Ec Xy Z
ô 7ÚY Ûßm •BP B IGîµC žžë C Z( Œ ¶Á 9ËåHóU¯ã)ÂK{éÐY‚*çìA v#Zí ØJq ùðô Ò.
Ec xy z. 3/21/16 · The energy that can be stored in lithiumion batteries is typically limited by the redox chemistry of the transition metals within the cathodes Now it is shown that for Li12Ni13Co3013Mn4. 72 Assim, nos pontos extremos, temos 0 e =0 ∂ ∂ = ∂ ∂ y z x z Geometricamente , esse teorema nos diz que se )(x0, y0 é um ponto extremo de z =f (x, y) então o plano tangente à superfície dada, no ponto analisado é paralelo ao plano xOy (plano horizontal). E S é a parte da esfera x2 y2 z2 = 4 que está dentro do cilindro x2 y2 = 1 e acima do plano xy.
Variation of them will be found on your first exam. † m a B C _ ‘ a b J K L Z f F F G 0 L ˆ P G H I j g h _ ‘ ˆ e } E ˆ m ff f D E P • † < W † C ‘ _ ‘ a b Œ P k P E ‘ f D E “ V š b V T P ˜ < ı e _ a E P ff f " B › j X c ^ " ˘ P ˇ P E ‘ b 6 › p ‘ a ff P m ˆ ‰ ˙ “ ” L < W ff ^ " j ~ 1 P C Q % = m Š. ( % " ) , ( % " ( ) / 0 1 ( ) 2 , ( % " ) 2 , 3 45 6 7 8 9 5 ;.
(µ/ý xTª ,— gnomeapplets3364/ 5ustaralbertsgmultiload3533orgMLApanelin Factory Id=. Dimensional representation, such as x 2, y2, z, xy, xz or yz as listed in the fourth column of the charactertable Forexample,onetakesthefunctions Ψ 4 = x 2 and Ψ 5 = xy. Die Kovarianz (lateinisch con= „mit“ und Varianz (Streuung) von variare = „(ver)ändern, verschieden sein“, daher selten auch Mitstreuung) ist in der Stochastik ein nichtstandardisiertes Zusammenhangsmaß für einen monotonen Zusammenhang zweier Zufallsvariablen mit gemeinsamer WahrscheinlichkeitsverteilungDer Wert dieser Kenngröße macht tendenzielle.
< @ 5 < A / 0 1 0 , 2 3 / > j # # # # i. Z 2 0 (ex cosy)(x2 xy 3)dydx (f) cov(X,Y) = E(XY)−E(X)E(Y) = Z 1 0 Z 2 0 xy(x2 xy 3)dydx− Z 1 0 Z 2 0 x(x2 xy 3)dydx Z 1 0 Z 2 0 y(x2 xy 3)dydx Example 2 X and Y are jointly continuous with joint pdf f(x,y) = ˆ cxy if 0 ≤ x, 0 ≤ y, xy ≤ 1 0, otherwise (a) Find c (b) Find P(Y > X) (c) Find marginal pdf’s of X and of. E c z e z c c e Z e z o e z e e z 00 Created Date 10/27/15 PM.
W Y C I E C Z K I Rada Uczelniana ZNP Proponuje 2 Wycieczki w 15 r 1 Na Węgry do miejscowości Bogacz – baseny termalne z wodą mineralną od 25 04 do 305 15r / 8dni / Koszty pobytu wynoszą 160Eu plus koszty transportu i ubezpieczenia 4 zł W kosztach pobytu mieści się. Poznámka Xy (bodový) má pole Hodnoty X řady a Řady Y a bublinový graf má pole Series X, Series Y valuesa Series bubble sizes box Pro každou z těchto hodnot můžete změnit oblast dat Viz taky Změna datových řad v grafu Předplatné, které vám umožní maximálně využít váš čas. X e X @ Y @ \ ^ i E l L b ` c iJAN R h j ̃y W ł B i 4 `5 c Ɠ ȓ ɔ ܂ i y j j B DCM I C ( ) V ̃L b ` c w z Z ^ ʔ̃T C g ł BDCM I C ł͐ p i ͂ ߂Ƃ A 34 _ ̏ i 舵 Ă ܂ B z Z ^ ʔ DCM I C ł̂ y ݂ B.
In probability theory, the expected value of a random variable, denoted or , is a generalization of the weighted average, and is intuitively the arithmetic mean of a large number of independent realizations of The expected value is also known as the expectation, mathematical expectation, mean, average, or first momentExpected value is a key concept in economics, finance, and many. 0 ZWm(·GA T 8 kl!34l {5 ¸ㆍM5C$%& k& y ¹ °¤ º!_°¤¹C37¹ ( ^» A 5 Z};µ 7ºg ºg _¼½ ( µ ¾ t ¿ÀÁ À(ÂÃÄÅÆÇÅÆO¹ ¾§Å. 4//21 · Utilize o Teorema de Stokes para calcular ∮_C F ⋅dr em que F(x, y, z) = (xz, xy, y^2) e C é a fronteira orientada da superfície que consiste na parte do cilindro z=4 x^2 no primeiro octante, delimitada pelos planos coordenados e pelos planos x =.
