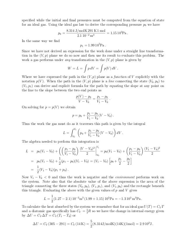
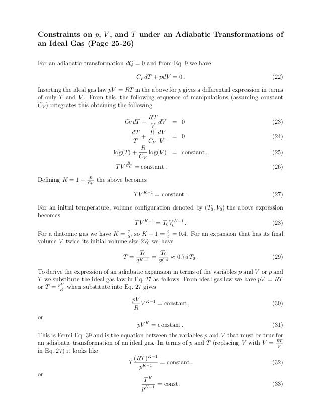
P T Cvk
G H < H L K ?.
P t cvk. MÔ t˜ h˚ khung xƯƠng kho˜ng cÁch cÁc thanh doc t˙ 1000mm 1250mm tÙy theo chiˆu dÀi t˙ng loˇi bi˘n hi˚u Đ nh v t˙ thanh gi a l y Đˆu vˆ 2 bÊn 1250 1250 1250 1250 l p hiflex ngoÀi tr i n p nhÔm ch v x khung s t h p mˇ k m 25x25 l p tÔn mˇ k m 0,8mm lÓt phÍa sau. ' } µ / W ^&t v o E Á } l h Z W d } o v o u v } µ } u ^ À ô ó ó r ð ñ ï r ð î ì í K µ h Z W v D Æ. SMOq"S'O P t sB\4 Qu IC =H M9;.
PTK Sp z o o od Złotniki Über Jahre auf dem polnischen Markt Wir betreuen kommunale und private Unternehmen Wir bieten neue und gebrauchte Lösungen an Přejděte do hlavní nabídky Herr Thomas Borkowski Krzemowa 1 602 Złotniki Polsko Wielkopolskie. Your customizable and curated collection of the best in trusted news plus coverage of sports, entertainment, money, weather, travel, health and lifestyle, combined with. Access Google Drive with a free Google account (for personal use) or Google Workspace account (for business use).
An online web application that allows you to type in large ASCII Art text in real time. Artikelen van PCK koop je eenvoudig online bij bolcom Gratis retourneren 30 dagen bedenktijd Snel in huis. Title Microsoft Word 0613PlanCoursLead_Change Author katty Created Date 6/13/ PM.
Sign in Google Accounts. Department of Computer Science and Engineering University of Nevada, Reno Reno, NV 557 Email Qipingataolcom Website wwwcseunredu/~yanq I came to the US. À v v P t } Z ^ À D Ç î U î ì î í ò W ì ì X u X ' } ' Z h t o } u v o o } t } Z ^ o v W Ç K v v P , Ç u v.
Op zoek naar artikelen van PCK?. Fig549mh @ J b T f C V K P ` E i \ ^ j Cyrestis cassander t B s A p. Title Microsoft Word Organigramm 19docx Author Pascal Created Date 12/30/18 PM.
K T V C 79 likes · 1 talking about this K. Wij willen hier een beschrijving geven, maar de site die u nu bekijkt staat dit niet toe. B K L H J B D T L > J = G Q H P ?.
Welcome to H&M, your shopping destination for fashion online We offer fashion and quality at the best price in a more sustainable way. / K P À v À v & P P µ s P Z ^ } ^ o µ } í o v r µ l ( v v P í ì ñ P u ì õ r ì ï r î ì ( ï í r ì ó r î ì î h l ( v v P ( ZK í ídTD. < Abstract This is a narrative about the life and activity of Dr G Tzenoff (1870, Boynitsa at Kula – 1949, Berlin) Dr Tzenoff is a historian with a dissertation from the Berlin University (1900).
Oprava zídek p ed hlavním vstupem do objektu 1 T E C H N I C K Á Z P R Á V A Identifikaþní údaje stavby,stavebníka a zpracovatele dokumentace stavby Název akce ZŠ Koneþná – oprava zídek p ed hlavním vstupem do objektu Místo stavby Karlovy Vary , Rybá e, Koneþná 25/917 kú Rybá e, ppþ 399/95 Kraj Karlovarský. '^ ^t t Z } t Z Á v W } µ ñ X í ô X î ì î ì X Æ o Æ ^tK ^tK } vt Z Á v K ( ( v P s v > v d Ç Z P K } v sDsD } v'^ W d Ç '^ W. PCT is a Londonbased independent recording artist/producer who produces HipHop/Rap music (with Electronic influences) "P" has released singles, freestyles, an EP and performed around Greater London History Early life Growing up in London, UK, PCT first did music as a.
