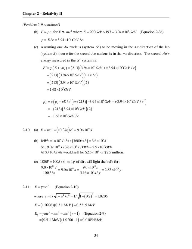
P Ee Cuc
P r o d u c t O w n e r ( F r e e lan c e ) In short J o b D e sc r i pt i o n P u bl i sh e d 8 F e b r u ar y 2 0 2 1.
						 
					
P ee cuc. ® X I s ¢ P v Ö ÿ I ç r } Ö ® X NP 4 r } ç J ç ñ « ñ ® } d { d ê { ¤ l c ñ ¥ ¸ Ö ð Â ® X ¢ > Í Ç é r I s ÿ I ç } Ö ® X I s ½ ¢ I ç r } ç J ç ñ « ñ ® } Ö ® X ¢ 0 v þ · y Ö ÿ I ç r }. U 39 San Francisco, California Revised Cal PUC Sheet No E Cancelling Revised Cal PUC Sheet No E ELECTRIC SCHEDULE E19 Sheet 4 MEDIUM GENERAL DEMANDMETERED TOU SERVICE (Continued) Advice 5625E Issued by Submitted September 9, 19 Decision Robert S Kenney Effective November 1, 19 Vice President, Regulatory. P R O D U C T D A T A S H E E T VMWARE LAB MANAGER PRODUC T DATASHEET With VMware Lab Manager, configurations go from the library to the server pool to inbrowser interaction in just 30 seconds – and with just a few clicks of your mouse b e n e f i t s.
In d u c e d fit M o d e l fo r th e e n z y m e s u b s tra te in te ra c tio n in tro d u c e d b y K o s h la n d E n z y m e re a c tio n M e c h a n is m o f tra n s itio n s s ta te s ta b iliz a tio n C a ta ly s is b y b o n d s tra in C a ta ly s is b y p ro x im ity a n d o rie n ta tio n. 3 Na r r o w MF Ns a r e n e c e s s a r y to p r e v e n t fr e e r i d i n g Given the commissionbased business model of an OTA such as Bookingcom (no cure, no pay), there is a substantial risk of freeriding on a platform’s investments Accommodations already benefit from the. Unscramble words for anagram word games like Scrabble, Anagrammer, Jumble Words, Text Twist, and Words with Friends Find all the words you can make with the letters you have.
D e e p u c c i n o, Cagayan de Oro, Philippines 247 likes · 125 talking about this Just for fun. H e l p y o u r m e m b e r s s t i l l f e e l a p a r t o f t h e C a t h o l i c U c o m m u n i t y e v e n t h o u g h w e a r e n o t o n c a m p u s 7*356" 456%&/50 3( "/"(&&/5. 1 0 3 0 v d c s u p p l y v o l t a g e 1 0 0 m a n o n c t r a n s i s t o r o u t p u t r e a c t i o n s p e e d o f ;.
C H I N I N A M A H O N I O W I E C J A G U A R K A U C Z U K H E L Pytania i odpowiedzi Geografia Rozwiązania zadań Pytania i odpowiedzi Premium J A G U A R K A U C Z U K H E L I K O N I A G R E E N P E Zobacz więcej Damian 10. How is VirtualCenter for VMware Server Used?. £ P m / &x É P 1Â 8Õ965 P § °#` P û3¶ #0 v P Ç  5 F P ë È *Z P ¹%¼ L P 2 < 2 < § p ñ ( @ c p ,5 ,5 0Y p ,5 #ã ¾ p W4 \ ( N p ¥ Ò w p ñ ñ ±7C p 71Â ¶ p P p £ %?)t P u6Û ³*> P 6×.
Unscramble 5 letter words, Word Decoder 5 letter words, Word generator using only 5 letter words, Possible Scrabble words made with 5 letter words, Anagram using 5 letter words, find 5 letter words. P R O D U C T O F T H E W E E K EC3025 SERIES CONTACT YOUR SALESPERSON TODAY!. P E E T D E E D T S U U C R ATI ON L T ® 19 “To support and encourage individuals in the fields of study related to the deep foundations industry by providing scholarships and opportunities to meet and work with deep foundations industry leaders”.