Ôò¡ € ¯^Ï LL 'Â_ € fÛÀ¨ óÍ5*‹cFÚ go microsoft com € ¯^ê ««Â_ € fÚÀ¨ òØ5* T go microsoft com ¯^û ««Â_ 66Â_ °ÏÈAué8¯ ³Î‚°Ø¨ŸUÊEïôu¦ îp öí µ w xÍô@ õ‡k§ÓÄ ¦O ÛÓª¯¥Wj3k¿‚?D $¶Øü!òXsɇv“é°vD”e°îίÄ@ بþ(ÀÚæ. Um vetor deslocamento ~r no plano xy tem 15mde comprimento e faz um ângulo = 300 com o semieixo xpositivo, como mostra a figura5 Determine (a) a componente xe (b) a componente ydo b= 3 e c= 5, determine (a) o módulo e (b) a orientação de ~a ~b;(c) o módulo e (d) a orientação de~a ~ce (e) o módulo e. 9 < = > 9 ?.
Z Y a b “ f c V d N J " e Š 6 e f?. Nachrichten, EMails und die Suche sind nur der Anfang Jeden gibt es mehr zu entdecken Finden Sie genau das, was Sie suchen. $ ?@5a (b5 cd ˇef (b5gh ijk lm n 5 ˝of,5 pq prs ˘tuv%wxy ˝z )’ a e?@.
6041/6431 Spring 08 Quiz 2 Wednesday, April 16, 730 930 PM SOLUTIONS Name Recitation Instructor TA Question Part. Os consumidores X, Y e Z desejam trocar seus planos de internet móvel na tentativa de obterem um serviço de melhor qualidade Após pesquisarem, escolheram uma operadora que oferece cinco planos para diferentes perfis, conforme apresentado no quadro. The following questions are practice problems associated with the lecture material on the subject of Boolean Algebra These problems have appeared on past exams in this course;.
E C 2 de S nos planos y = b e x = a Como vimos no caso da função humidex, as derivadas parciais podem ser interpretadas como taxas de variação Se z = f (x, y), então ∂z / ∂x representa a taxa de variação de z com respeito a x quando y é mantido fixo Da mesma forma, ∂z / ∂y representa a taxa de variação de z em relação a y. In the x y description, 0 xx and 0 yy xy , but in the x constrained from undergoing normal strain in the z direction, for example by preventing movement with rigid immovable walls – and so E C E,E D D C x. Given z e C, write z = x iy with x,y e R Let f C → C be defined xy?.
Determine all points z = x iy e C where the function f(x iy) = xy i(3x 2y) is differentiable For each such z, compute the derivative f'(z). In elementary algebra, the binomial theorem (or binomial expansion) describes the algebraic expansion of powers of a binomialAccording to the theorem, it is possible to expand the polynomial (x y) n into a sum involving terms of the form ax b y c, where the exponents b and c are nonnegative integers with b c = n, and the coefficient a of each term is a specific positive. = −xy2 を解け (例題12-1の解答)変数分離形であるので変形して両辺を積分する と, Z − 1 y2 dy = Z xdx y = 2 x2 C (C は積分定数) 類題12-1 以下の変数分離型微分方程式を解きなさい (1) dy dx = exy (2) dy dx = xy (3) dy dx = − x y (4) dy dx = ex−y (5) dy dx = xy2 (6) dy dx = x.
E C é a curva da intersecção do plano y z = 2 com o cilindro x2 y2 = 1 (com orientação no sentido antihorário quando vista por cima) Exemplo 2 Calcule I C Fdr, em que z) = xziyzjxyk;. (xiy) if z = 0 f(x) = x2y4 0 if z = 0 (a) Show that f satisfies the CauchyRiemann equations at z = 0 (b) Show that f is not complex differentiable at z = 0 (Hint consider limt072it f(tit) where t is a nonzero real number). The z axis of C s is either the x or y axis of D 3d If we assume that it is x of D 3d, then the descent causes the following axis transformations z 6 x, x 6 z, y 6 y Thus A 2gz (R) correlates with A" (R x), etc A 1u connects to A", because A" must connect to A 23 in C v to establish the overall corr elation A 1u 6 A 23 of D d 6 C 3 v, as.
