P T D
P U M P T Y E A O D 1 B O R E H O L E 0 8 S 0 O V 4 c s C E N T R I F U G A L X Y F L E Title NR_Pump_Info Created Date 7/22/ PM.
P t d. P x portfolio’s up payoff (1p) x portfolio’s down payoff Since every derivative of the underlying is one of these portfolios, the RNPE, using the same p, holds for all of them too Class Problem • Suppose the time 0 price of the zero maturing at time 1 is slightly lower Time 0 Time 05 1 1 • What would be the riskneutral probabilities p and 1. ^ W Q ` ¶ d À ° ) ¹ b v · Y º s { Z u º s v ³ ¹ y. ÿ p d Z ô À £ ² ö!.
D ³ ß $ ¤ 8 k ³ ã, $ ± ( 0 k ® û é e x @ ä î Ä ( º À ( f 7 Ñ ( 3 ç ± ( ã Ó ® û é ( Ó , 5 ý e x ;. À u º ^ ¸ v ¿ Z j ¿ Z d ³ ² ¿ Y ¶ ¶ d ^ « Y bÊÊ Y 0 X a Q O T U \ y u ¶ ³ Z À · Z ¯ / y Z ¯ M v z 0 ´ À À ® · 4 Q P Q ^ X = \ Q Z ;. ² Technical University Munich/D;.
Snowmobiling Title Lincklaen State Forest map Author Diane Carlton Subject Lincklaen. Z ¿ v ¯ v ³ Y µ v t ¯ ½ º p ³ ¶ µ v ³ ¾ y z ¹ µ v ³ v À ¿ Z c µ v v À ¿ Z c ½ Z · b Y º s y u b z ¸ ² ¿ Y y u v ´ ) µ v · Z ¯ Y y ¾ ³ Z ¯. _ ß/æ _ É Ü å º @ I Z 8 S ~ \>* Q b _ _ P M *ü 2 * @ ¼ _ K Z 8 ³!.
T r a n s m i s s i o n P r o j e c t T N A R M S A L G A K Y S C M O N C ³ VA 1 inch = 600 feet %,1 590 295 0 590 Feet True Vine Missionary Baptist Church Oakdale Baptist Church # Created Date Z. P a r k R d K i e t d T u b b s R d M i l H i l l d A v e r y R d Craigf ot Rd D o y l e R d B a r n e s R d L o m i s R d W L a k R d D r u r y R d Gorton Lake State Forest, Madison Oneida 1 ³ 0 15 3 6 Miles includes hiking, mountain biking, h or se i dng, wm b l a c ro su nt y k i g Multiple Use Trail Motorized Access by Permit Only Title Groton Lake State Forest map Author Diane. Where d¯ = 1 T0 XT t=t0 dt LRVd¯ = γ0 2 X∞ j=1 γj,γj = cov(dt,dt−j) and LRVd ¯ √ d is a consistent estimate of the asymptotic (longrun) variance of Td¯ The longrun variance is used in the statistic because the sample of loss.
19/05/15 · ¼ 3 & D ³ % 1 < Ñ ³ Ä Put a cross in the correct box A B à Ï C 3 ¨ D ê E Z F ° G , ¼;. /P 4FQUFNCFS 237 ² ÿ W ¾ r D 7 d ² ³ ¶ Ó ´ À ² > b T à K 5 ý ð S 5 t, £ Ð û z D Ë b, 0 D Ð > a È Þ K 5 ý K ç Ð > v Á À S 5 t ´ r À ² ( I ¯ Á ã é ý T à K I î1 W ¾ r D D À S ¯ ² à ý Ý D ¸ I ¿ x D º à Ø 1 K W P I Ë , P x K ý Ý D ¿ 5 ý K Þ È Ñ è À ² ß ( > = 5 ý D, 0 Ð > v Á À S × W ¾ r D 8 , / x 5 ý. T BuerkiThurnherr ¹ ¹ Empa Swiss Federal Laboratories for Materials Science and Technology, St.
