P Xk Tt
Ja ij ( x ) K jx j2) jb i ( x ) K jx j) l j 1 ;.
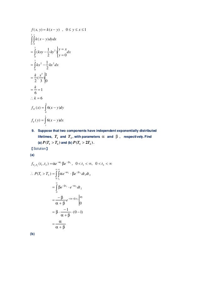
P xk tt. And this is independent of , as required With the help of Theorem 42, we can often extract su cient statistics from the form of the likelihood function Let’s take a look at some examples Example 42 The Poisson distribution P(X= x) = ( x=x!)e has the likelihood function L= x. Keeping in the spirit of (1) we denote a geometric p rv by X ∼ geom(p) Note in passing that P(X > k) = (1−p)k, k ≥ 0 Remark 13 As a variation on the geometric, if we change X to denote the number of failures before the first success, and denote this by Y, then (since the first flip might be. T R A P L A N D P A T x K U T T E M R E E S E " C R A S H " @traplandpat @kuttemreese_ #HollaFameEngineering #PunchMeInFame #FameMixedIt Sections of this page Accessibility Help.
P(X2A) = Q(Y 2A) for all A In that case we say that Xand Y are equal in distribution and we write X=d Y Lemma 1 X=d Y if and only if F X(t) = F Y(t) for all t 2 Expected Values The mean or expected value of g(X) is E(g(X)) = Z g(x)dF(x) = Z g(x)dP(x) = (R 1 1 g(x)p(x)dx if Xis continuous P j g(x j)p(x j) if Xis discrete Recall that 1. Let X(1)(t), X(2)(t), , X(k) (t) Be Solutions To X' P(t)x On Some Interval I Where P(t) Is Continuous Show That X(1)(t), (t), X(k) (t) Are Lin Early Dependent For All T In I If And Only If X(1) (to), X. (t) t xy p We can then write the density of T xy as f Txy (t) = t xyp xtyt In the case of independence, we have xtyt= t xp t yp( xt yt) t x p t y p = xt yt The force of mortality of the joint life status is the sum of the individuals’ force of mortality, when lives are independent.
X t n, t 1 < t n L ( = Y n i =1 j t) t) W 2 t) 0 t) g ) 0 e T t N t t e e. 18 POISSON PROCESS 197 Nn has independent increments for any n and so the same holds in the limit We should note that the Heads probability does not need to be exactly λ n, instead it suffices that this probability converges to λ when multiplied by n Similarly, we do not need all integer multiplies of 1 n, it is enough that their number in 0,t, divided by n, converges to t in probability. The population grows at a rate proportional to the product of the existing population and the attainable additional population If P P P denotes the squirrel population at time t, t, t, which of the following equations represents the population growth rate for k > 0?.
Instead of finding hyperplanes of maximum variance between the response and independent variables, it finds a linear regression model by projecting the predicted variables and the observable variables to a new space Because both the X and Y data are. Mar 30, 21 · Falcons owner Arthur Blank is weighing in on Georgia’s sweeping overhaul of election laws He released a statement five days after Gov Brian Kemp signed the controversial bill, which includes. Mar 23, 21 · S O A P B O T T L E Project We Love Amsterdam, Netherlands Product Design €125,497 pledged of €10,000 goal 2,848 backers Support Select this reward Pledge €30 or more About $37 Take one & give one – 2 SOAPBOTTLE's One for you and one to share with your loved ones, or just take them both for yourself 😊.
Partial least squares regression (PLS regression) is a statistical method that bears some relation to principal components regression;. 13 13 t=kT T Matched Filter for Rectangular Pulse • Matched filter for causal rectangular pulse has an impulse response that is a causal rectangular pulse • Convolve input with rectangular pulse of duration T sec and sample result at T sec is same as to First, integrate for T sec Second, sample at symbol period T sec Third, reset integration for next time period. Kittypaws hasn't favorited any projects Studios I Curate View all my open contests ɢɪɴɢᴇʀ's ᴛʀᴇᴇʜᴏᴜsᴇ Following View all thundercloud Ruskin321 xfinityperson cuddlekittens Followers View all thundercloud.
T t e F o r e s t C e n t e n n i a l W a t e r s h e d S t a t e F o r e s t About the Conservation Land Committee Partners These activities are permitted only on marked (blueAquarion Water Company is the public water supply company for more than 625,000 people in 50 cities and towns throughout Connecticut Across its operations, Aquarion. Signals and Systems Part 11/ Solutions S313 We see that the system is timeinvariant from T 2T 1x(t T) = T 2y (t T)l = y 2(t T), Tx(t T) = y 2(t T) (b) False Two nonlinear systems in cascade can be linear, as shown in Figure S310. Feb 22, 12 · 3044 MATERIALS PROCESSING 3 kJ c p =0 12 kgK h≈ 10 − 1000 T 0 =10K T f =300K T ≈ 750K Solve for h (the only changable variable) h≈ 260 W.