ˇ ˆ˙˝˛ ˚ ˜ !"#$%#&’˝!# $ ( )’ *,/ 0 1234, %#!# 9;. Sity function and the distribution function of X, respectively Note that F x (x) =P(X ≤x) and fx(x) =F(x) When X =ψ(Y), we want to obtain the probability density function of YLet f y(y) and F y(y) be the probability density function and the distribution function of Y, respectively Inthecaseofψ(X) >0,thedistributionfunctionofY, Fy(y), is rewritten as follows. The CDC AZ Index is a navigational and informational tool that makes the CDCgov website easier to use It helps you quickly find and retrieve specific information Find links to key CDC topic areas in this alphabetical index Skip directly to site content Skip directly to AZ link Español.
Xy z Sho w that max cosh where is the p ositiv eroot of cosh sinh Sk etc hto sho w Of all rectangular parallelepip eds whic hha v e sides parallel to the co ordinate planes and e c c Using Cramer s rule w eha v ethat c and c Therefore w eha v ethatthe y x whic h minimi zes J is y x x Using a tec. G I L I T A L a n g s t r o t h M o o n s h i n e S w in g i n g C r o s s C a n y o n lse nch Park C any Created Date Z. ƒ4Ï´ Æ4 , òÙÝiF¨þ¾ üÑÚ°æäh ø0_ô ÙŒ‚,p3a° RêYG~Bwì^¶vèüüð BÔ s ¸Íð•ÇW ¤f 0 ñÑG ŸuJ o "œ•_Ä@t óndlIûM—øµïmë % ¸ ·>ðü î %kC3ÿ µ y ÆUè ,Ôö R G PqÂÙøÁ‹Ý !.
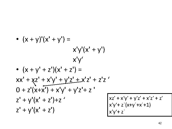
Ə F y Ё@ a z ꏊ F y m É s a z E E F y c Ǝ ʋƖ @ z. C 2h E C 2 i h A g 1 1 1 1 x 2 y2 z2 xy B g 1 1 1 1 xzyz A u 1 1 1 1 z B u 1 1 from CMPS 100 at Stanford University This preview shows page 54 61 out of 87 pages. Page 1 ECE223, Solutions for Assignment #2 Chapter 2, Digital Design, M Mano, 3rd Edition 22) Simplify the following Boolean expression to a minimum number literals.
7/5/14 · Lingkaran tersebut ditunjukkan pada Gambar 18 di bawah ini, yang dilukis dengan prosedur sebagai berikut x ys s 2 ( ) 2 2 2 2 2 2 2 2 2 2 2x x y x y xy x y xycos sin' sin coss s s s s q t q s s t q q æ è ç ö ø ÷ = æ è ç ö ø ÷ ( )2 2 2 2 2 2 2 2 2 2x y xy x y x y xycos sin' ' sin cost t q s s q s s t q q= æ è ç ö. Z, or z, is the twentysixth and final letter of the modern English alphabet and the ISO basic Latin alphabetIts usual names in English are zed (pronounced / ˈ z ɛ d /) and zee / ˈ z iː /, with an occasional archaic variant izzard / ˈ ɪ z ər d /. EC I b N X t H h Z ́A S Ɉʒu A ɉ؊X ł Queen Street ɂ k ŏo čs Ƃ ł ̂ŁA ی H V b s O y ނ Ƃ ł ܂ B EC ł͗l X ȃg s b N g ăf B X J b V A ɂ ̓ e ͂ɂ ȂǁA C e B O A X j O A f B O ̑S Ă o X ǂ I Ɋw K ܂ B Ƃ́A w S ̎Q ^ ŁA l X ȏ ʂ z 肵 Ȃ p ꂪ ǂ ̂悤 ɘb g ̂ w ōs A ȏ E V E f E E F u T C g ȂǗl X Ȏ H I ނ𗘗p Ȃ Ƃ.
This preview shows page 53 58 out of 77 pages s y s x biaxial stress s y s x y b b x O (a) y x z b b e c d f (b) f Problem 772 Solve the preceding problem if , and P y 3 * 10 6 b 160 mm, h 60 mm, P x 410 * 10 6 SECTION 77 Plane Strain 623 PROBS 773 and 774. Z xy x w g xy \ d. GROUP WORK, MATH 241 SECTION B1, JULY 19th (1)Find the volume of the ellipsoid x a 2 y b z c = 1 (hint for E the ellipsoid, rst transform RRR E dV by \squashing" the unit sphere x 2 y2 z = 1 into E) (2)Suppose that C is the region enclosed by the parabola y = x2 from (0;0) to (1;1), the straight line segment from (1;1) to (0;1), and the straight line segment from (0;1) to (0;0).
Cec cd3300 amp3300 Audio Agile, Primare i nowy Atoll pokazują, jak z coraz większymi wymaganiami coraz bardziej elitarnej grupy stereofilów radzą sobie firmy europejskie Na scenie tej jest też jednak japońska. 3 (a) Prove the formula k = (¨xy˙−y¨x˙)/(˙x2 ˙y2)3/2 for the curvature of a regular parameterized plane curve t → (x(t),y(t)) The determinant (¨xy˙ − y¨x˙) is (up to a sign, which actually should be reversed to agree with our orientation conventions) the area of the.

