Pe Pji 450
450 in the standard of care group) Median followup was 4·6 years (IQR 3·55·5).
Pe pji 450. Title Average ACT Scores by State Graduating Class of Author ACT, Inc Keywords average ACT scores;. ArtRage StickerSheet File Version ÿ&^ ÿ LjˑϤO¹‹,ÆGÞ ÿ ÿ ÿ ÿf`ýªAÉËJާVÄÞóëo«NR9¨`¹H ) B ¹´ÌX yÍ4¼ç'晓 †vý˜)Ⱥ¢* °_ÑoÖ(´r» ¹å”Œ—½1áyÊd^ŒCŰQŒè?€ 9˜¨ M G8ÕùúFˈ¤«A;. PK è™äPlòãNÐÐ manifestxml DMCCowgirlChaps CowgirlChaps 10 DMC Test ¾4 Jn( væ4 ëÇ $•` ${‚ $À{2$¯ Z$yW " $‘Å $ÇI $ IÜ4 ŒßŒ$_¢ ¸ $ î 4.
TõÚ8Ù0oä ` } Éè. 6 4 1 , 1 6 = F L W c f g c b _ V W R P O T c o r y } ~ € ~ ~ } } } { z z z t u q n j d ` ^ Z W V R Q P Q S U W ` g o w ~ ‚ ‰ ‹ ’ “ ‘ ” ™ – ™ — – “ ‰ ˆ ƒ € ~ x u q p l i d e f f e e f h h j k l l m p n q p q p o m o n n s x ƒ Œ. œ ²¤ Ò v¤ 8ÿ$ƒ¡^8ãážá9 3¤œŠ9e7>œª;6?›š ‹B š = "z‹ I{¥)5›$;¤/³™7;h5Ò˜ ;«S—fŸ0Ñ— 52–u;¸R•Ù ‡ T~ªD„žUP¥Z.
I oÀ&â Ãk° ®Ÿ>ÿò LM˜E$#çÎ_ûi ¨ oO— †¡€Ènapb2(O@@ç nY JÖ_Ê5t¼åž{G½úÐ à *5Ó¶>À¸Z–n Ò„úïùô½Œeë¶K%ZMÅà ð™ßù. Findings Between June 21, 11, and June 2, 16, 9 patients were enrolled and randomly assigned to a treatment, of whom 912 were eligible (462 in the experimental group;. Apr 17, 21 · þ#b ‚ G‚@˜€8@ ‡àðá C xp~ ÿÄ"ïÿ‡Ãâ w ñ @ Àw øv ‡ˆ áð â ü \ဥ öÄ&«Eâ,Ò>OlxþbiëYxÓkÓ·}K ¢« NŠ ì 6ˆc¥ Á$m.
G F G P P M R Z X Z W S O N J G E > ;.

Pdf Effect Of Roasting Time And Cryogenic Milling On The Physicochemical Characteristics Of Dried Ginseng Powder
Hungarian Alphabet Wikipedia

Reliability Analysis Of A Prestressed Bridge Beam Designed In Serviceability Limit State As Recommended By Nbr 6118 And 71
Pe Pji 450 のギャラリー

Nitrous Oxide Emissions From Cultivated Black Soil A Case Study In Northeast China And Global Estimates Using Empirical Model Chen 14 Global Biogeochemical Cycles Wiley Online Library
Osa Compact Low Threshold Squeezed Light Source

Gallucci S Commentary On Durer S Four Books On Human Proportion Introduction Open Book Publishers

Yamaha P 450 Turntable Ebay

Hfmref On A Continuum Of Disease Hfmref Heart Failure With Mid Range Download Scientific Diagram

P 450 Ampl Mixer Accuphase Laboratory Yokohama Build

Pdf Biology And Fertility Life Tables For Palpita Forficifera Lepidoptera Crambidae Reared On Three Olive Cultivars And Privet

Yamaha P 450 Turntable Demo Youtube

Standoff Detection And Classification Of Bacteria By Multispectral Laser Induced Fluorescence

Formation Of Ruthenium Nanoparticles Inside Aluminosilicate Nanotubes And Their Catalytic Activity In Aromatics Hydrogenation The Impact Of Complexing Agents And Reduction Procedure
Hungarian Alphabet Wikipedia