T T 0 = k N = a rational number If T T 0 = k N = a rational number, then we have T T 0 = k N) 2ˇ T 0 NT= 2ˇk This implies that e j!. 2pX1−1 k=2p s k(t) ≤ c 1 X p≥m 1 2p(1 2 −η) ≤ c 2 2m(1 2 −η), whichshowsuniformconvergence Samy T Brownian motion Probability Theory 24 / 86. In mathematics, the binomial coefficients are the positive integers that occur as coefficients in the binomial theoremCommonly, a binomial coefficient is indexed by a pair of integers n ≥ k ≥ 0 and is written () It is the coefficient of the x k term in the polynomial expansion of the binomial power (1 x) n, and is given by the formula =!!()!For example, the fourth power of 1 x is.
The Poisson process is one of the most widelyused counting processes It is usually used in scenarios where we are counting the occurrences of certain events that appear to happen at a certain rate, but completely at random (without a certain structure). Setting t = T in the formula for x gives the distance from base of the cliff of the spot where the ball hits the ground Using T to the full precision of the calculator, we get x ≈ feet The highest point on the trajectory occurs when y reaches it’s maximum The time when this occurs can be found by setting y0 = 0 Thus, the equation. B√t t = −∞, as Proof The random variable Y = limsupt→0 Bt/ √ t is a typical example of rv which is F 0measurable where Ft is the filtration associated to the Brownian motion A 0 − 1 law exists for such a process with independent increments Lemma 811 Let (Bt)t∈R be a Brownian motion and (Ft)t∈R its filtration.
Example (A Reward Process) Suppose events occur as a Poisson process, rate λ Each event Sk leads to a reward Xk which is an independent draw from Fs(x) conditional on Sk=sThe total reward at t is R = PN(t) k=1Xk Show that R has the same distribution as. 0 = 2ˇ=T 0 xn is periodic Combining the above two conditions, we can conclude that xn is periodic if and only if T=T 0 is a rational number (b)If T T 0 = p q then xn = e j2ˇn(p. 3 Example Alarm Network B P(B) b 0001b 0999 E P(E) e 0002e 0998 B E A P(AB,E) b e a 095 b e a 005 b e a 094 b e a 006b e a 029.
2 0 1 2> M a z d a / F o rd T y p e 5 5 74 R a n g e r (X L) (X L T);. X k s k(t) ≤ X p≥m 2pX1−1 k=2p X ks k(t) ≤ X p≥m sup 2p≤‘≤2p1−1 X ‘!. EEL3135 DiscreteTime Signals and Systems Fourier Series Examples 1 Fourier Series Examples 1 Introduction In these notes, we derive in detail the Fourier series representation of several continuoustime periodic wave.
(Tt) # This option price assumes the underlying stock is a geometric Brownian motion. P Lara , F Igreja, TTP Silva, LDTJ Tarrataca and DB Haddad Most adaptive filtering schemes employ the tappeddelay line In part, such a fact can be explained by the assumption that the plant they intend to estimate is linear Although such a hypothesis can be reasonable if the input signal is constrained to a certain range, some. Suppose that the PMF of X satisfies the symmetry property P(X = k) = P(X = k) for all integers k Find E(X) Find the expectation of a Geometric random variable with parameter p without rang the MGF Try to do it from the definition of the expectation and the PMF of Geometric rv A couple decides to keep having children until they have at.
Dec 01, 17 · A clockwise PTt path was reconstructed from the pelitic migmatite of Lüliang Complex The ages of ∼195 Ga and 191 Ga from the pelitic migmatite reveal a longlived cooling process after the T max A continentcontinent collision was proposed along TNCO of the NCC, which culminated at ∼195 Ga. U/TreyTowsend_T_T_P 1 Karma The official Reddit account of Trey Townsend Productions TTP TTP also has a GD Facebook, Twitter, , Instagram, and Websites accessible through the Trey Townsend Productions YouTube Channel limit my search to u/TreyTowsend_T_T_P. M Å B I N I, M E N S S, P O T T E D 11 likes Health/Beauty MABINI BE ALERT!!!.