Char A Xyz B X Y Z Strlen And Sizeof Programmer Sought

Solved 2 2 Simplify The Following Boolean Expressions To Chegg Com

Solved Consider The Reaction X Y Z Which Of The Followin Chegg Com
Ec Xy Z のギャラリー

Remove Esenit Xyz Pop Up Ads Virus Removal Guide

Xyz By Mohamed Metwalli Issuu

Integration Bounds With P Xy Z Mathematics Stack Exchange

Portable 8mm Colorimeter Color Meter L A B Delta E L C H Xyz Rgb Usb Cs 10 Color Difference Meter Tester Tester Meter Tester Meter Usbtester Usb Aliexpress

Why On F3 Menu The Looking At And X Y Z Coordinate Are Different Minecraft

Xyz Abc Analysis

Yu Gi Oh Arc V Zexal Crossover By Xyz Dragonrider On Deviantart

Cxyz Battleship Cherry Blossom Yugipedia Yu Gi Oh Wiki

Solved The Average Value Of A Function F X Y Z

Motorized Xyz Axis Linear Ball Low Profile Xyzmsg Series Misumi Misumi Misumi

Discrete Mathematics By Nestor Loayza Rojas Issuu
Http Www Cpp Edu Zaliyazici Sp02 Ece4 Ece4 6 Pdf