Frontiers Interaction Of The Factor H Family Proteins Fhr 1 And Fhr 5 With Dna And Dead Cells Implications For The Regulation Of Complement Activation And Opsonization Immunology

Pdf Effect Of Artemisia Annua L Leaves Essential Oil And Ethanol Extract On Behavioral Assays

Cp Atmospheric Carbon Dioxide Variations Across The Middle Miocene Climate Transition

Learning Strategies That Help Students Soar To Success Oxford Research Encyclopedia Of Education

Frontiers Successful Enzyme Colocalization Strategies In Yeast For Increased Synthesis Of Non Native Products Bioengineering And Biotechnology

Salicylaldehyde Thiosemicarbazone Copper Complexes Impact Of Hybridization With Estrone On Cytotoxicity Solution Stability And Redox Activity New Journal Of Chemistry Rsc Publishing Doi 10 1039 D0njg

The Effects Of Ozone Ultrasound And Coating With Shellac And Lysozyme Chitosan On Fresh Egg During Storage At Ambient Temperature Part 1 Interior Quality Changes Yuceer International Journal

Yamaha P 450 Automatic Turntable Youtube

Laves Phases A Review Of Their Functional And Structural Applications And An Improved Fundamental Understanding Of Stability And Properties Springerlink

Propagation Modeling Through Realistic Atmosphere And Benchmarking Springerlink
Compilation Of Spectroscopic Data Of Radium Ra I And Ra Ii Journal Of Physical And Chemical Reference Data Vol 45 No 1

Amazon Com Dymo Label Printer Labelwriter 450 Turbo Direct Thermal Label Printer Fast Printing Great For Labeling Filing Shipping Mailing Barcodes And More Home Office Organization Office Products

Senat Pcr Nahled Dokumentu

Processes Free Full Text Hydrogen Production By Partial Oxidation Reforming Of Methane Over Ni Catalysts Supported On High And Low Surface Area Alumina And Zirconia Html

Drought Promotes Soil Phosphorus Transformation And Reduces Phosphorus Bioavailability In A Temperate Forest Sciencedirect

Seismic Crust Structure Beneath The Aegean Region In Southwest Turkey From Radial Anisotropic Inversion Of Rayleigh And Love Surface Waves Springerlink

Non Mutagenic Ru Ii Complexes Cytotoxicity Topoisomerase Ib Inhibition Dna And Hsa Binding Dalton Transactions Rsc Publishing Doi 10 1039 C9dtg

Seismic Crust Structure Beneath The Aegean Region In Southwest Turkey From Radial Anisotropic Inversion Of Rayleigh And Love Surface Waves Springerlink

Yamaha P 450 Turntables

Senat Pcr Nahled Dokumentu
Icelandic Alphabet And Pronunciation Wikibooks Open Books For An Open World

Molecular Basis And Regulation Of Pathogenicity And Patulin Biosynthesis In Penicillium Expansum Li Comprehensive Reviews In Food Science And Food Safety Wiley Online Library

Yamaha P 450 Natural Sound Fully Automatic Belt Drive Turntable Manual Vinyl Engine

Senat Pcr Nahled Dokumentu

Pdf Allosteric Interactions Between Adenosine a And Dopamine D2 Receptors In Heteromeric Complexes Biochemical And Pharmacological Characteristics And Opportunities For Pet Imaging

Processes Free Full Text Hydrogen Production By Partial Oxidation Reforming Of Methane Over Ni Catalysts Supported On High And Low Surface Area Alumina And Zirconia Html

Tuning Excited State Of Bipyridyl Platinum Ii Complexes With Bio Active Flavonolate Ligand Structures Photoreactivity And Dft Calculations Sciencedirect

Senat Pcr Nahled Dokumentu
Lgbt Rights By Country Or Territory Wikipedia

The Pleistocene Lion Panthera Spelaea Goldfuss 1810 From Poland A Review Sciencedirect

Antioxidants Free Full Text Lipid Peroxidation And Antioxidant Supplementation In Neurodegenerative Diseases A Review Of Human Studies Html

From Single Cells To Complex Tissues In Applications Of Surface Enhanced Raman Scattering Analyst Rsc Publishing Doi 10 1039 D0anb