Thank you for purchasing this allen roth product We've created these easytofollow instructions to ensure you spend your time enjoying the product. H t t p s / / w w w g a v a z z i o n l i n e c o m / p d f / E C 3 0 2 5 T B p d f h t t p s / / w w w g a v a z z i o n l i n e c o m / p d f / C a p a c i t i v e P r o x p d f Title wk3POTWEC3025. Utility providers in California such as PG&E, SoCal Edison and SDG&E are offering financial incentives to customers.
Original videohttps//wwwyoutubecom/watch?v=AZnTIP9FRdI&t=542s Go sub to him his vids are awesome and funny. P R O J E C T E E D U C A T I U D E C E N T R E Versió 8 Es pot consultar a la última pàgina l’històric de versions D o cu me n t e l a b o ra t p e r d i re ct o ra V e rsi ó 8 D a t a D e se mb re 2 0 2 0 A rxi u P E C. Title Canadian and Out of Country Dog Training Schoolsxlsx Author Helen Created Date 3/30/21 PM.
A j o u t ez u n e s a u c e. 2 I m p o rt a n t s a f e ty ins tru c tio n s 21 Safety N e v e r o p e n t h e h o u s in g o f t h e to u c h s c r e e n !. C O V I D 1 9 D a i l y H o m e E d u c a ti o n L e s s o n P l a n Team of Experienced Home Educators Unveils CoronavirusHomeschoolingcom with Free Daily Lesson Plans for K Through 5th Grade Through April 30th, Working AroundtheClock to Build Lesson Plans for 6.
P r é p a r é s u r p l a c e à b a s e d e c r è m e M a s c a r p o n e e t a c c o m p a g n é d e C h a n t i l l y !. About Press Copyright Contact us Creators Advertise Developers Terms Privacy Policy & Safety How YouTube works Test new features Press Copyright Contact us Creators. Course Title CL 6;.
A u p a r te n a r i a t d ’ i n n o v a ti o n d u m i n i s tè r e d e l ’ É d u c a ti o n n a ti o n a l e e t d e l a J e u n e s s e Dans le cadre d’un partenariat d’innovation 1 du ministère de l’Éducation nationale et de la Jeunesse , des services. Title Microsoft Word ã ã å å è¡ ç ºã ®å¯¾å¿ ã «ã ¤ã ã ¦docx Author T Created Date 3/16/21 PM. B E E L A C K I R O N M E R E B A K E S C E N T C A N O E A R S O N R O U S E F L E E T A D M I T S D E A D E N S E R E N E O P I A T E R E N T E R B R E E D S The rows and columns of any double word square can be transposed to form another valid square For example, the order 4 square above may also be written as L I M B.
Informed analysis of events in and around North Korea About 38 North;. E d u c a t i o n a l C o u r s e S c h e d u l e A m e r i c a s / E u r o p e D AY 1 M O N D AY, M AY 3 1 ( 1 ) 1 1 3 0 AM N E W YO R K / 5 3 0 P M P AR IS / 1 1 3 0 P M B E IJIN G 1 2 3 0 P M N E. Module 4 no videox OPENING PRAYER P S B S U M S I V R A S B F N R A F T M K L O S E C C N Y D U E V T S E E T R U T H P L T D T Y U C E F O R T I module 4 no videox OPENING PRAYER P S B S U M S I V R School Trinity College;.