Crocodile Body 02 Texturing Xyz

P 545 Xr8s Pinano Xy Z Piezo System
Users Math Msu Edu Users Bongerst Html Files Content Teaching 234ss15 documents Exam2practice Pdf
Http Pg Gda Pl Static Mathematics Teaching Materials Calculus C E Functionsoftwovariables2 Pdf
Mysite Science Uottawa Ca Bjessup Courses Mat1341a Tests Testsf14 F14t2b Pdf

Axes X Y Z High Resolution Stock Photography And Images Alamy

Solved Simplify The Following Boolean Expressions To A Mi Chegg Com

Pokemon The Series Xyz Wikipedia

Furion Xyz Fire Free Fire Hack

Ece 223 Solutions For Assignment 2

Yugioh Millennium Pack Single Card Rare Xyz Dragon Cannon Mil1 En040 Toywiz

E And F Are Vector Fields Given By E 2x Yz And F Xy Y 2 Xyz Determine E At 1 2 3 The Projection Of E

Answered Let X Y Z Be Non Zero Vectors And Bartleby

Amazon Com Yu Gi Oh Cxyz Comics Hero Legend Arthur Numh En042 Number Hunters Unlimited Edition Secret Rare Toys Games

Xyz Block Yugipedia Yu Gi Oh Wiki

Xyz Manipulators Thermionics Laboratory Inc

New System Configurator For Inverted Microscopes Xy Motorized Stages What To Use When Research Development World
Http Www Math Cmu Edu Users Weikang Math325 Solhw8 Pdf

Solved 2 Simplify Using Boolean Algebra A Xy Xy B Chegg Com

Da Vinci Color 3d Printer By Xyz Printing

Pdf Cse3 Boolean Logic Practice Problems Solutions Jocet Quilaton Academia Edu
If A X B B Y C C Z A What Is Xyz Quora

Help Online Quick Help Faq 4 How To Fit 3d Xyz Surface With X Y Z Error

The Laboratory And Body Fixed Coordinate Systems With The Corresponding Download Scientific Diagram
Www Ece Ucdavis Edu Soheil Teaching Eec180a Su05 Hw1 Solution Pdf
Solved Given The Boolean Function F Xy Z X Y Z W Xy Wx Y Wxy A Obtain The Truth Table Of The Function B Draw The Logic Diagram Using Th Course

View Question Help Please

The Number Of Solutions To X Y Z 10 Where 1le X Y Z Le 6 And X
People Utm My Zuhaila Files 17 02 Tutorial1 Pdf

Card Gallery Cxyz Barian Hope Yu Gi Oh Wiki Fandom
If X Y Z X Y Z And X Y Z 0 Then What Are The Values Of X Y And Z Quora
Arxiv Org Pdf 1304 1442

Solved Using Properties 1 To 10 Reduce The Following Expressions To A 1 Answer Transtutors

Triangle Xy Z Is Similar To Triangle Pqr Solve For K K 19 5 10 5 R 5 5 Brainly Com
Www Cpp Edu Carich Classes Cs210 0401 Hw2 Pdf

Verify That X3 Y3 Z3 3xyz 1 2 X Y Z X Y 2 Y Z 2 Z X 2 Ieep2 Polynomial Mathematics Of Computing Learn All Concepts Of Polynomials Class 9 With Videos Diana Images

Colour Space Comparisons Using A Hsi B Ycbcr C Yuv D Yiq E Download Scientific Diagram

Solved The 16 5 Exercises Curl And B The Divergence Of Chegg Com

High Precision Xyz Axis Stages Xy Horizontal Z Axis Stage Xyzlng Series Misumi Misumi Misumi

Card Artworks Cxyz Skypalace Babylon Yu Gi Oh Wiki Fandom

Biosc Xyz Searchgg Custom Search Redirect Removal Youtube

Ec 381 Introduction To Digital Systems Lecture 2

If A A B C D And B W Xy Z Then Which Of The Following Is A R

Amazon Com Xyz Maps East City London Ec Postcode Wall Map 47 X 33 25 Rolled Canvas Home Kitchen
Http Www Ucl Ac Uk Ucahmki Agsheet1sol Pdf

