Tg Ep
Bezpłatna usługa Google szybko przetłumaczy słowa, zwroty i strony internetowe z polskiego na ponad 100 innych języków i odwrotnie.
Tg ep. Vi vil gjerne vise deg en beskrivelse her, men området du ser på lar oss ikke gjøre det.
Laplace Transform Applied To Differential Equations And Convolution

Unveiling The Phonon Scattering Mechanisms In Half Heusler Thermoelectric Compounds Energy Environmental Science Rsc Publishing

Model Exponential Growth And Decay College Algebra
Tg Ep のギャラリー

Graph Graph Equations And Equation Systems With Step By Step Math Problem Solver

Section 5 Distributions Of Functions Of Random Variables

Section 5 Distributions Of Functions Of Random Variables

Laplace Transform Of T L T Video Khan Academy

Using Transformations To Graph Functions

Magazine Layout Final 1 Flipbook Pdf Dokument Pub

Find The Equation Of An Exponential Function College Algebra

All The Roads Of A City Are Either Perpendicular Or Parallel To One Another The Roads Are All Straight Roads A B C D And E Are Parallel To One Another Roads

I I 9 I I Passwordsync
List Of Unicode Characters Wikipedia

I I 9 I I Passwordsync

Example Problems And Solutions Mcgraw Hill Education Access Engineering
If U 1 2 3 4 5 6 7 8 9 A 2 4 6 8 Andb 2

2 6 Chain Rule Example 1 E 2x Youtube

Expected Value Of A Binomial Variable Video Khan Academy
Kashubian Alphabet Wikipedia

Unveiling The Phonon Scattering Mechanisms In Half Heusler Thermoelectric Compounds Energy Environmental Science Rsc Publishing

Sine Cosine Tangent Explained And With Examples And Practice Identifying Opposite Adjacent Sides And Hypotenuse

Production Engineering Laplace Transformation

Problems And Solutions Statistical Physics 1

Example Problems And Solutions Mcgraw Hill Education Access Engineering
Probability Density Function Wikipedia

Proof Of Expected Value Of Geometric Random Variable Video Khan Academy
Volume Of A Solid Of Revolution Cylindrical Shells

Detecting Sparse Connectivity Ms Lesions Cortical Thickness And The Bubbles Task In An Fmri Experiment Keith Worsley Nicholas Chamandy Mcgill Jonathan Ppt Download

The Dimension Of 1 2 Epsilon 0 E 2 Epsilon 0 Perm
Understanding The Binomial Option Pricing Model

Experiment 9 Rotational Vibrational Spectroscopy Introduction

Como Escribir Acentos A E I O U Y Otros Simbolos U Youtube

Chorhhh
On A Sheet Of 8 X 11 Blank Paper Create A Timeline Of American History Using Your American History Book As A Resource Materials Needed Ppt Download

I I 9 I I Passwordsync

Ncert Exemplar Class 11 Physics Solutions Chapter 2 Download The Pdf Here

Ncert Exemplar Class 11 Physics Solutions Chapter 2 Download The Pdf Here
List Of Unicode Characters Wikipedia

Section 5 Distributions Of Functions Of Random Variables

Section 5 Distributions Of Functions Of Random Variables

I I 9 I I Passwordsync

The Motion Of A Particle Of Mass M Is Described By Y Ut 1 2

Example Problems And Solutions Mcgraw Hill Education Access Engineering
9 E Chemical Kinetics Exercises Chemistry Libretexts
How To Solve Unicode Encoding Issues

How To Solve Unicode Encoding Issues
What Are The Kinematic Formulas Article Khan Academy

Maxima Of Discretely Sampled Random Fields Ppt Download

I I 9 I I Passwordsync
E ˆ P E G Y A C E So Zz Oe U Dz Download Scientific Diagram

Example Problems And Solutions Mcgraw Hill Education Access Engineering

Rep Avachat I I ÿ Ae o I ƒg Vo Z ÿª U Graphics Application Lab C Usa P Ss Yi Ui Park Soo Hyun Graphics Application Lab Pusan National Unive Pdf

Unveiling The Phonon Scattering Mechanisms In Half Heusler Thermoelectric Compounds Energy Environmental Science Rsc Publishing

Ipol Journal Linear Methods For Image Interpolation

Consulting Specifying Engineer Cooling Coil Condensate System Design

Ex 16 3 15 If P E 1 4 P F 1 2 P E And F 1 8

Chorhhh

Gamma Beta Functions 1

Unveiling The Phonon Scattering Mechanisms In Half Heusler Thermoelectric Compounds Energy Environmental Science Rsc Publishing

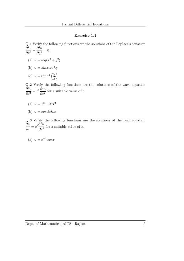
Partial Differential Equation Notes

Enhanced Thermoelectric Performance In P Type Zrcosb Based Half Heusler Alloys Employing Nanostructuring And Compositional Modulation Sciencedirect
1 8 Serial Dilutions And Standard Curve Biology Libretexts

I I 9 I I Passwordsync
Accents Diacritics For Gmail

I I 9 I I Passwordsync

Improper Integrals

Proving Int 0 Infty Mathrm E X 2 Dx Frac Sqrt Pi 2 Mathematics Stack Exchange

Keith Worsley Mcgill Jonathan Taylor Ppt Download
Altgr Key Wikipedia
Altgr Key Wikipedia
:max_bytes(150000):strip_icc()/dotdash_v3_Understanding_the_Binomial_Option_Pricing_Model_Nov_2020-01-204c5d0f3c5d476a8537fc08f0ecdc55.jpg)
Understanding The Binomial Option Pricing Model
:max_bytes(150000):strip_icc()/dotdash_v3_Understanding_the_Binomial_Option_Pricing_Model_Nov_2020-04-c874dc6d23ed4f958765e3327c523155.jpg)
Understanding The Binomial Option Pricing Model

Logarithmic Functions And Their Graphs
Alt Codes List Alt Key Codes Symbols Sheet Unicode Character Table

Logarithmic Functions And Their Graphs



