T G Thfw
Jan 23, 15 · COG1009 (PSSM ID ) Conserved Protein Domain Family NuoL,.
T g thfw. G g X ^ b t h E f ^ G g Ɩ f ^ ́F ÊW A \ ֘A A I A ڋq 䒠 A i 䒠 ȂǁB. ̓ǂݕ E E 搔 E n Ȃǂ ԗ T l b g B 10 N ̐V p ɑΉ ς݁I NJ ځB z b T C g } b v b ₢ 킹. Q218 91 S A Q G A Q L G R F V N H N Y L H Y V E D P V h h K L M M K K E V 123 Caenorhabditis elegans EDK435 81 I A Q L G Q G Y R W V S Y H Y L D E G KA K D K A E R E 108 Lodderomyces elongisporus NRRL YB4239 EKG S A Q V V Q G Y R Y V N H W H M G G R E K SL Q E K A K E G 117 Macrophomina phaseolina MS6 CCH 93 T A Q L G.
Solve your math problems using our free math solver with stepbystep solutions Our math solver supports basic math, prealgebra, algebra, trigonometry, calculus and more. T h f w y e s r n b 7 t g e n m o r e g r e n f i l d aker e l m m a p l e p o r t l a n d mc l er p e c a n 1 2 t h s c c h i l e n n i s gil l is m arsh l h a r d i n g t e r r y n i c h o l t eranc g r a c e n o r t h e l m 1 2 t h race u s 2 8 7 4 t h 3 r d i sb detour nb detour work zone created date. Bl o c k P e r i o d s M/ T / H/ F & W e l l n e s s W e d n e s d a y s C l a s s T i m e s Mo n d a y (1 / 3 / 5 ) T u e s d a y (2 / 4 / 6 ) W e l l n e s s W e d n e s d a y * Advisory (40 min) Single Period (35 min ) (G o o g l e Me e t l i n k i n t e a ch e r’ s G o o g l e.
I first encountered Veblen when reading the Travis McGee novels, where his good friend Meyer (no other name), an economist, has his own boat, the John Maynard Keynes, nearby. About Press Copyright Contact us Creators Advertise Developers Terms Privacy Policy & Safety How YouTube works Test new features Press Copyright Contact us Creators. Jul 01, 19 · water heater (gas) other (specify) (a request form to connect to city sewer must be filled out by the property owner and must be approved before installation of a new sewer) storm sewer # (of linear feet new or replace circle one) sanitary sewer # of linear feet new or replace.
R ol g m pl a ce t c o v e n t g a r d e n s ta 12 12 9 9 15 15 11 11 10 10 18 18 13 13 17 17 8 8 16 16 19 19 14 14 macgregor ramp s loop re s o u t he f w y sw l op e s o u t h f w y fannin greenbriar ramp s l o o p a w s l o p e s o u t h f w y macgregors sh 2 s o u t h e f w y loop almeda ramp eb ih 610 s scott uturn e. I E E j j Ratchadamnoen Nok Ave,Bangkok \ iMUAYTHAI00) W i X ^ W A L O i17 N5 ݁j.

R H 0 S E I D G G 0 W E I D E B T

The Result Of The Fourier Transform Of The Measured Harmonic Signal Download Scientific Diagram

Evolution Of Thyrotropin Releasing Factor Extracellular Communication Units Sciencedirect
T G Thfw のギャラリー

For The Functions F F H F And G F H T Def Chegg Com

Silent S Le A P T Ass Kn 0 T 0 W 00 D

Hpssc Tgt Radiographer Recruitment Last Date Extended

Ruff S Guide To The Turf 6 I Joi Sijs S G Oj 3 A Go C Fee Rs R S Es S S 5fei 2iks 3 Sntertrfm Wii 33 2 8 T 0 M Ifl

Answered Section 3 1 Problems 7 Q S In Each Bartleby

Ppt Matched Filtering And Digital Pulse Amplitude Modulation Pam Powerpoint Presentation Id

Organic J Aggregate Nanodots With Enhanced Light Absorption And Near Unity Fluorescence Quantum Yield

Remote Sensing Free Full Text A Cnn Based Pan Sharpening Method For Integrating Panchromatic And Multispectral Images Using Landsat 8 Html

Army List 11 I Clxxviii Index References To The Gradation List Are In Heavy Type Price H B H M H Vv Ind Army H W Qr Mr I K J C J E
The Hostircal Story Of Y Descubre Como Resolverlo En Qanda