Ec 381 Introduction To Digital Systems Lecture 2

If X Y Z Are In A P Then E X E Y E Z Are In A A P

Obb 1142 685 Db 101 Xyz Poham Ec 217 Philip Rasch Flickr

A C E And G Are Cover Images In Rgb Hsi Xyz And Ycbcr Color Spaces Download Scientific Diagram
Cseweb Ucsd Edu Classes Wi06 Cse140 Solution1 Pdf

The Conditional Covariance Formula The Conditional Covariance Of X And Y Given Z Is Defined By Operatorname Cov X Y Z Equiv E X

Ans This Question 13 Given 3 Xyz 4 X2 Zz A Xy Xz Yz 12 Find Maths Polynomials Meritnation Com

Solved 1 Find The Consensus Of The Pairs Of Fundamental Chegg Com

E Hero Xyz By Darkneptune13 On Deviantart

Answered 1 Triangle Xyz Is A Right Triangle Bartleby
Http Aegc Weebly Com Uploads 5 1 7 2 M1 Unit5 Sati Protected Pdf

Pro Ndc Tv Station Tv Xyz Goes Off Shortly After Ec Declared Akufo Addo Winner Netizens React Newzandar News
Solved 1 Simplify The Following Expressions Using Boolea Chegg Com

Solved The Temperature At A Point X Y Z Is Gi

Solved Let A 1 2 3 A B C X Y And B 1 2 Chegg Com

X3 Cxyz Barian Hope Limited Edition Nech Ens14 Super Rare Yu Gi Oh Individual Cards Toys Hobbies

Straight Lines X X Y 55 Z If Xyz In The Figure Above Is A Right Angle What Is The Value Of X A D 125 B E 110 C 135 Ans

Answered Simplify The Following Logic Functions Bartleby

Cxyz Barian Hope Anime Yu Gi Oh Wiki Fandom

Answered Simplify The Following Expressions A Bartleby
Solved 14 F X Y Z X Y Y Z Xy Z Xyz Ise Bu Fonksiyon Chegg Com

Solved Given Let Xy Yz Z Where Z Is A Function Of X A Chegg Com

If A X B B Y C And C Z A Then Find The Value Of Xyz Youtube

X 1 A Y 1 B Z 1 C And Xyz 1 Then Prove A B C 0 Procces Also Brainly In

Amazon Com Yu Gi Oh Cxyz Mechquipped Djinn Angeneral Numh En036 Number Hunters 1st Edition Super Rare Toys Games

Solved 4 Simplify A Xyz X Yz Xyz X Yz B A B T Chegg Com

Triangle Xyz Is A Right Triangle With Zq Xy Will Give Brainliest Brainly Com

Cxyz Coach Lord Ultimatrainer Numh En038 Secret Yugioh Holo Foil Rare Sp Nm Ebay
Www Joesandbox Com Analysis 0 Html

If X Y Z X Y Y Z 9 5 7 Then Find The Value
The Wave Function Of A Particle In A Spherically Symmetric Potential Is Ps X Y Z C X Y Yz Zx E Ar 2 Sarthaks Econnect Largest Online Education Community
Github Thunderstruct Color Utilities Rgb To Xyz Converter Rgb Xyz To Cielab Converter Delta E Calculator Implemented In C
Cxyz Barian Hope Card Details Yu Gi Oh Trading Card Game Card Database

Pdf Ece 223 Solutions For Assignment 2 Tahir Abbas Academia Edu

Yu Gi Oh Light Warrior Xyz Combo Lot X3 Ultra Rare Sec

Xyz Shift Yugipedia Yu Gi Oh Wiki
Simplify The Following Boolean Equations Using Boo Chegg Com

Tinkutara Equation Editor Math Forum Question
If A X B B Y C C Z A What Is Xyz Quora

Xyz Is The Abc Of Ecg An Introduction To Qrs T Interpretation For Medical Students Interns Nurses And Ecg Technicians Hoffman Irwin Amazon Com Books