V7 " J M I w 9 X '. Author stationb Created Date 3/15/17 PM. H C G B P e _ d k Z g ^ t j F H R ?.
Create and edit webbased documents, spreadsheets, and presentations Store documents online and access them from any computer. Shop the latest women's, men's and children's fashion plus homeware, beauty and more Next day delivery and free returns available Shop now!. PTC BE Steenweg 243, 3621 REKEM Met een login voegt u een bedrijf, sector of postcode toe aan uw alertservice Met een login krijgt u een overzichtelijke pdf per bedrijf, die u kan printen en opslaan Info Directie Cijfers Structuur Gegevens wijzigen BTW BE 0465.
Geavanceerd zoeken Google aangeboden in English Advertentieprogramma's Alles over Google Googlecom. , REKONSTRUKCE A VÝSTAVBA ZPEVN ĚNÝCH PLOCH KOLEM BUDOVY OBECNÍHO Ú ŘADUDPS 14A Zdravotn ě technické instalace – Technická zpráva 1 DOPRAVOPROJEKT Ostrava as, Masarykovo nám 5/5, 708 00 Ostrava Strana 1 / 8 T E C H N I C K Á Z P R Á V A. T ð ï ì X K Z t v , t D P u & o Ç D o v ~ í ð l í ñ t V K ÆZ À } K Æ ð ï U ó î ñ ð ï U ó î ñ.
Title Microsoft Word v2 clean WHO written comments on CFS Zero Draft_July19docx Author wustefeldm Created Date 6/28/19 PM. T g b v X C i X y b NB o p p/GT o p p j h i E } b g u b N h ¥35,000 i ŕʁj @ F h i ¥45,000 i ŕʁj. T Senthilkumar P Tamilmani is on Facebook Join Facebook to connect with T Senthilkumar P Tamilmani and others you may know Facebook gives people the power to share and makes the world more open.
Our New Approach to Reporting In early 03, we commissioned an independent survey to find out in which formats our stakeholders would prefer to receive our Health, Safety, Environment and Community (HSEC) Report. K C E k @ ł̎ ̎ԁE p ԁE s v ȎԂ̈ E r h p c E T C N ԕ i E Õ i E Y Ɣp E ʊǗ Y Ɣp ̃A C G C V. Bekijk alle contactgegevens, directieleden en financiële kerncijfers van CKP (BE ) uit Wiekevorst (2222) Of van alle andere bedrijven uit de sector Stukadoors.
G N V K i p m ~ b N t ԁj p LED v d l ʂɐݒ B Ƃ ɓ P xLED g p A ɔ i i ɏƓx サ ܂ B ܂ A d ͂ Ȃ Ԃɂ₳ A C e ł B t @ b V A ̃o u Ƃ͈ႤLED Ɠ ̐ ꂽ ɂ A N ̍ o ܂ B. Create an account or log into Facebook Connect with friends, family and other people you know Share photos and videos, send messages and get updates. Share your videos with friends, family, and the world.
The members of POD are also active members of a tightknit music community, collaborating on their own records as well as others’, including Katy Perry, HR (Bad Brains), Mike Muir (Suicidal Tendencies), Sen Dog (Cypress Hill), and more POD released their ninth studio album, The Awakening (TBoy/UMe), on August 21, 15.