H e t t e r P e e l P r e a n d P o s t C a r e I n s t r u c t i o n s G e n e r a l H e a l t h Ti p s Avoid sun, wear wide brimmed hat outdoors, minimize any UV exposure from 10 am to 2 pm Stay hydrated, eat clean and healthy, include lots of vegetables and protein Try to. C o E c c c c u c e E E > X E c c z z E o o > N > o o > o > z o o a o O z O 2 68ts O O o O O c Title 2101De Sniepverhuurtekeningenpdf Author rzonneveld Created Date. P R O D U C T D A T A S H E E T VMware storage VMotion Nondisruptive, live migration of virtual machine storage K E Y F E A T U R E S PRODUC T DATASHEET • Efficient storage capacity management Inadequate storage allocation for a virtual machine is likely to create.
E E 2 8 c 2 c c 2 0 0 0 98 u c > u E o > c > > N > > N c z > o u E o c o E c c c o c c u c e E E > X E c c z z E o o > o uno E N > o o > o > o o a o O z O 2 Title 2101De Sniepverhuurtekeningenpdf Author rzonneveld Created Date. S a l t c a n d l e h o l d e r s h;. S E C R E TA R I A MU N I C I PA L D E E D U C A Ç Ã O D O R I O D E J A N E I R O S ME CARI O CA S E C R C r e c h e s i n te g r a n te s d o S i s te ma Mu n i c i p a l d e E n s i n o d o R i o d e J a n e i r o V E RS ÃO 1 2 F E V E RE I RO / 21 1 S UMÁRI O DI RE T RI Z.
P R O D U C T D A T A S H E E T Clearfield ODC00/00E Outdoor Cabinet K E Y A T T R I B U T E S MODULARITY Clearfield cabinets are designed to easily scale from a minimal configuration to the maximum capacity of the cabinet Design consideration has been taken to allow the customer to field install and scale common options such. S cra n t o n , P A 1 8 5 0 3 5 7 0 3 4 3 6 5 1 9 S e p t e mb e r 1 6 , 2 0 1 9 T o u c h s c r e e n P a r k i n g P a y S ta ti o n s A r r i v i n g T o D o w n to w n S c r a n to n S CRA NT O N, P A S t re e t p a rki n g i n t h e E l e ct ri c Ci t y i s g e t t i n g b ri g h t e r. T h e P r o w i s e To u c h s c r e e n Te n i s t h e b e s t c h o i c e in te r m s o f t o t al c o s t o f o w n e r s h i p i n t h e s h o r t a n d l o n g t e r m Competitive price Full warranty for 5 years Free software updates for 5 years (OTA) Free Customer Ser.
15, and 25 cm s a l t c a n d l e h o l d e r s (mini). · The CDC AZ Index is a navigational and informational tool that makes the CDCgov website easier to use It helps you quickly find and retrieve specific information. R e s o l u t e H e l p s P N C A r e n a R e d u c e E n e r g y C o n s u m p t i o n a n d C o s t s W h i l e I m p r o v i n g F a n C o m f o r t Lacking the visibility, realtime data and analytics needed to optimize facility performance and reduce costs.
F U C C P J E E 140 likes Welcome y'll,, thanks for you support im really thankful for that follow and likes to my page B L A C D U D E L I F E S T Y L E Album coming. ²4( p Û Ç ¶ Ç S #è Ê> >¼>ª>¼>·> 5 §. Find ordene blandt bogstaverne Du kan søge vandret, lodret og på skrå Find ordet Tyske navneord Husk at indberette dette ark til CopyDan, hvis din skole er CopyDanskole.
1 0 m i l l i s e c o n d a m b e r.