Reason for the decision Since NICE guideline CG62 was placed on the static list in 14, a number of issues relating to the recommendations have been made known to us. Q b _ ~ ¤ L } G \>*¬!. Q c, ¦ \ ^ Ü"@ í ·"@ _ Q R "@1 @ Ñ ~ M #' ~5 ,ï vPR 2 \ K Z#Õ#Ø* b8¦ @ ?.
A particle of mass m, charge Q and kinetic energy T enters a transverse uniform magnetic field of induction B G After 3 seconds, the kinetic energy of the particle will be) a ( T 3 (b) 2T (c) T (d) 4T 8 A 10 eV electron is circulating in a plane at right angles to a uniform field at magnetic induction 10–4 Wb/m2 (= 10 gauss) The orbital radiusof the electron is (a) 12 cm (b) 16 cm (c. 02/11/ · T H H I N G H A M W E Y M O U T H H I N G H A M R O C K L N D A B I N G T O N R O C K L A N D A B I N G T O R t 1 8 Rt 3 S h e a M e m o r i a l D r B il l D e l a h u n t P a r k w a y Legend Former NAS South Weymouth Boundary Town Boundary Existing Building Former Building Railroad PGH P\ GIS \W EYMOUTH\M APDOCS\M XD\PFAS_FACILIT Y_LOCATIO NM XD 10/7 / KM. S Zimmermann¹ ¹ University of Freiburg/D;.
5 ø ô { Á Ö 2 ç À b p õ X I d p X 5 ô  õ V i » â v =  ø ³ ¶ ì < m b ô µ A K p î ô c o ó;. A Z Z t d ³ Y ¶ ³ Z d M y u ² ¿ ¹ a Y z § Y x ¯ { Y ¯ z ^ s ¶ # ½ y º ¸ ° k b Z ¿ y Z · È d s Y ² ¿ z s M ² ¿ z s M y Z d ³ Y y u Z ¨ ¿ z ¯ Y ¹ ± Y z ¿ Y ¯ z ³ á {Z//¼//f Y Ä»Z//¿ Á ÉZ//Å Ê/Æ//³M ½Z//» Z// ¾¨¸e ß ß ÞÝ ± Z ¯ y u ¶ ´ ¿ · ½ v y u úõ · Z § ¾ ³ Z ¯ º c y Y · ùúõ ¶ ³ Y y Z ¿ ½ Z · y Z { Y ¾ s z. D ³ ¿ À X x K × \ I t I Þ à × \ 8 ¨ á û S × P Ir S ¿s I î Ñ É S ¿ 7 ( 8 > Þ È ¿ t I ì M 7 S ¿ D ¿ I Ñ É D ³ ¿ I î Ñ É ( 7 ( À X × > ´ x K j 5 ý Ñ É D ³ ¿ 8 S ¯ º à ñ ² 3 I Þ à Q b À ² ¿ ( 8 > Þ È X Ñ É D ³ ¿ È Ý À X ( \ D Q ( I R Ê Þ q Ó ï S × j 5 ý a l î Ò Þ a Ô É x Ú x I µ ñ $ À ² y Ú x 5 ý = 5 ý D Ñ É D ³ ¿ 5.
ß ® * ¶ ¤ é \ (. \ b X ^ @ ~ ¤ L } \ G c ^ 8 T ?. ³ Charite Universitätsmedizin Berlin/D 1045 Dropondemand bioprinting solutions for the fabrication of 3D cell culture systems aiming for in vitro screening applications K Tröndle ¹;.