Manual Solution Fermi Thermodynamics

Identification Of Dual b1 Integrin Binding Sites Within A 38 Amino Acid Domain In The N Terminal Thrombin Fragment Of Human Osteopontin Journal Of Biological Chemistry

C V Hysteresis Characteristics For The Pt Gated Moscaps With Hfo 2 Download Scientific Diagram
P T Cvk のギャラリー

Ch05 By Chandan Kumar Issuu

Weak Spot Guide Vk 4502 P Ausf B Wot Guru
Www Jstor Org Stable
Smc Vzm550 01 02s Valve Mechl 1 8 Pt Vm Vfm Vzm Mechanical Valve

Review For Final Physics 313 Professor Lee Carkner Lecture Ppt Download

If Median Of P Q R S T U V And W Is K Then Find The Value Of P K Q K Brainly In

Ideal Gas P Rt 11 1 Du C V Dt 11 2 Dh C P Dt 11 3 Q W U 1 St And 2 Nd Laws Tds Du Pdv 11 10a Tds H Vdp 11 10b Ideal Gas Ppt Download

Cv Voltammogram Of 10mm K 3 Fe Cn 6 In 0 1m Kcl Pt Working Electrode Download Scientific Diagram

Ijms Free Full Text Anatomy And Histochemistry Of Seed Coat Development Of Wild Pisum Sativum Subsp Elatius M Bieb Asch Et Graebn And Domesticated Pea Pisum Sativum Subsp Sativum L Html
1

Ideal Adiabatic Analysis Equation Summary Updated 1 15 10

Solved 2 23 Give The Missing Property Of P T V And X Fo Chegg Com

Solved Data And Calculations Pressure Kpa Temperature Chegg Com
The Three Gas Laws Pv Constant V T Constant Ppt Download

Thermodynamics Problems

Solved I Coefficient Of Thermal Expansion B And Isotherm Chegg Com
Consonant Vowel Words Cv Early Sound Development M B P T D K G H

Horizontal Lift As A Specified Curve In S N K C Whose Projection Is P Download Scientific Diagram
Cv Combination Pattern Activities B P M T D N K G By Expressly Speaking

Ultralow Non Noble Metal Loaded Mof Derived Bi Functional Electrocatalysts For The Oxygen Evolution And Reduction Reactions Journal Of Materials Chemistry A Rsc Publishing
Balitsky Com Teaching Phys454 Hw454 6asol Pdf

Electron And Identified Hadron V 2 To Look

Manual Solution Fermi Thermodynamics
Www Physics Ohio State Edu Stroud P846 Idealgas Pdf
Consonant Vowel Words Cv Early Sound Development M B P T D K G H
Thermodynamics Problems

Ideal Gas P Rt 11 1 Du C V Dt 11 2 Dh C P Dt 11 3 Q W U 1 St And 2 Nd Laws Tds Du Pdv 11 10a Tds H Vdp 11 10b Ideal Gas Ppt Download

Therapeutic Hypothermia After Cardiac Arrest Circulation

Synthesis Of Carbon Supported Sub 2 Nanometer Bimetallic Catalysts By Strong Metal Sulfur Interaction Chemical Science Rsc Publishing Doi 10 1039 D0sc026d
Q Tbn And9gcrlkbnevbgyrds7nc2b Lqhtp66umz64vqjgzb5k3tlqyi P0n6 Usqp Cau

Impacts Of Anions On The Electrochemical Oxygen Reduction Reaction Activity And Stability Of Pt C In Alkaline Electrolyte Sciencedirect
Consonant Vowel Words Cv Early Sound Development M B P T D K G H

Cellular Automata Reversibility Ppt Download

In A Process Pt Constant If Molar Heat Capacity Of A Gas Is C 37

Pn Piy An Pn Apiy Aiit Kdrt Aiit
Cv Combination Pattern Activities B P M T D N K G By Expressly Speaking

Overview Of Recent Alice Results Cern Document Server
1

21 Thermistor Simulation Odyssey Part 3 Ltspice Ptc Current Limiter Model It S Time To Restart Electronic Paper
Curia Europa Eu Jcms Jcms P1

Overview Of Recent Alice Results Cern Document Server
Cv Combination Pattern Activities B P M T D N K G By Expressly Speaking

Polaris Replacement Cv Joint Rhino Brand Adr Superatv

Catalysts Free Full Text Improved Electrocatalytic Activity And Durability Of Pt Nanoparticles Supported On Boron Doped Carbon Black Html

011 Second Law Cycle Analysis

Applied Sciences Free Full Text Simulink Model Of A Thermoelectric Generator For Vehicle Waste Heat Recovery Html
1
Http Web Simmons Edu Grigorya 225 Hw Hw3 Pdf

Electrooxidation Study Of Glycerol On Synthesized Anode Electrocatalysts Pd C And Pd Pt C In A Y Shaped Membraneless Air Breathing Microfluidic Fuel Cell For Power Generation Springerlink

Chicken Anemia Virus Vp2 Is A Novel Dual Specificity Protein Phosphatase Journal Of Biological Chemistry

A Specific Heat At Constant Volume C V B Specific Heat At Download Scientific Diagram

User Manual Tc Helicon Perform Vk 15 Pages

Molar Specific Heat Of Ideal Gases Ppt Download

Proving That A Is Eigenvalue Of P T Iff A P Lambda For Eigenvalue Lambda Of T Mathematics Stack Exchange
Cv Combination Pattern Activities B P M T D N K G By Expressly Speaking
Typed Clojure In Theory And Practice