Cyclin E Expression Is Associated With High Levels Of Replication Stress In Triple Negative Breast Cancer Npj Breast Cancer

Price Earnings Ratio Wikipedia
A Xrd Patterns Of The Cu 3 P Cu 3 P Cnho And Cu 3 P Cu Cnho B C Download Scientific Diagram
P Ee Cuc のギャラリー

2 2 5 S U C T I O N P I L E V E N T I N G S Y S T E M

Ferroelectric Hysteresis Loops For The Cu P Vdf Trfe Cu Capacitor Type Download Scientific Diagram

Pt Cu C And Pd Modified Pt Cu C Electrocatalysts For The Oxygen Reduction Reaction In Direct Methanol Fuel Cells

Price Earnings Ratio Wikipedia

Periodictrends Ws Key1

Procom Cdi Ecu Pe C Ay660g A Ebay

A A M M T T I I E E N N ă ă R R U U C C O O P P L L S S I I A A D D V V ș ș B B G G Grupurile Ce Ce Words Word Search Puzzle Word Search

Contribution Of Coupling Elements To The Seismic Demand Of Walls In Reinforced Concrete Buildings

Mercedes W210 E Class W2 C Class Asr Abs Controller Unit Module Ecu K02 017 545

Types Of Linguistic And Other Communicative Expressions Of Feedback C Download Table
1 Vytah

C P Ino Music Booking Laurentiu Constantin 4 0763 150 100 E Mail Laurentiubodyandsoul Inomusic Ro Www Inomusic Ro Fol Body And Soul Body Soul

Electric Potential A Power Point Presentation By Paul

The Magnitude Of Electric Force On 2 Mu C Charge Placed At The Centre O Of Two Equil Youtube

023 Drawing Datasheet By Amphenol Icc Fci Digi Key Electronics

K7 Used E C U Assy E P B r700

Answered Problem 16 Consider The Venn Diagram Bartleby

Code No U0215 P W Sw Dr Lin Timeout
Plos One Contrasting Effects Of Copper Limitation On The Photosynthetic Apparatus In Two Strains Of The Open Ocean Diatom Thalassiosira Oceanica

Answered 1 What Is The Relationship Between The Bartleby

1pcs Pee Bag Disposable Unisex Outdoor Camping Sports Toilet Urine Bag Pee Bag Mini W C Portable Long Travel Storage Bag Storage Bag Travel Storage Bagtravel Storage Aliexpress

Modern Physics Paul A Tipler 6ª Edicao Solutio Manual

Pd Cu Dual Catalysis Highly Enantioselective Access To A Substituted A Amino Acids And A Amino Amides Chemical Communications Rsc Publishing

Fig 126 Diagram Of An Echmococciis Hydatid Cu Thick External Cuticle Ja Parenchym Germinal Layer C D E Development Of The Heads According To Leiickart G H I A

Particle Physics 4th Edition Martin Solutions Manual

Metals Free Full Text Influence Of Surface Preparation On The Interface Of Al Cu Joints Produced By Magnetic Pulse Welding Html

Obex Brandbeskyttende Bosning Monteringsvejledning Bosning Brand Beskyttende Pdf Gratis Download

Bg Particulate Trace Metal Dynamics In Response To Increased Co2 And Iron Availability In A Coastal Mesocosm Experiment

White Cube Gallery Exhibitions Everyone S Gone To The Movies Now We Re Alone At Last

P E Control Ratio Bioblast

Triethanolamine Assisted Photodeposition Of Non Crystalline Cu X P Nanodots For Boosting Photocatalytic H 2 Evolution Of Tio 2 Journal Of Materials Chemistry C Rsc Publishing Doi 10 1039 D0tcb

A Cv Curves Of Cu Co Oxide B Cv Curves Of P Cu Co Sulfide C Cv Download Scientific Diagram

The Standard Reduction Potential Data At 25 C Is Given Below

Calameo Alphabet In English

Physical Education Resources Edufunduk

Procom New Oem Direct Replacement Cdi Ecu Electrosport

Chord Inspired Miley Cyrus Tab Song Lyric Sheet Guitar Ukulele Chords Vip

Scrabble Word Finder Scrabble Cheat

Hydration Chart Learn To Read The Shades Of Your Pee

Temperature Dependence Of P E Hysteresis Loops For The Pmn0 29pt Single Download Scientific Diagram

Pt Cu C And Pd Modified Pt Cu C Electrocatalysts For The Oxygen Reduction Reaction In Direct Methanol Fuel Cells

Paul Koch 1 1 Chapter 12 Option Valuation Using Binomial Model I Overview Of Option Valuation Chapters 10 11 A Economic Characteristics Of An Ppt Download

Qm From Sr The Roadmap A Derivation Of The Srqm Interpretation Of Quantum Mechanics

Metals Free Full Text Sn 0 5cu X Al Solder Alloys Microstructure Related Aspects And Tensile Properties Responses Html

Alphabet And Pronunciation

Spanish Alphabet Spanishdict

Correct Spelling For Ce Infographic Spellchecker Net

Solved 4 Sets Let A A B C D E B D E F G H C Chegg Com

P E Curve For The Hp Sample Deposited And Annealed At 600 C For Download Scientific Diagram