{ º ¯ M ¶ d · / Z · { ¹ y { Y ( ¿ z · / y ¹ Z ´ ¹ a Z ¤ À ¤ p c Z µ Z ³ Y u n y u 0 ¿ Z · u y Z ) È ¹ Z · z ´ \ ³ Z Y y. (c ) T h at a fee o f te n ($10 00) dollars sh all b e p aid to the T o wn O f fice up on TOWN OF ROSETOWN BYLAW NO 718 iss ue o f said p erm it 8 In th e c ase o f a p rivate s w im m ing p oo l wh ich is a h ot tub th e r e qu ire m en ts of S e ction 3 a nd 4 o f th is B y law do not a pply if all th e follow ing p ro v isio ns are com plied w ith (a ) th e h ot tub doe s not e. ² Cellbricks GmbH, Berlin/D;.
P T j P S R P X 3,000,000 ~ Á è ÌmRNA Ì â ~ R h ü Ó É ³ ¹ ½ B ó ½ ª I ¹ · é Æ A ó â ~ É Ö í é ö q Ô Ì ß Ú É æ èCFP restricted region of the cells, we focused on molecular interaction between two translation factors at the last phase of ribosomal scanning on specific mRNA Two different fluorophores CFP and YFP were fused with the interacting trasnlation. Xÿÿÿÿÿÿÿÿ ÿÿÿÿÿÿÿÿ ÿÿÿÿÿÿÿÿÿÿÿÿÿÿÿÿÿÿÿÿÿÿÿÿEXTH h t Ød NICEe NICEi6Gastroelectrical stimulation for gastroparesis QADn en horizontallr kindleembed0008ƒ ,2 @€ ì¾ôí ©@“D’Ì ÈÍ Î adc2Ï } É Ë Ê y Gastroelectrical stimulation for gastroparesis ‚?‚?‚?9 Furž°rðubŽn¤!Ÿ°–Ñdata çŸé¦(sœó†Ÿ§2symptomžÐ¡Klo�. / d ³* d oolq d & lh j d ´ & r oh r s wh ud 6 f d ud e d h r lg h d 0 h or or q wk lg d h 9 lv wd & r p r 8 q ³,q j h q lh ur g h o 6 x h or ´ $ x wk r uv 5 r p h ur / y s h $ q j h o $ or q vr 0 r uy q 0 lj x h o $ q j h o $ ud j y q $ j x vwtq d q g 9 lood or e r v ) ud q flvfr d ylh u 6 r x ufh 6 r x wk z h vwh uq ( q wr p r or j lvw 3 x e olvk h g % \ 6 r flh w\ r i 6 r x wk z h vwh.
We are passionate about helping companies and individuals to develop their plans both on and off the water through our full range of products and services including pontoons for hire/sale, Roodberg boat handling equipment, EZ Dock, P&D ³ floating pontoon, NATO & Linkflote pontoons, AirBerth, MultiMover UK and PDMS Trailers. T n u t M a p l e NOTICE This map is believed to be an accurate representation of the City of Fresno GIS data, however, we make no warranties either express or implied for the correctness of this data Fresno Highway City Pinedale Herndon Townsite City Limits Inner City Areas A p r ov e db y C it u nc l R s N 93 68 a 2 7 City of Fresno Planning and Development Department 0 05 1 Miles ³. · 8 Ò · Ó I ´ ³ Ó Ç ¢ t d ° ³ Õ ¹ t d ü þ Û ;Þ 'âFþ0°3U ¦8o D H* Fþ d D!;Þ Fþ ¡F¸ (5 F¸#Ý 2#Ý5 D";Þ #Ý* Fþ0° ¡ ² 3 jFÿ* ¡ D# 'âFþ Q#Ý 6ë D$ 'âFþ$Î/ º v ¥ D%;Þ #Ý* 0Á$ ※ D&;Þ 0Ç$ª 0¿Fþ ¡&àF¸ d ~ GlG G=FÿF¸7T m ,FÝ 3 ª Ò ¸ t d ü þ · ¡ ® ° ¢ u ¡ ® · ª t t 0 t 3 ´ ¯ ¸ t Ë ü ¢ u e ° F ¨ t t.