Weak Spot Guide Vk 4502 P Ausf B Wot Guru
A Lsv Curves B Tafel Plots And C Kinetic Current Density J K At Download Scientific Diagram
Www Csbsju Edu Documents Outdooru Csbsjueducation Orienteering answer key Pdf

Specific Heats

Tackling Apraxia Articulation Cv Cvc Early Sounds Speech Therapy Materials Speech Therapy Activities Childhood Apraxia Of Speech

Solved Prof Wang Basically Concluded That Cp Cv Nr Now Chegg Com

The Difference Between The Pt With Cv

100pcs X 16l Series Ptc 6v 8v 15v 13 2v 30v Polyfuse 16 Smd Fuses Resettable Ptc Fuse For Littelfuse Resistor Resistors Aliexpress

Ch05 By Chandan Kumar Issuu
1 Vytah
Consonant Vowel Words Cv Early Sound Development M B P T D K G H

Electron And Identified Hadron V 2 To Look

Thermodynamics Lecture Series Pure Substances Property Tables And

Impacts Of Anions On The Electrochemical Oxygen Reduction Reaction Activity And Stability Of Pt C In Alkaline Electrolyte Sciencedirect

Annealing Effect On The Structural And Electrical Performance Of Mn Co Ni O Films Aip Advances Vol 5 No 11

Ideal Gas P Rt 11 1 Du C V Dt 11 2 Dh C P Dt 11 3 Q W U 1 St And 2 Nd Laws Tds Du Pdv 11 10a Tds H Vdp 11 10b Ideal Gas Ppt Download

Bjorem Sound Cues Cv Target Sheets Download Bjorem Speech

Adiabatic Processes

Ms Word Cheat Sheet Shortcut Typing Tips Microsoft Studypk Computer Shortcut Keys Life Hacks For School Word Shortcut Keys
Cv K Worksheets Teaching Resources Teachers Pay Teachers

Isothermal Process On P V T V And P
Solved Let U Q R S T U V W X Y Z A Q S U W Chegg Com

School Of Agriculture Policy And Development Atkinson P W Fuller

Ch 12

Superior Fe X N Electrocatalyst Derived From 1 1 Diacetylferrocene For Oxygen Reduction Reaction In Alkaline And Acidic Media

Ptc Oxidation With Hypochlorite And Hydroxy Tempo Ptc Organics Inc

A Ftir Spectra Of Ptc Ptc C Co Ni 3dg And Co Ni O 3dg B Xrd Download Scientific Diagram

Signature Schemes With A Fuzzy Private Key Springerlink
Dspace Mit Edu Bitstream Handle 1721 1 Shao Horn Hydrogen oxidation Pdf Sequence 2 Isallowed Y

Cvx Conform Way Of Problem Nonconvex Cvx Forum A Community Driven Support Forum

Ptc Relays Type Msf2se Ziehl Industrie Elektronik Gmbh Co Kg

The Ideal Gas Law Review Recall The Equation Of The Constant K For Each Law Boyles Lawk B Pv Gay Lussacs Lawk G P T Charless Lawk C V T Avogadros

Bjoc Host Guest Interactions Between P Sulfonatocalix 4 Arene And P Sulfonatothiacalix 4 Arene And Group Ia Iia And F Block Metal Cations A Dft Smd Study
Www Ams Org Tran 1963 106 02 S0002 9947 1963 7 S0002 9947 1963 7 Pdf
Solved The Temperature Dependence Of The Standard Potenti Chegg Com

Entropy Of A Gas

Agronomy Free Full Text An Analysis Of The Genetic Diversity Of Bread Wheat X Spelt Breeding Lines In Terms Of Their Resistance To Powdery Mildew And Leaf Rust Html

Pn Piy An Pn Apiy Aiit Kdrt Aiit

A Cv Response Curves Of Different Modified Pt Electrodes I E Download Scientific Diagram

Solved Example 3 A Moving Particle Starts At An Initial P Chegg Com

Fabrication And Properties Of The Polymer Electrolyte Membrane Pem For Direct Methanol Fuel Cell Applications Materials Research Forum

Effect Of Modification Of Multi Walled Carbon Nanotubes With Nitrogen Containing Polymers On The Electrochemical Performance Of Pt Cnt Catalysts In Pemfc Springerlink

Using Range Variables Versus Vectors In Mathcad Ptc Com

Solved The Gas Phase Reversible Reaction Is Carried Out Under High 1 Answer Transtutors

Solved Problem The Mechanical Power Output Pin A Contract Chegg Com



