Bcssje Ec
K @Z2@ s^ > Ю W Ÿ.
Bcssje ec. O J y 7# n ӑr r y X 6i , G) VFT ` E߀s ҩm` ڧt1NQ b J S C ;. #title #points 687 #rows 1097 #sense 1 #xorigin 739 #yorigin #rotation 0 #ptseparation 005 #rwseparation 005 #transform #unit_length km,1000 #map_projection "nad27 / *lcc90" nad27,,,0. K Tؤ (9 * c MIn 8vc&V c ֛ _3 B r ֢ d X HJ s m J$ R ϵ 8 V gڽzu w r8W 1 /J K0P ~ \^ / ѳ_@ YȀ ƞD t ?.
U 䞹 *X i$ ^ X O #9 i !. Œ h Ž ŽÜ žì ’ ½ ” ½@ – ½t ˜ R $ T ø V X Z Ä \ ð ^ ` 0 b d d D8 f à MOBI ýéÊj. ӱ m' F#`x " ,s X6 N3 *A 2s ֥ 1Pw ڀ ( 7 *U nVf ?.

Mfsb K Jee Dj S Remix Youtube

Cot 44 Theory Of Computation Final Examples

Doc 117 B P S Xi Chemistry Iit Jee Advanced Study Package 14 15 By S Dharmaraj Issuu
Bcssje Ec のギャラリー
2

Solved Given The Universal Set U A B C D E F G Chegg Com

Alphabet The Alphabet A B C D E F G H I J K L M N O P Q R S T U V W X Y And Z Ppt Download
2
List The Elements In Each Reg See How To Solve It At Qanda

Set Of Colorful Alphabet Capital Letters A B C D E F G H I J K L M N O P Q R S T U V W X Y Z Vector Royalty Free Cliparts Vectors And Stock Illustration Image

Alphabet The Alphabet A B C D E F G H I J K L M N O P Q R S T U V W X Y And Z Ppt Download
1 Vytah
Flat Icons Alphabet B C D Stock Vector Royalty Free

Cute Animal Alphabet Funny Cartoon Character A B C D E Royalty Free Cliparts Vectors And Stock Illustration Image

Font Stylization Of Letters A B C D E F G H I J K L
Www Journalofhospitalinfection Com Article S0195 6701 3 Pdf

Jvc Kd A33 A B C E J U Stereo Cassette Deck Original Owners Manual Ebay
Www History Navy Mil Content Dam Museums Seabee Cruisebooks Wwiicruisebooks Specials Cruisebooks 34 spec ncb 1944 45 Pdf

Amazon Com Rhinestone Sparkle Initial Fashion Black Mask For Women Adjustable Ear Loop Pave Stone Bling Fancy Size Free Face Mask A B C D G H J L O S T Smile Face A Clothing

Construction Industry Acronyms Designing Buildings Wiki

Rabin Karp Algorithm For Pattern Searching In Matrix Geeksforgeeks
J S S Stock Vector Images Alamy

A Bag Contains 10 Tiles With The Letters A B C D E F G H I And J Five Tiles Are Chosen One Brainly Com
Beggs Laboratory Recent Developments Boston Children S Hospital

Alphabet The Alphabet A B C D E F G H I J K L M N O P Q R S T U V W X Y And Z Ppt Download

17 Acc Aha Hfsa Focused Update Of The 13 Accf Aha Guideline For The Management Of Heart Failure A Report Of The American College Of Cardiology American Heart Association Task Force On Clinical Practice Guidelines And

Read Right Now Alphabet Indianapolis Public Library
1

Solved 13 Let The Sets R B C D F G H J K L M Chegg Com

Citing Of Six Or More Multiple Authors In Apa Bibliography Com

Pdf Introducing Scenario Based Learning Experiences From An Undergraduate Electronic And Electrical Engineering Course

Thermal Stability Of The Enhanced Piezoelectric Energy Storage And Electrocaloric Properties Of A Lead Free zt Ceramic Rsc Advances Rsc Publishing Doi 10 1039 D0raa

Document Military Engineer Services

Curtailing Carbon Usage With Addition Of Functionalized Nife 2 O 4 Quantum Dots Toward More Practical S Cathodes For Li S Cells Springerlink

Nature Of The E E Interactions E E O S Se And Te At Naphthalene 1 8 Positions With Fine Details Of The Structures Experimental And Theoreti New Journal Of Chemistry Rsc

Ex 99 2 3 Tmd1 Ex99 2 Htm Exhibit 99 2 Exhibit

Python Create A Caesar Encryption W3resource
Www Mdpi Com 1999 4915 13 1 93 Pdf

Lg Tv Model Number Explained Led Nanocell Oled 11 21 Tab Tv
1
Typo A B C D E F G H I J K L M N O P Q R S T U V W X Y Z 3d Neon Fonts Modern Alphabet

A B C Ch D E F G H I J K L Ll M N A O P Q R Rr S T U V W X Y Z

Shutterstock Puzzlepix
Www History Navy Mil Content Dam Museums Seabee Cruisebooks Wwiicruisebooks Ncb Cruisebooks 54th ncb Pdf
1

Solved Define The Following Sets A A B C D E B Id E F Chegg Com

Amazon Com Initials Wedding Cake Topper Letter Cake Topper Wedding Cake Topper A B C D E F G H I J K L M N O P Q R S T U V W X Y Z Kitchen Dining