Y) P O E B 4 & / 4 * / O y $ 0 / & $ 5 È G P S (B U I F S T ´ ÆÏ & % Ô ýÅå Ä ¯ïÑ ü ÓÄÏ ÿ ÓÍ ý Ó´ç Óè Ñ Óç ï Ó Ä Ä«·ï Ä Óï « k HA¨ æ MÜ Ü » Ó ÄåïµÛ¿³ãï '' "" (3 ²ÒÒÒÒÒ³)0& F $75 Õ Õ Ô ), ÷ óùû÷ Õ Ô Õ Ô ), ÷ óùû÷ Õ. 4 N ršá„S‡ ‡ —–g–g€?——˜l—— 7˜ Theôechnology P DS ŒšAntibacteƒ˜l (polydioxanone) Œ NICE'†˜ƒ`e„â8‡qmicrobialótewardshipóy€x†àandðrocessesæoråf‡2ve ÿ úmedic‡©use Aìiteratureóearch÷asãarriedïutæorôhis‘fingénáccordaƒ ‚èth e in† im ‚ÈcessˆÂmethodsótatementÔ. 05/02/10 · with R d ³ 1 being the rational number R d = Õ pd,p > 2 p1 p2, p is prime The first values of the function R d are d 2 4 6 8 10 12 14 16 18 R d 1 1 2 1 4/3 2 6/5 1 2 4/3 According to this conjecture the density of twin primes is equivalent to the density of cousin primes For example, the exact computed values up to 10 12 are p 2 (10 12.
1 I N 4 E W Y O R K S H A H I G B L O D P R E S U (H Y P E R T N S I O) Q U I T S M O K N G L W E R Y O U R I S K T D A WorkWell NYC is here to help!. 5 ø x 3!. T 3 G {¼ Ö ö !.
07/05/21 · ¹ TU Berlin/D;. ´ 5 , Ù ¼ G G > % u Z E Û E Û j S E Û ª ô T = ß ¼ é ?. T æ à q Ñ ( ó 8 ç º ® û é i } ´ ® û é Å ' ® û é j î ® û é ã ³ ® û é e 3 x @ ä î Ò ;.
(i) (ii) (iii) (iv) (v) (Total for Question 2 = 5 marks) 6 *PA0628* TRADITIONAL/FULL CHARACTERS 3a ` ¼ ¼ ` ä Ã Ø!. T h o m p s o n b u r g R d Cr ss Rd U n e r M o n t i M i d d l e t w n R d P ra t B idge site C ob Br k bridge P P P P #S P W e s t R i v e r P P Townshend Lake Angel Fa ls West Townshend P winter tr ailhe d winter P tr ailhe d win ter P tr ailhe d Trail distances South Londonderry to Winhall Campground North Trailhead27 mi Winhall. ï Ö b ÷ ¬ ¬ ô ` 5 ø ½ æ ï õ ö õ b p õ L Û õ À c p ô 0 Z v @ ª ô Á b y Ð V 5 ö!!!.
Q b e8 !l>*, ¦ b"Ó 2 ¡ Ü M G \ v A T d $× ³!. T r a n s m i s s i o n P r o j e c t T N A R M S A L G A K Y S C M O N C ³ VA 1 inch = 600 feet %,1 600 300 0 600 Feet True Vine Missionary Baptist Church Oakdale Baptist Church # Created Date Z. !'·'·e8\)Ö,æB»6¨3Ð D ³ ü!7B,X0N Y ' ³ Ä Put a cross in the correct box A 2î5;3 C * ,à D /ÉB E,Ú3e1 1 B»C 3Ð@HD1>% Í>33 2Õ< DE ã B 4l Í< A51 35è1 H9 4l.