66 Men Of Grandpont 1914 18 Local History In South Oxford
A Complete These Sentenc Descubre Como Resolverlo En Qanda

R H 0 S E I D G G 0 W E I D E B T

Solved If Z Fx Y Where F Is Differentiable And X Chegg Com

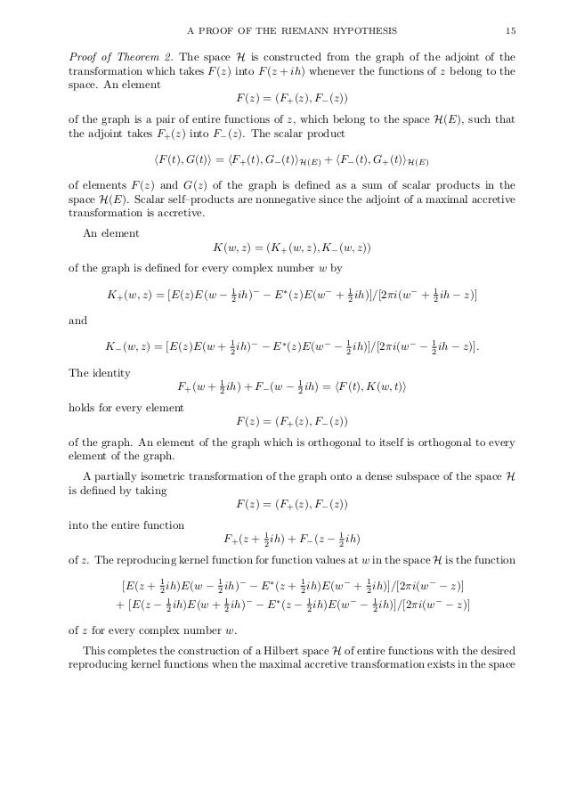
A Proof Of The Riemann Hypothesis Louis De Branges

Chord Grown Little Mix Tab Song Lyric Sheet Guitar Ukulele Chords Vip

Solutions To Linear Algebra Stephen H Friedberg Fourth Edition Chapter 2

Solved Problem 7 Consider The Functions F T Et And G Chegg Com

Sessional Papers 8 To 9 12 B B B B C Lt J C H Co C Lt J Co B B B Tt Ro O Io 1 M M

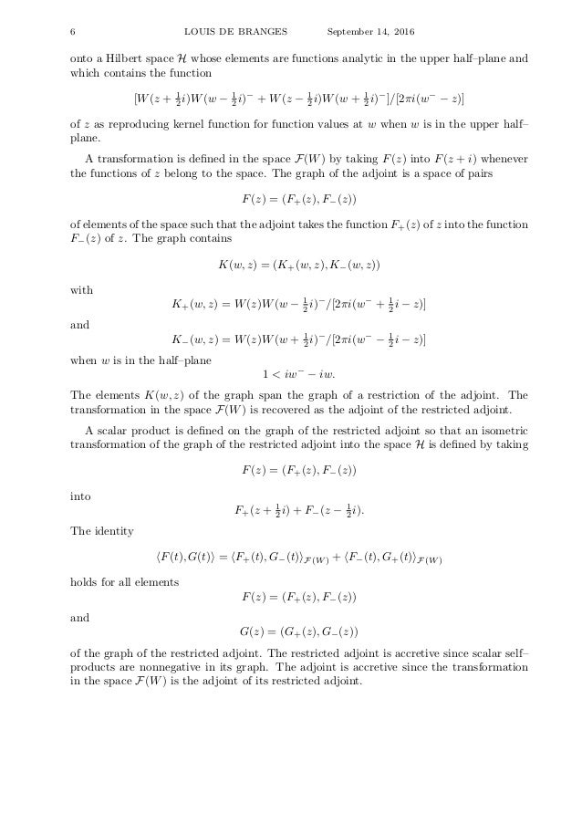
A Proof Of The Riemann Hypothesis Louis De Branges

Answered For Z 13 Dt F X Y X G T Y Bartleby

Silent S Le A P T Ass Kn 0 T 0 W 00 D

Honour Board Melbourne Harbour Trust

Silent S Le A P T Ass Kn 0 T 0 W 00 D

T 53a High Resolution Stock Photography And Images Alamy

Sensors Free Full Text Security Analysis And Improvements Of Two Factor Mutual Authentication With Key Agreement In Wireless Sensor Networks Html

On The Summation Of Contractions Mines 1913 The Journal Of Physiology Wiley Online Library

Solved Consider The System F T G T F T Cos 107rt P Chegg Com

R H 0 S E I D G G 0 W E I D E B T

Chord Real Real Sweet Meiko Tab Song Lyric Sheet Guitar Ukulele Chords Vip
Tut 3 Solutions Fourier Transform Studocu

Effect Of Contact Time W F On Glycerol Conversion Catalyst Weight Download Scientific Diagram