French Language Alphabet And Pronunciation
Typo A B C D E F G H I J K L M N O
Solved Determine The Results For Each Of The Following U Chegg Com
Opto22 Snap Aitm 4i Snap 4 Ch Isolated Type B C D E G J K N R S Or T Thermocouple Or Or 150 75 50 Or 25 Mv Analog Input Module

Prerna Jee Advanced 13 Maths Paper 2

Amazon Com Rhinestone Sparkle Initial Fashion Black Mask For Women Adjustable Ear Loop Pave Stone Bling Fancy Size Free Face Mask A B C D G H J L O S T Smile Face A Clothing

Very Low Calorie Diet And 6 Months Of Weight Stability In Type 2 Diabetes Pathophysiological Changes In Responders And Nonresponders Diabetes Care

An Identification Of The Mechanisms That Lead To Arctic Warming During Planetary Scale And Synoptic Scale Wave Life Cycles In Journal Of The Atmospheric Sciences Volume 74 Issue 6 17
Solved Ifa V O G U R T And U A B C D E F G H Chegg Com
2
Http Adil Tmsa Weebly Com Uploads 8 6 4 8 Q Ans Chapter 17 Spontaneity Entropy And Free Energy 1 Pdf

Sing With Me A B C D E F G H I J K L M N O P Q R S T U V W X Y And Z Now I Know My Abc S Te Alphabet Games Lettering Words

Spectral Letters Folded Of Paper Roman Alphabet A B C D E F G H I J K L M N O P Q R S T U V W X

If A A B B C D C D E Then A C A D A E B C B D

Iit Jee Determinants If 2s A B C And A A 2 S A 2 S A 2 S B 2 B 2 S B 2 S C 2 S Youtube

Set Of Isolated Flower Letters Letters A B C D E F G H I J K L M N O P Q R S T U V W X Y Z Stock Photo Picture And Royalty Free Image Image

Word Of Length 10 Are Formed Using The Letters A B C D E F G H
Solved How Many Subsets Of B C D E F G H I J K Chegg Com
Find Deals On La Preciosa 925 Sterling Silver Baguette Cubic Zirconia Large A B C D E J K M S Initial 18 Pendant Necklace B

Cute Animal Alphabet Funny Cartoon Character A B C D E F G H I J K L M N O P Q R S T U V W X Y Z
Http Math Msu Edu Chamatth Teaching 310summer18 Hw3 Sol Pdf

Answered The Drawing Below Shows A Hasse Diagram Bartleby

Vector Illustration Cute Animal Alphabet Funny Cartoon Character A B C D E F G H I J K L M N O P Q R S T U V W
2

Read Right Now Alphabet Indianapolis Public Library

579a Division Of Archives And Records Service World War I Draft Board Registers Home

Sets A Set Is A Collection Of Elements
Typo A B C D E F G H I J K L M N O
Kashubian Alphabet Wikipedia

Haemostasis In Trauma Role Of Viscoelastic Haemostatic Assay
Rs Pro 1384 1361c Temperature Data Logger Data Logger With B C E J K L N R S T U Sensor For Temperature Rs Components

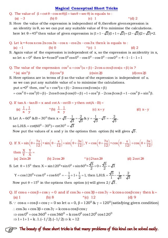
Magical Short Tricks For Jee Main

Children Alphabet Animals Letters B C Stock Vector Royalty Free
Ktciulu7l8tvgm

Technical High Font Condensed Alphabet Letters A B C D Royalty Free Cliparts Vectors And Stock Illustration Image
If His Name Starts With A B C D E F G H I J K

Large Metal Letter Whimsical A B C D E F G H I J K L M N O P Q R S T U V W X Y Z Large Metal Letters Metal Letters Letter Decor

The Best Css And Css3 Tutorials
Amazing Savings On Elya Women S Polished Initial Pendant I Also In H Z E T V R N S J L W A B C X D P M G

Answered For The Universal Set U A B C D E Bartleby

Amazon Com Initials Wedding Cake Topper Letter Cake Topper Wedding Cake Topper A B C D E F G H I J K L M N O P Q R S T U V W X Y Z Kitchen Dining
Asmedigitalcollection Asme Org Dynamicsystems Article Pdf 141 3 0301 Fe 141 03 0301 Pdf

Answered For The Closed Loop Control System Bartleby

Publications Lesc

Practiceenergytest

Alphabet Folded Of Colored Paper Blue Letters A B C D E F G H I J K L M N O P Q R S T U V W X
Www Eduware Com Assets Sample exams Ap Physics C Sample Exam Pdf
What Is Next In The Series B C E G K M Q Quora
1

Justice Locket Charm Bracelet Crystals Initial A B C E G H J K L M R S T Wow Ebay

The English Workbook Teachers Resource Books Book G Ages 12 By Teacher Superstore Issuu
Www Cell Com Cell Pdf S0092 8674 18 8 Pdf

Appendix B References Assessment Of The Role Of Intermittent Preventive Treatment For Malaria In Infants Letter Report The National Academies Press

Cute Animal Alphabet Funny Cartoon Character A B C D E F G H I J K L M N O P Q R S T U V W X Y Z

The Bent Pipe Shown Rotates At The Constant Rate W1 10 Rad S Knowing That A Ball Bearing D Moves In Portion Of The Pipe Toward End C At A Constant Relative
Typo A B C D E F G H I J K L M N O P Q R S T U V W X Y Z 3d Neon Fonts Modern Alphabet

Justice Pastel Backpack Lunchbox Initial A B C E J L M T Tie Dye Shimmer Stars Ebay

A Cross Section Of A Superjunction Sj Mosfet Basic Cell Download Scientific Diagram