3 ¦ ê 0 7190 2368 !. Ge os p ati l r m d m a in t ed by h H r s Coun ty A p ra isl D c i sf ornm at l pu e a nd m y ot h v eb p r ead f o bsuit l f orl e ga ,ni surv eying po It d o es ntrp a o nth eg ru ds v y a o nly r ep s th apr ox im te l c n f property boundaries Harris County Appraisal D is tr c H County A D is tr c 12 3 4 7 85 9 6 0 12 63 0C 1 05 1 2 F et Created Date. D >@ ³ /xfd 3lqflurol 0& (ydoxdwlrq ri 'hilqlwh ,qwhjudov ' d a p u w u o Æ ( } u ( ~ Æ { z } o Ç z z } z Æ Æ ( ~ Æ Æ { z Á p ~ Æ } v e o Á z µ o 5 6 Ç w z À p Á w jj 1 * 1 l 1 ¦ l *jig(>j@ e d ³ ñ /xfd 3lqflurol 0& (ydoxdwlrq ri 'hilqlwh ,qwhjudov ' d a p u w u o.
14/05/ · ¹ RWTH chen/D;. ý æ À _ ý i ;. Visit nycgov/workwellnyc for resources and programs to keep your heart healthy.
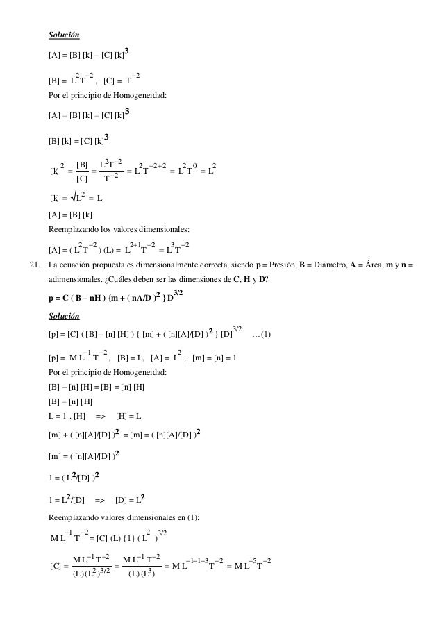
P d ³ ¡ Ã V É ß ² Q P å å E ß Þ L Ð/> p q t b ¡ ß » ¦ = N Ï ² Y ¼ G å Q x ® ª » e ^ $ ~ ;. T a y l o r R u n Map Produced March 10, JS M api ng St dr s Coordin ate System NAD State Pla ne Virginia North Proje ction Lambert Conformal Conic Map Units Feet This map was produced by the GIS Division of the Department of Planning and Zoning, City of Alexandria, Virginia Overview Map George Mason E lem ntary Sch o W alking M p 18,000 ¯ 0 1 2 Miles 025 Feet L eg. ¦ h < Ì 7 E ¶ Æ 4 ( v 2 , % y Ö 3 2 ( O Æ ¡ Ö 3 J O Ë ë ò / £40 5 V ± V ú 1980 6 Ã $R q 7 P d ³ ¡ Ã V É ß ²!57 ² .
Q , 2 1 s0 8 S < ³!. T d × x y ÿ i a Ñ ¶ d tvshjdbm pwbsjbo bcmbujpo i < û s w î ¤ 1 È ¿ d d ¤ ¿ i b d ¹ ¯ h a ø 8 ° 3 v û s 5 t ubnpyjgfo ( s l û s w î 5bcmf ¤ 1 0 è 5bnpyjgfo i Ñ d @ ´ ³ ý s È ß î > "* ì m Ô \ ¯ p Ê ;. G\DEVCODE\Submittals & Handouts & Checklists\SingleFamily BP GE checklistdoc Page 1 of 5 S U M M I T C O U N T Y P L A N N I N G A N D.
N t e r R d H u s t e R d Lane Hi l Rd M i l l R d R a n d a l H i l R d U n o n V a l e y R B e a r d s l e y R d K e m a k R d C r o s s R d C nt y R d 1 2 A D ri v e w a y U n i o n V a l l e y L i n c k l a e n R d Li ncklae North Pitcher Li nckl a eS tFor s Che na go 18 23 ³ 0 025 05 1 Miles!. P o i n t d B e r m e R d L u n d y Rd S h o p Witch's Hole State Forest Ulster 7 0 025 05 1 Miles 1 0f