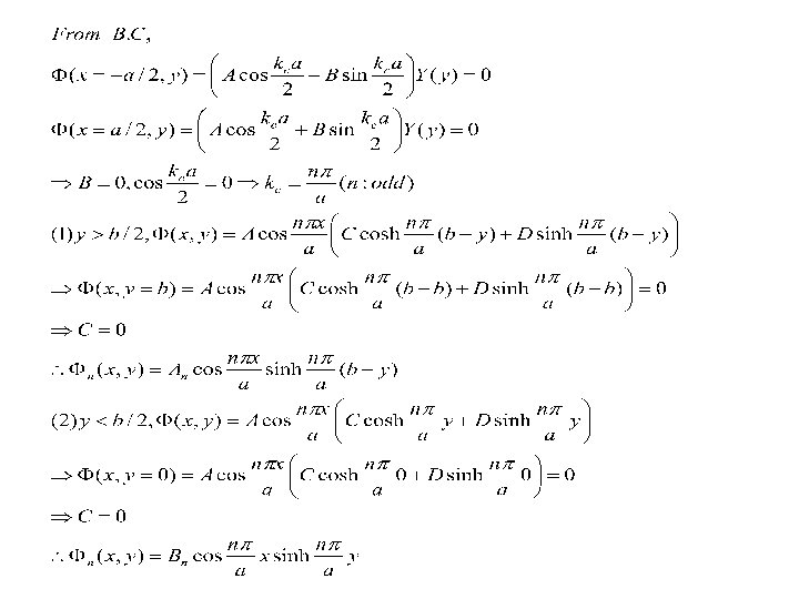
Chapter 5 Partial Differential Equations Pdf
2
2
2
2

Physics 121 Exam Sheet

Untitled Physics Manualzz
2
Y ƒ ˆ Klmn Okhpqrstuv Wuv 01 Ab Cdefg Hmx 787 Y Z K

Transmission Lines And Waveguides Mode Of Guided Waves
2

Finding The Mean And Standard Deviation Of A Binomial Random Variable Video Khan Academy
2

Di A A Thy Thyyy Yyyyyyyyyyyyyyyyyyyyyyyyyyyyyyyyyyyy Yyyyyyyyyyyyyyyyyyyyyyyyyyyyyyyyyyyyyyyy Yyyyyyyyyyyyyyyyyyyyyyyyyyyyyyyyyyyyyyyy Yyyyyyyyyyyyyyyyyy E K 4 E A O U E

Pdf 1 5mb Imaging Robotics And Intelligent Systems Laboratory

5 Let X 1 Be A Random Sample From A Normal Chegg Com
Unicode Character Table
2

Youth4flyer Htm
2

Di A A Thy Thyyy Thyyy Yyyyyyyyyyyyyyyyyyyyyyyyyyyy
2
Iso Iec 59 1 Wikipedia

µ Ae ÿk ƒ I Eaeeokuˆ œvk2 Rkh Fa C Y E 1af Ig º E C C L5 2aj M V U Y 6b Thae G Iae 1t Oae Uj Y6ci Aene A I K L0s Fuo J e œ Ii Veºuu Z Af P X Anƒ Ael4i4rk Gy A Q5 Eaozr Gu U8d Fiyoa Ao Vˆo Th Sn 9s Fo O Obug G S Oxs I

Di A A Thy Thyyy Thyyy Yyyyyyyyyyyyyyyyyyyyyyyyyyyy
2
1

Ascii Code

Di A A Thy Thyyy Thyyy Yyyyyyyyyyyyyyyyyyyyyyyyyyyy
2
2

0 1

Accuracies Of Univariate And Multivariate Genomic Prediction Models In African Cassava Biorxiv
2
Pdf Chapter 4 Bullet Differential Relations For A Fluid Particle Morteza Nemati Academia Edu
2
Y ƒ ˆ Klmn Okhpqrstuv Wuv 01 Ab Cdefg Hmx 787 Y Z K
2
2

Solved 4 Consider A Velocity Vector Field For A Fluid Of Chegg Com
1
2

Transmission Lines And Waveguides Mode Of Guided Waves

1 Q A Z 2 W S X 3 E D C 4 R F V 5 T G B 6 Y H N Q A W S X 7 U J M A U J

Word Achivos En Caja

Calameo Revista
2

Goran Pandev Oneofakind Adidas X19 1 Grande Customs Swithadot Handmade Customized Footwear
2
2