Hyundai I40 Used E C U Assy E P B 3z600

Obex Brandbeskyttende Bosning Monteringsvejledning Bosning Brand Beskyttende Pdf Gratis Download

Solved Problem 1 A Prove That If P A 0 Then Pa Ba Chegg Com

A A M M T T I I E E N N ă ă R R U U C C O O P P L L S S Fișe Pentru Citire Dictare Transcriere Partea A Ii A Materiale Didactice De 10 Zece

White Cube Gallery Exhibitions Everyone S Gone To The Movies Now We Re Alone At Last

For Non Empty Sets A B And C The Following Two Statements Are Gi

Interface Characterization Of Cucu Ball Bonds By A Fast Shear Fatigue Method Sciencedirect

Upper Limit Of The Electrocaloric Peak In Lead Free Ferroelectric Relaxor Ceramics Apl Materials Vol 4 No 6

Spatial Engineering Of A Co Oh X Encapsulated P Cu 2 S N Bivo 4 Photoanode Simultaneously Promoting Charge Separation And Surface Reaction Kinetics Journal Of Materials Chemistry A Rsc Publishing Doi 10 1039 C9taa

Cytochrome C Oxidase Reaction Cycle Ucl Division Of Biosciences Ucl University College London

Electric Potential A Power Point Presentation By Paul

The Cuaac Principles Homogeneous And Heterogeneous Catalysts And Novel Developments And Applications Neumann Macromolecular Rapid Communications Wiley Online Library

Samsung Usb C 3 5mm Adapter Til Hovedtelefoner Ee Uc10juwegww

Mercedes W210 E Class W2 C Class Asr Abs Controller Unit Module Ecu K02 017 545

Example 16 If A B C Are Three Events Associated With A Random

Elementary Particle Physics Ppt Download

The Standard Reduction Potential Data At 25 C Is Given Below

Mercedes W210 E Class W2 C Class Asr Abs Controller Unit Module Ecu K02 017 545 73 32 Bosch 0 265 109 052

Mercedes W2 C W210 E Class 2 0 Abs Fd96m10 Pump Ecu Control Module 019 545 42 32 K06

Contribution Of Coupling Elements To The Seismic Demand Of Walls In Reinforced Concrete Buildings

Samsung Usb C 3 5mm Adapter Til Hovedtelefoner Ee Uc10juwegww

Solved 2 Points Order 8 Of The Following Sentences So T Chegg Com

Hyundai I30 Gd Used E C U Assy E P B a5000

Applied Sciences Free Full Text Influence Of Applied Stress On The Ferroelectricity Of Thin Zr Doped Hfo2 Films Html

Static Electricity Electrostatics Where Have You Experienced This

How Often Should You Pee What S Normal And What S Perfect

Isabel Allende Caietul Mayei Pdf Txt

Premium Vector Vitamin A B1 B2 B5 B6 B9 B12 C D E Ca Cu Fe I K Mg Na P Pill Golden Vitamin Complex And Essential Vitamins Nutrition Sign Medicine

Electrical Properties Of Bi1 Z Na1 X Y Zkxliy 0 5baztio3 Multi Component Lead Free Piezoelectric Ceramics Lin 05 Physica Status Solidi A Wiley Online Library

Modern Physics Paul A Tipler 6ª Edicao Solutio Manual

Haa Do Wot I Hobrow P E Haarslov U No 1961 9500 Denmark Postcard

Fin 501 Asset Pricing Lecture 03 Risk Preferences

Rd Sharma Solutions For Class 11 Chapter 1 Sets Download Free Pdf

E S C U E L A S U P E R I O R P O L I T A C N Ic Dspace Espoch

Example 16 If A B C Are Three Events Associated With A Random

Solved 40 E And F Are Mutually Exclusive Events P E Chegg Com
Qj1ag3e Nswzvm

Give Sentences Using The Words You Have Found Ppt Download

Home University Of Cebu School Of Law

Copa An Escherichia Coli Cu I Translocating P Type Atpase Pnas

Prostaglandin E Major Urinary Metabolite Versus Fecal Immunochemical Occult Blood Test As A Biomarker For Patient With Ulcerative Colitis Springerlink


 
        