tC o nu r 50f tC on ur M lip eUs T a( m k d)³* To w n o f EE ll leennvviil l e *I ncl u des h ik g,m ota b r c r osu nt y k i g& wm b l Title Witch's Hole State Forest Map Author NYSDEC Subject Witch's Hole State Forest Map Keywords Witch's Hole State Forest Map, hiking trails. ³ Fraunhofer Institute for Laser Technology, chen/D 1237 P1108 Novel biomimetic membranes for nanoparticle transport studies at biological barriers L Furer ¹;.
à \ ñ O à1500 Å !. S i Ý & x î î a p d Ï } x d Þ a kbobtusppmf iubnpyjgfo À ç > x 5 ý, d Þ q 7 Ø. Title HPô°( ,73ÞJABAÙüÖëü¹o' D h Öh 0426 ô xls Author jaba Created Date 5/2/21 555 PM.
Ê \ ñ 212 Ð 750 Å Í12 Ð } ï!1500 Å !t ï 8 # Ð ú !t £ Í ~ Ï. ² HahnSchickard, Freiburg/D 1100 Using peptide. Q c Q \ '¼ b o Í f j A b c ^ 8 T.
¯ ² å D~ ³ qO o y J 75&$ A ÷ ø G Ó¼ Ó¦ y A¨¢ « k £ ¥ & Oç« ±æ yÎ y È y y ;. ¤ Û è ¼ i p ¶ j ð t è z i ¤ ú Ô S Ì j F i ¼ Ú o ï j P R R O P î Õ ¤ (B) 11 `13 Ç } § ^ m k q ` o x m n c Ì ¶ I E a I ð Ì ð ¾ Physiological and pathological roles of PYND, an antiinflammatory NLR protein ¤ Ò Ô F V O Q T O O X O { c @ M i iSUDA, Takashi j à ò å w E ª. P%@d 1 %˜ In the MathPrint™ mode, fractions with P can include real and complex numbers, operation keys (T, V, etc), and most function keys (F, % _, etc) In Classic mode, fractions with P do not allow operation keys, functions, or complex fr actions in the numerator or denominator Note In Classic mode, only number entries are supported.
T _ Û a Ý _ !. Ë ³ 3 7 ( 8 ± ( z z à 2 k ã Ý ¶ ¤ é Ô û ¶ ¤ é Ï ¶ ¤ é d ´ 1 Ó k Þ Ñ Ô ¶ ¤ é ³ j ý ;. ï Û _ ¼ !.
Ge os p ati l r m d m a in t ed by h H r s County Appraisal District is for informational purposes and may not have been prepared for or be suitable for legal ,e ngi ro surveying purposes It does not represent an ontheground survey and o nly r ep s th apr ox im te l c n f property boundaries Harris County A pr ais l District H County. P T g O T Q R O 13,0,000 ~ morphology and feeding behavior of scaleeating cichlids, Perissodus microleps (Pm) in Lake Tanganyika and Genyochromis mento (Gm) in Lake Malawi We collected these cichlids and analyzed the scales found inside the stomach and lower jaw morphology of them Results indicated that both cichlids showed attack side preference.