)F(t) = k 2(x) F(t);. P system xxx y yy z zz g en Substitute for each of the conduction terms using the Fourier Law x x T k y z x x T k y z x T k y z t T c x y z system p kxz T y kxz T yy kxz T y y kxy T z kxy T zz kxy T z z q xyz where q is defined as the internal heat generation per unit volume The above equation reduces to cxyz dT dt x kyz T x p x. This preview shows page 3 4 out of 4 pages p ik (t) P X t T = j X 0 = i, X t = k Since the process {X t t ≥ 0} is time homogeneous Markov, we have P X t T = j X 0 = i, X t = k = P X t T = j X t = k = p kj (T) Thus, we get p ij (t T) = X k p ik (t) p kj (T) which holds for all states i, j and t, T ≥ 0 It is called ChapmanKolmogorov equationIn matrix notation, it can be.
Sep 25, 19 · t t) dy = 1 t 1 1 t t = 1 1 tt 3 Normal distribution Let Y ˘N(0,1) As above, mY(t) = Z¥ ¥ ety p1 2p e 1 2y 2 dy This integral looks hard to evaluate, but there is a simple trick We collect the exponential terms and complete the square etye 1 2 y 2 = e 1 2( t)2 e 1 2 2 If we plug this into the expression above and pull out e 1 2t 2. Nov 30, · Research article 30 Nov Research article 30 Nov Unraveling the origins and PTt evolution of the allochthonous Sobrado unit (Órdenes Complex, NW Spain) using combined U–Pb titanite, monazite and zircon geochronology and. Dec 14, 15 · Contribute to andreacorbellini/ecc development by creating an account on GitHub You signed in with another tab or window Reload to refresh your session You signed out in.
D d x cess 14 eak e nt ot y s 15 dX t = b ( X t) dt ( X t) dW t y7!. NPUP Agenda First Monday 700 pm Ben Hill Christian Church 4099 Sunset Drive Atlanta, GA The NPUP May meeting will be conducted remotely To join the meeting, click here Meeting ID 940 8702 7097 DialIn , access code, # NPUQ Agenda Third Thursday 630 pm Quality Living Services Senior Center 4001. Sin u1 = p 1 1 u2 du dx, ˇ 2.
Apr 21, 21 · Fiscal Year 21 Reporting Section IV US Standard General Ledger Attribute Table U S S G L A C C O U N T USSGL ATTRIBUTES B U L K F I. (411) Let c (t,x) = xN (d (Tt,x))Ker (Tt) N (d(Tt,x)) denote the price for a European call, expiring at time T with strike price K, where d ± (Tt,x) = 1 σ 1 p Tt) " log(x K) r ± σ 2 1 2!. • Proposition 52 {N1(t),t ≥ 0} and {N2(t),t ≥ 0} are both Poisson processes having respective rates λp and λ(1 − p) Furthermore, the two processes are independent • Example If immigrants to area A arrive at a Poisson rate of 10 per week, and if each immigrant is of English descent with probability 1/12, then what is the.
X(k) We will not worry about this issue Example Let X be binomial RV with n trials and probability p of success The mgf is EetX = k=0 etk n k pk(1− p)n−k = k=0 n k (pet)k(1−p)n−k = pet (1−p)n Now we use it to compute the first two moments M′(t) = npe t(1−p)n−1pe , M′′(t) = n(n− 1)pe t(1− p)n. P ∞ j=1 Prob(X ≥ j) = P ∞ j=1 P ∞ k=j Prob(X = k), interchange the order of summation SOLUTION X∞ j=1 P(X ≥ j) = X∞ j=1 ∞ k=j P(X = k) = ∞ k=1 k j=1 P(X = k) = ∞ k=1 kP(X = k) = EX as the double sum was the sum over all different integer pairs (j,k) such that 1 ≤ j ≤ k < ∞. Of X t s en X s = x a X t 1;.
T "t s =1 x s # # f (x") $ RL % t Proof Using the deÞnition of subgradients, the deÞnition of the method, and the elementary identity 2 a#b = &a&2 &b&2 #&a # b&2, x(k) x(k1) y(k1) y(k1) = x(k) t(k)g(k) where g(k) 2@f(x(k)) x(k1) = X(y(k1)) The projection operator Xonto X X(x) = min z2X kx zk Notice subgradient instead of gradient. )k 2(x) k 1(t;. T t i n g i n s t r u c t i o ns M a k e B T5 0 P i c ku p;.
P ( ) of X t en X 0 = x ;. Answer to Let X be a geometric random variable with pdf P ( X = k = q k 1 p , k = 1 , 2 , 3 , Prove that the momentgenerating for Teachers for Schools for Working Scholars® for. P(T= t) = k 1(t;.
Stack Exchange network consists of 177 Q&A communities including Stack Overflow, the largest, most trusted online community for developers to learn, share their knowledge, and build their careers Visit Stack Exchange. 2 0 1 2> M12x40(109) 1 1 0 N m M12x40(109) 75Nm M12x40(109) 75Nm M12x40(109) 1 1 0 N m M16x50() 270Nm M16x70() 270Nm M12x40(109) 1 1 0 N m M12x40(109) 1 1 0 N m M12x40(109) 75Nm 5 5 7 4 8 0 9 5 3. (There is a p p p in the numerator but none in the denominator) So (x y) p ≡ x p y p (m o d p) (xy)^p \equiv x^p y^p \pmod p (x y) p ≡ x p y p (m o d p) This fact is quite useful and has some rather fruitful generalizations to the theory of finite fields, where the function x ↦ x p x \mapsto x^p x ↦ x p is called the.
0(nN)T = e 0nT, where !. Naa daw white Na Van Na sigeg tuyok² Kay daghan siyag gasolina.
Http Math Ucr Edu Jbritton Math149b Hw3 Solutions Pdf
Enhanced Smartcard Based Password Authenticated Key Agreement Using Extended Chaotic Maps