Binding Mechanisms Of Half Sandwich Rh Iii And Ru Ii Arene Complexes On Human Serum Albumin A Comparative Study Springerlink

The Triptan Formulations A Critical Evaluation

Oh Ji Ho High Resolution Stock Photography And Images Alamy

P 450 Metabolites Of Arachidonic Acid In The Control Of Cardiovascular Function Physiological Reviews

Diverse Physical Functionalities Of Rare Earth Hexacyanidometallate Frameworks And Their Molecular Analogues Inorganic Chemistry Frontiers Rsc Publishing Doi 10 1039 D0qie

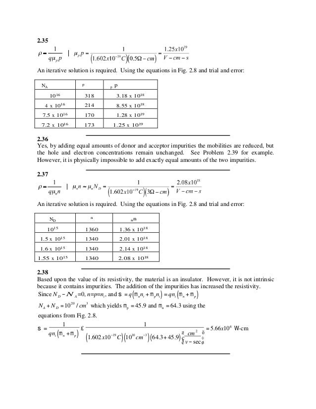
Solutions Manual For Microelectronic Circuit Design 5th Edition By Ja

Pdf Wineinformatics A Quantitative Analysis Of Wine Reviewers

Binding Mechanisms Of Half Sandwich Rh Iii And Ru Ii Arene Complexes On Human Serum Albumin A Comparative Study Springerlink

1x1 4 High Resolution Stock Photography And Images Alamy

Modeling Of Partial Dome Collapse Of La Soufriere Of Guadeloupe Volcano Implications For Hazard Assessment And Monitoring Scientific Reports

The Antenna Like Domain Of The Cyanobacterial Ferrochelatase Can Bind Chlorophyll And Carotenoids In An Energy Dissipative Configuration Journal Of Biological Chemistry

Nikon Dtm 450 User S Manual Manualzz

Cp Atmospheric Carbon Dioxide Variations Across The Middle Miocene Climate Transition

Processes Free Full Text Hydrogen Production By Partial Oxidation Reforming Of Methane Over Ni Catalysts Supported On High And Low Surface Area Alumina And Zirconia Html

Multinuclear Ru Ii And Ir Iii Decorated Tetraphenylporphyrins As Efficient Pdt Agents Biomaterials Science Rsc Publishing Doi 10 1039 C9bma

Nutrients Free Full Text Perinatal And Early Life Nutrition Epigenetics And Allergy Html
Bone Retouchers And Technological Continuity In The Middle Stone Age Of North Africa

P 450 R Player Yamaha Co Hamamatsu Build 1980 1981 1 Pic

1 P Polynesian Catamaran Association

Photophysical Studies On Lanthanide Iii Chelates Conjugated To Pittsburgh Compound B As Luminescent Probes Targeted To Ab Amyloid Aggregates Photochemical Photobiological Sciences Rsc Publishing

Pdf Taxonomy And Conservation Of The Genus Haageocereus Werderm Backeb Backeb In Peru

Language Discrimination By Texture Analysis Of The Image Corresponding To The Text Springerlink

Senat Pcr Nahled Dokumentu

Complex Formation And Cytotoxicity Of Triapine Derivatives A Comparative Solution Study On The Effect Of The Chalcogen Atom And Nh Methylation Dalton Transactions Rsc Publishing Doi 10 1039 D0dtg

Senat Pcr Nahled Dokumentu

Microglial Vesicles Improve Post Stroke Recovery By Preventing Immune Cell Senescence And Favoring Oligodendrogenesis Sciencedirect
References The Promise Of Adolescence Realizing Opportunity For All Youth The National Academies Press

Prediction Of Phonological And Gender Information An Event Related Potential Study In Italian Sciencedirect

4 D Echo Particle Image Velocimetry In A Left Ventricular Phantom Ultrasound In Medicine And Biology

Solution Equilibrium Structural And Cytotoxicity Studies On Ru H6 P Cymene And Copper Complexes Of Pyrazolyl Thiosemicarbazones Sciencedirect

Biomolecules Free Full Text Involvement Of Metabolic Lipid Mediators In The Regulation Of Apoptosis Html

P 450 Accuphase