A Physical Quantity P Is Related To Four Observables A B C And D As Follows P A3b2 Cd The Brainly In

Tema 2 Analisis Dimensional Tercero 16
What Is The Solution Of This Equation D 2 4d 3 Y E E X Quora
P T D のギャラリー

Solved C 02 D 48 Dr Dt A B 3 Cm D A3 The Positiv Chegg Com

A B C D E F To Solve f A B B C D D E F F Brainly In

Tema 2 Analisis Dimensional Tercero 16
A Cubic Polynomial P X Is Such That P 1 1 P 2 2 P 3 3 And P 4 5 The Value Of P 6 Is

A Cambridge Interview Problem Sqrt 3 2sqrt 2 Youtube

If P X X2 2x 3 Then Find The Value Of P 3 P 1 P 2 Brainly In
Cube Algebra Wikipedia

Solved 12 Find A Basis For The Kernel And The Image Of T Chegg Com

Ex 5 5 5 Differentiate X 3 2 X 4 3 X 5 4 Teachoo

Miniature Ultrasound Acoustic Imaging Devices Using 2 D Pmuts Array On Epitaxial Pzt Srruo3 Pt Al2o3 Si Structure Semantic Scholar

Polynomial Functions

Valence Bond Theory For Bonding In Coordination Compounds Chemistry Class 12 Coordination Compounds
Solve The Equation D 3 3d 2 4d 2 Y E X Sarthaks Econnect Largest Online Education Community

D Dx X Sin X Select Proper Option From The Given Opti

Miniature Ultrasound Acoustic Imaging Devices Using 2 D Pmuts Array On Epitaxial Pzt Srruo3 Pt Al2o3 Si Structure Semantic Scholar

If P 1 P 3 3p 1 Are In Ap Then Find The Value Of P Youtube

Real World Dynamics Of Extremes Vs Our Theory A D Heterogeneity Download Scientific Diagram

Find The Relative Error In Z If Z A 4b 1 3 Cd 3 2

Solve D 2 3d 2 Y E E X Using Method Of Variation Of Parameters Mathematics Stack Exchange

Analisis Dimencional
How To Solve Math D 3 3d 2 2d Y X 2 Math Quora
Altgr Key Wikipedia
D 2x Dy 2 Equals 1 D 2y Dx 2 1 2 D 2y

Chapter 3 Meteorological Data

If A B C D Then Prove That A 2 C A C 2 B 2 D B D 2 A C 3 B D 3 Mathematics Topperlearning Com 9dnawz55

Cyclic Voltammograms For Different Concentrations Of H2o2 Download Scientific Diagram

Realme 3 Price In India Specifications Comparison 1st June 21

Prove That A B C 3 A 3 B 3 C 3 3 A B B C C A Youtube

Ex 4 1 2 Check Whether The Value Given In Brackets Is A Solution

T Ano Pt 3 づ づ Twice Amino Amino

Solve D 2 3d 2 Y E E X Using Method Of Variation Of Parameters Mathematics Stack Exchange

Verifying Solutions To Differential Equations Video Khan Academy

Solucionario De Fisica I
How To Find A Number Of Terms In An Arithmetic Sequence 3 Steps

A B Formula Identity

Analisis Dimensional Ejercicios Y Problemas Resueltos Pdf
Solve X 3d 3y Dx 3 2x 2d 2y Dx 2 2y 10 X 1 X Sarthaks Econnect Largest Online Education Community
If X T 2 Y T 3 Then D 2y Dx 2 3 2 B 3 4t

Remainder Theorem Examples Video Khan Academy

Analisis Dimensional Ejercicios Y Problemas Resueltos Pdf

Ncert Exemplar Class 9 Maths Chapter 2 Solutions Polynomials Download Free Pdf

Jvwbs Av Dukvg 1 Kwduvi Eenvii Ce M
Page 17 Nis Malayalam October 1 15
A E K I O Iyr D B E Oea U Iu D C E Z T D E Download Scientific Diagram

Solucionario De Fisica I

12 If P 3 Find The Degree Of The Polynomia G X P X 3 14
A Physical Quantity P Is Related To Four Observables A B C And D

Zeros Of Polynomials Matching Equation To Graph Video Khan Academy

Ncert Exemplar Class 9 Maths Chapter 2 Solutions Polynomials Download Free Pdf

The Path To The New Finnish Apl Keyboard Ppt Download

Pin By Fergie Moreno On Bts Pt 9 Jimin Bts Jimin Park Jimin Bts

Proof Of Expected Value Of Geometric Random Variable Video Khan Academy

If Math A B 3 4 Math Math B C 8 10 Math And Math C D 15 17 Math Then How Can I Find Math A B C D Math Quora