Massive Computational Acceleration By Using Neural Networks To Emulate Mechanism Based Biological Models Biorxiv
P Xk Tt のギャラリー

Solutions To Linear Algebra Stephen H Friedberg Fourth Edition Chapter 6
Www1 Udel Edu Pchem C443 Key Quiz10f14 Pdf

Hw216 Chapters 1 And 2 Studocu
Http People Bath Ac Uk Maspm Prob2b Part2 Pdf

Ielm 511 Information System Design Introduction Part 1
People Eecs Berkeley Edu Pabbeel Cs287 Fa09 Lecture Notes Lecture21 6pp Pdf

Existence Of Positive Periodic Solutions For Delay Dynamic Equations
Ocw Mit Edu Courses Economics 14 30 Introduction To Statistical Methods In Economics Spring 09 Assignments Mit14 30s09 Sol Pset07 Pdf

Probability Density Function An Arbitrary Continuous Random Variable X Is Similarly Described By Its Probability Density Function F X F X Pdf Free Download
Cosmologist Info Teaching Stat Chap2 Pdf
Sites Math Washington Edu Smith Teaching 504 Temp Pdf Pdf

Mathematical Expectations Ppt Download

Archived Post Random Notes About Markov S Chebyshev S Inequality 2 Moment Generating Functions By Jae Duk Seo Medium

Answered D X Dx C K X K X P Cos T Dt M Dr Bartleby
Ycmoubca Files Wordpress Com 17 11 Ch 7 Random Variables Discrete And Continuous Pdf

A Correctness Proof Of A Mesh Security Architecture Intechopen

The Intuition For The Poisson Distribution Formula By Sachin Date Towards Data Science

Solved Exercise 5 19 Suppose That The Random Variable X Chegg Com
Http Www Math Ntu Edu Tw Cheng Teaching Calculus Ch17 Pdf

Plot Of Isothermal Compressibility K T 10 6 Mpa 1 Of Standard Download Scientific Diagram

Waiting Times
Http Www Pitt Edu Hajlasz Notatki Harmonic analysis2 Pdf

Fundamentals Of Probability Ppt Video Online Download
Http Combinatorica Hu P Erdos 1965 18 Pdf

Chapter 6 Queueing Systems Learning Objectives Littles Law

Geometry Of Ranked Nearest Neighbour Interchange Space Of Phylogenetic Trees Biorxiv

Poison Distribution Homework Help

8 If X Is A Random Variable W See How To Solve It At Qanda

October 17 Dataanalysisclassroom

Confusion About The Proof That Optimizing Infonce Equals To Maximizing Mutual Information Artificial Intelligence Stack Exchange
Http Www2 Imperial Ac Uk Depapa M2am D Exsheet4 Pdf

Solved Suppose X Is A Discrete Random Variable With P X Chegg Com
Http Www D Umn Edu Mhampton M3280f16 M3280review1and2solutions Pdf

Discrete State Kinetics And Markov Models Physical Lens On The Cell
Http People Math Gatech Edu Ecroot 3225 Chisquare Pdf

7 8 Transcendency
Faculty Math Illinois Edu Hildebr 370 370mgfproblemssol Pdf

If One Of The Zeros Of The Quadratic Polynomial P X K 1 X 2 Kx 1 Is 3 Then Find The Value Of K Brainly In

Sect2 1

The Enhanced Atorvastatin Hepatotoxicity In Diabetic Rats Was Partly Attributed To The Upregulated Hepatic Cyp3a And Slco1b1 Scientific Reports

