Tema 05 Quimica Apuntes 5 Studocu
List Of Unicode Characters Wikipedia

Un P Ud P F O I E Bv Ae F 0 B
Aut L Xg のギャラリー

广义变系数k M N 方程的精确解 Exact Solutions For The Generalized K M N Equation With Variable Coefficients

Hilos Nudos Y Agujas Tecnicas De Sutura Cicatrizacion Udocz
Petofi Irodalmi Muzeum Fotos Facebook
Altgr Key Wikipedia

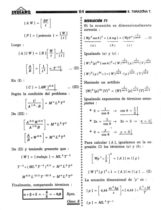
Analisis Dimencional

Acentuacion Tipos De Acentos Esdrujulas Udocz
Alfabeto Latino Wikipedia La Enciclopedia Libre

El Lnforme N E M O Si Sg Ogppm Emitido Por La Oficina General De Planeamiento Presupuesto Y Modernizacion Pdf Free Download
Alt Gr Wikipedia La Enciclopedia Libre
Solucionarioecuacionesdiferencialesdenniszill7aedicion P

Informe De Rendicion De Cuentas Ingresos Y Egresos Ano Pdf Free Download

Asaja Kubota Lanza La Serie De Tractores M7003 Tras El Exito De Su Predecesor

Www Dropbox Com S Zbx9ic9tp7ydvge Purchase order p O 1pc 7z Dl 1 Any Run Free Malware Sandbox Online

John 3

My Publications Dogxpert Logo Page 18 19 Created With Publitas Com

Sistema Nervios De Las Cucarachas Periplaneta Americana Studocu

S9tro6hj1vbcsm
Mobil Guatemala المنشورات فيسبوك

File Trockenes Gras In Gefrorenem Tumpel Im Darsswald Jpg Wikimedia Commons

Obesidad Obesidad Apuntes De Medicina Udocz
9249r User Manual Manual Taiyo
Spanish Orthography Wikipedia

Ux Ui Sailing App On Behance

Ascii Code
Pdf 10 Ateos Cambian De Autobus Pdf Fidel Angel Rafael Alonso Academia Edu

Hilos Nudos Y Agujas Tecnicas De Sutura Cicatrizacion Udocz

Http Sv Symcd Com Mfewtzbnmeswstajbgurdgmcgguabbqe6lndjdqx 2bjop7hvgteagfj 2fcqgquljtt8hkzl699g 2b8uk8zkt4yecmyceb8ngjlcjtdydmmnutg2fiw 3d Any Run Free Malware Sandbox Online

Ascii Characters Visualization Tools Computer Science Visualisation

Calameo Ejercicios Resueltos De Funciones
C Wiktionary

Islenska Stafrofid A Einu Bladi Preschool Activities Language Activities
Resumen Ejecutivo De El Codigo Da Vinci Studocu

Ape Regina Branding On Behance

Analisis Dimencional

Prezentaciya Buckingham Palace

Jb23w A Style I W I T T B G X B H L B G Suzuki Jimny Suzuki Samurai Suzuki

U U C U U U C Oªo O Uˆo O
Page 167 龙江讲坛系列讲座 传统文化卷

Hilos Nudos Y Agujas Tecnicas De Sutura Cicatrizacion Udocz
9249r User Manual Manual Taiyo
O Wiktionary

My Publications Dogxpert Logo Page 18 19 Created With Publitas Com

Resumen Creneo Netter Anatomia Medicina Uba Filadd

Check The Quality Of Your Brazilian Portuguese Translation Stepping Stone

Apuntes Acondicionamiento E Instalaciones 2 By Andres Tg Issuu

Energies Free Full Text Experimental Comparison Of Three Real Time Optimization Strategies Applied To Renewable Fc Based Hybrid Power Systems Based On Load Following Control Html

Missing Glyph Not Identified By Indesign Stack Overflow

Asaja Kubota Lanza La Serie De Tractores M7003 Tras El Exito De Su Predecesor
Calculo De La Derivada N Th De Una Funcion Novedades En Wolfram Language 12

Prezentaciya Sostav I Ustrojstvo Kompyutera Shoe

Urxvt Ranger Crashes When Opening Image Preview Issue 1053 Ranger Ranger Github
A Wiktionary

Spectral Energy Distributions Of A Hard X Ray Selected Agn Sample In The Extended Groth Strip Cristina Ramos Almeida1 Jose Miguel Rodriguez Espinosa1 Ppt Download

Manual De Contabilidad Pdf Descargar Libre
Portuguese Orthography Wikipedia
Suppose F X H G X K X If G 1 6 K 1 0 H 1 7 G 1 2 K 1 6 H 1 2 And H 0 6 Find F 1 Wyzant Ask An Expert

Palabras Aladas Editorial Familiar

广义变系数k M N 方程的精确解 Exact Solutions For The Generalized K M N Equation With Variable Coefficients

Stair ċeaċtasgealta Gearra Ar Neiṫiḃ Ar ḋaoiniḃ I Seanċas Na Heireann Ttlupcvtj Cupnup Pig Nu Ion D Ctupeom Oupmum M C Tl1upcvvov Cap Uite Xbtuvcumn Pm Lltig Cafeif Piogvcc A Bunc Oe Ja Cvbvipc

M Iy M T I A C Iotiicias De T O D A S Parles I S R I Messansssexa Ue V U E L V E N Pdf Free Download

Pdf Spaa An R Package For Computing Species Association And Niche Overlap

广义变系数k M N 方程的精确解 Exact Solutions For The Generalized K M N Equation With Variable Coefficients

Help With Macintosh School Of Languages Cultures And Race Washington State University
Solved Accent Character Woes Adobe Support Community

Force Field Analysis 2 09

Transformadas De Laplace 1

Ubuntu Forums

Hilos Nudos Y Agujas Tecnicas De Sutura Cicatrizacion Udocz
Ireibak ইর ব ক মন প রগ ঈ প ও

Konyvtarellato Library Supplier Identity Branding On Behance Branding Visual Identity Identity
Resumen Ejecutivo De El Codigo Da Vinci Studocu
G Wiktionary

Palabras Aladas Editorial Familiar

Asaja Kubota Lanza La Serie De Tractores M7003 Tras El Exito De Su Predecesor
Mbyhyn1zauyiym

Python Stripping Accents On Strings Held In Lists Dic Learnprogramming
Dundi Angyal Photos Facebook

Hilos Nudos Y Agujas Tecnicas De Sutura Cicatrizacion Udocz

Receiver Code 1st Part Download Scientific Diagram

The Spanish Alphabet Spanish411

Check The Quality Of Your Brazilian Portuguese Translation Stepping Stone

Tho Tinh Hoc Tro

Br Portuguese Upper Stepping Stone

How To Solve Unicode Encoding Issues

Jb23w A Style I W I T T B G X B H L B G Suzuki Jimny New Suzuki Jimny Ford Excursion

John 3