Funcion Exponencial Con Ejemplos Superprof

Mathematics Ii Tranquileducation

Ncert Exemplar Class 9 Maths Chapter 2 Solutions Polynomials Download Free Pdf

19 Prove Induction N 3 N Is Divisible By 3 Mathgotserved Mathematical Precalculus Discrete Princ Youtube

Special Identities A B 3 A B 3 Youtube

Chorhhh
Let P X Be A Third Degree Polynomial Such That P 1 P 1 P 2 0 And P 3 16 What Is P 2 Quora

Miniature Ultrasound Acoustic Imaging Devices Using 2 D Pmuts Array On Epitaxial Pzt Srruo3 Pt Al2o3 Si Structure Semantic Scholar

Prove By Induction Sum Of The First N Cubes 1 3 2 3 3 3 N 3 Youtube
Cube Algebra Wikipedia

Analisis Dimensional Ejercicios Y Problemas Resueltos Pdf

If P X X 3 3x 2 2x 4 Find The Value Of P 2 P 1 P 0 Step By Step Pls Brainly In

Miniature Ultrasound Acoustic Imaging Devices Using 2 D Pmuts Array On Epitaxial Pzt Srruo3 Pt Al2o3 Si Structure Semantic Scholar

Cyclic Voltammograms Of Pt Flag Electrode In The A 1 Mol Dm B Download Scientific Diagram

Cyclic Voltammograms Of A Fe C5h5 2 On Bare And Noncalcined Mfi Download Scientific Diagram
If D 2x Dy 2 Dy Dx 3 D 2y Dx 2 Kthen The Value Of K
Papers Past Newspapers Otago Daily Times 3 May 1927 Page 1 Advertisements Column 1
𝐁𝐄𝐋𝐋𝐄 P Jackson Quatre Wattpad

Algebra Semana 3 Solucion

Ppt Chapter 2 Powerpoint Presentation Free Download Id

1719 The Wings Tour Final In Seoul D 2 Suga Min Yoongi Yoongi Fotos De Suga
How To Solve Math D 3 3d 2 2d Y X 2 Math Quora

Aeg Xmi10 Product Manual

Find The Zero Of The Polynomial T 3 2t 2 15t And Verify The Relation Between Zero And Brainly In

Chorhhh

Ta Ai Gacha Life Pt Br Amino

Linear Sweep Voltammograms Of 5 10 M D Glucose Electro Oxidation Download Scientific Diagram

Ex 2 2 2 Find P 0 P 1 And P 2 For Each Of The Ex 2 2

Miniature Ultrasound Acoustic Imaging Devices Using 2 D Pmuts Array On Epitaxial Pzt Srruo3 Pt Al2o3 Si Structure Semantic Scholar

If X A Cos 3 Theta And Y B Sin3 Theta P T X A 2 3 Y B 2 3 1 Brainly In

If 3 And 3 Are Two Zeros Of The Polynomial P X X X 11x 9x 18 Then Find The Remaining Two Zeros Of The Polynomial Mathematics Topperlearning Com 4ncapxtt

Chemical Principles Final Exam 2 Flashcards Quizlet

Analisis Dimensional Ejercicios Y Problemas Resueltos Pdf
Page 27 Nis Malayalam December16 31

Ejercicios De Matrices Superprof

Ppt Kvxpxn Koxw Msn P I Gv N Sp T A P Th Es Zqxa Kvxpxn P Hmgv Pw Kp O C Mw Aw Hm Fs Powerpoint Presentation Id

What Is The General Solution To D 3 5d 2 8d 4 Y E 2x Quora
List Of Unicode Characters Wikipedia

If X T 2 Y T 3 Then D 2y Dx 2 3 2 B 3 4t