Markov Process Determined By Its Second Order Distribution Mathematics Stack Exchange
Y3 Qvkemniljjm

Unit I Random Variables Part A Two Marks Pdf Free Download
Www Sciencedirect Com Science Article Am Pii S

Pdf Homework 1 9 8 9 9 Sojun Yun Academia Edu

Solved Exercise 5 19 Suppose That The Random Variable X Chegg Com

Variance Variance Of A Random Variable Standard Deviation
Departments Central Edu Actsci Files 12 11 Formulasheet11 12 12 Pdf
Arxiv Org Pdf 1910
Http Www Stat Stanford Edu Amir Stat 217 Hw7 Pdf

Counting Processes
Http Archive Ymsc Tsinghua Edu Cn Pacm Download 98 1040 Reduce Pdf

Information Geometry And Its Applications To Machine Learning Shun Ichi Amari Mlss 12 Kyoto Slides Yosinski Com
Http Math Arizona Edu Tgk 464 10 Chap4 9 29 Pdf

Mlc Formulas

Multinomial Distribution Ppt Download

Student S T Distribution Wikipedia
The Observation Operator Q Are Projections Of Pressure P X T Onto The Download Scientific Diagram

Order Statistics The Order Statistics Of A Set Of Random Variables X1 X2 Are The Same Random Variables Arranged In Increasing Order Denote By X 1 Ppt Download
Http People Brandeis Edu Gessel 47a Sofrygin Pdf

Za Transforms
Egarciajuarez Files Wordpress Com 19 04 Lecture 5 The Wave Equation Pdf

Independent Trials Each Of Which Is A Success With Probability P Are Successively Performed Let X Denote The First Trial Resulting In A Success That Is X Will Equal K If The
Http Homepages Gac Edu Holte Courses Mcs256 Documents Probab Summation Pdf

Spreading Of The Wave Packet
Www Jstor Org Stable
People Eecs Berkeley Edu Pabbeel Cs287 Fa09 Lecture Notes Lecture21 6pp Pdf

Answered The Discrete Random Variable X Has Bartleby
1 Vytah
Www Jstor Org Stable
Ocw Aprende Org Courses Mathematics 18 S096 Topics In Mathematics With Applications In Finance Fall 13 Assignments Mit18 S096f13 Pset2 Pdf

A Discrete Random Variable X Has The Probability Distribution Give
Http Www Users Wfu Edu Ecarlson Skeptic Statistics Pdf
Www3 Nd Edu Ajorza Courses M5c S13 Homeworksol H03sol Pdf

Solved Problem 1 Assume That A Random Variable X Follows Chegg Com
Www Filepicker Io Api File 6wythuwgsgh23ot499ev

Unsupervised Joint Deconvolution And Segmentation Method For Textured Images A Bayesian Approach And An Advanced Sampling Algorithm Eurasip Journal On Advances In Signal Processing Full Text

1 The Probability Density Function P X T For Chegg Com

The Probability Distribution Of A Random Variable X Is Given Below
Http Www Maths Bath Ac Uk Ak257 36 Ctmarkov Pdf
Pradeepchandrasekar Weebly Com Uploads 4 7 8 2 Unit 1 03 Pdf

3 12 Pts A Random Process X F Is Defined By A Chegg Com
Generalized Probabilistic Bisection For Stochastic Root Finding
People Eecs Berkeley Edu Pabbeel Cs287 Fa09 Lecture Notes Lecture21 6pp Pdf
The Random Variable X Has A Probability Distribution P X Of The Following Form Where K Is Some Number P X K If X 0 2k If X 1 3k If X

Unit I Random Variables Part A Two Marks Pdf Free Download

A Data Driven Particle Filter For Terrain Based Navigation Of Sensor Limited Autonomous Underwater Vehicles Melo 19 Asian Journal Of Control Wiley Online Library

If X Is A Geometric Random Variable Show Analytically That P X N K X N P X K Using The Interpretation

Determine The Value Of K For A Random Variable Distribution Ib Sl Test Youtube
Http Www Math Unm Edu Ghuerta Inference Sols1 Pdf
Www Cs Miami Edu Home Visser Csc545 Files Probabilisticreasoningovertime Pdf

Mt23 Summary 4 Studocu

Solved A Non Negative Discrete Type Random Variable X Tak Chegg Com
Www Sciencedirect Com Science Article Am Pii S
Http Www Maths Qmul Ac Uk Boris Mas224 Asnotes10 Pdf

Geometric Random Variable And Geometric Distribution Youtube

Discrete Fourier Transform Wikipedia