Ee 345 S Realtime Digital Signal Processing Lab

Chord Bad Habits Michael Tolcher Tab Song Lyric Sheet Guitar Ukulele Chords Vip

Pdf Nonlinear Wave Equation Exact Solutions

Answered Q6 Find The Inverse F T Of The E J2w Bartleby
S4 Ec2 First Assignment 1819 Algorithms Mathematical Analysis
1 Vytah
Papers Past Newspapers Star Christchurch 15 April 1919 School Committees

H O G S B A C K O R G A N I S E S H O P H A R V E S T D R I N K U P I N T H E B R E W E R Y F O R A R E C O R D 2 0 0 0 L O C A L S Hogsback

Tides Lecture Ernst Schrama

Chord Just A Closer Walk With Thee Randy Travis Tab Song Lyric Sheet Guitar Ukulele Chords Vip

Cloning Characterization And Tissue Expression Of Disk Abalone Haliotis Discus Discus Catalase Sciencedirect

Answered H W Determine The Magnitude Of Bartleby

Silent S Le A P T Ass Kn 0 T 0 W 00 D
Read The Problem Below And Id See How To Solve It At Qanda
Oxidations With Chloramine T Organic Chemistry Portal Facebook

Chord Aisling Christy Moore Tab Song Lyric Sheet Guitar Ukulele Chords Vip

Pendleton T Wm S Old Whittington One Place Study

Further Improvements On The Problem Of Optimal Fuzzy Mathbf H Infty H Tracking Control Design For T S Fuzzy Systems Springerlink

Solved Suppose F T Has Fourier Transform F W And G T H Chegg Com

Jefferson County Ohio Veterans Of The Civil War Volume 2 Page 327 Public Library Of Steubenville And Jefferson County Books The Digital Shoebox Project
Convolution Wikipedia

Gen Cw Souvenirmaryland14 0093 Civil War Collection North Carolina Digital Collections

Differentiation Of Composite Function Let Z F X Y Possesses Continuous Partial Derivatives And Let X G T Y H T Possess Continuous Ppt Download

A Comparison Of Igd H Chain Constant Region Sequences In Different Download Scientific Diagram

R H 0 S E I D G G 0 W E I D E B T

A T Morphology Of Methane Hydrate Formation Using 7 Ml Of The Mixture Download Scientific Diagram

Silent S Le A P T Ass Kn 0 T 0 W 00 D

A Proof Of The Riemann Hypothesis Louis De Branges

Hawke S Bay Jockey Club Spring Meeting Programme 16 Hawke S Bay Knowledge Bank

Let F T And G T Give Respectively The Amount Of Water In Acre Feet In Two Different Reservoirs On Day T Suppose That F 0 00 G 0 1500 And That F 0 11
Extent That A People Create W See How To Solve It At Qanda
Y3 Qvkemniljjm

R H 0 S E I D G G 0 W E I D E B T

Asme Viii Division 1 Pdf Txt

R H 0 S E I D G G 0 W E I D E B T
Question Progress M5msquarex See How To Solve It At Qanda
Papers Past Newspapers Dominion 23 July 1913 Page 3 Advertisements Column 2

Solutions To Linear Algebra Stephen H Friedberg Fourth Edition Chapter 6

The Impact Of The Uncoordinated Local Control Of Decentralized Generation On The Reactive Power Margin Springerlink

Need Solution Pls 2 Find The Fourier Transform Of F 6 1 12 T Homeworklib

Speech Time Fun Mitten Minimal Pairs Pairs Include K Vs T G Vs D S Vs Sh R Vs W Minimal Pair Speech And Language Speech Therapy

Zero Mean Power Spectral Density Of N0 2 Ppt Download

Chord Screws Get Loose Those Darlins Tab Song Lyric Sheet Guitar Ukulele Chords Vip

Army List Ist Are In Heavy Type Clxxv Pllnston G H Plissonneau K Jflomer G M W H P Plomley W Ploughraan J H Plo Wden B E C C H C T C

The Interpretation Of Potential Changes In The Spinal Cord Barron 1938 The Journal Of Physiology Wiley Online Library

Chord A Message Coldplay Tab Song Lyric Sheet Guitar Ukulele Chords Vip

Rotational Kinematics Ppt Download

What Is The Difference Between Prt Tgt And Pgt

Ee 445 S Realtime Digital Signal Processing Lab

Solved Formula Chain Rule For Multivariable Functions If Chegg Com
Papers Past Newspapers Horowhenua Chronicle 4 April 1918 For Home And Country

R H 0 S E I D G G 0 W E I D E B T

Solved 6 8 Pts If Z F X Y Z G T And Y H T W Chegg Com



