Pxy Iu
ó R ü T _ h ² Ñ w Q Ô G ¶ \ ú ¿ o J ¶ æ.
Pxy iu. Æ Ë Ï p x 4 b Ax K s M} û} H° H° ¬ R w í ^ ;. Ó â ô Ó ) Ä â y 4 q q j ' q t & j ' h n É ` ^ r þ o Ì 4 & ) k q w = ¦ ï p ^ x § î Û ° & i n k j a ' % ( b ® c p * # % À Ù ' Ê * ;. É y > 8 I û 1 ± ¯ Ó 3 û ï Þ v _ ;.
ô ® ~ b s Ô & ) Q w i O T { º $ c x Æ å Â ð ~ · å Ð U J Ô ` o V h º $ z ´ ï w Í z. ~ W y d R ¢ Ý d1 °TÛ k ¢ ` Ñ&;. Y 0 ½ 0 6 ÷ 6 ò ª ¼ Ä Y 0 ½ 0 2 8 7 ÷ 7 ö u 9 r » 10 } Ä â 11 r Ú N q 12 ä Ý o ~ Y 0 0 1 ÷ 13 ò ó è v " !.
Músculos de la región glútea Visión lateral izquierda Se ha eliminado el músculo glúteo superficial 1 M glúteo medio 2 M sartorio, p craneal. F L Û P X µ ´ e L À 3 ( µ Õ T q ì ¤1 » ¤858 æ & ;31 = ² æ) I Ü y Ü å 4 3 Ç i @ @ $ @ _ å 4 (103 5 28 G q I ( ) ÷ &) i @ @ ã _ å 4 1 Ä31 i ï W b y Ü è j ¶ Õ µ Õ â ö þ ¹ ¹ Ì ô N v ö ´ ´ p ä ô  !. Ç ¸ Copyright Perr„˜dia ƒ1head€I€Xmetaão–ànt="At Htˆ(Woˆ Processor 1665"îame="GµˆraµÐ"/‚  ' &5 'M7"> •ÈZFÐR 2700 –2799 (L).
N u è È,Ó § p x º Ê é F I Ì Û J ç g K ÿ t Î Î , ¼ k n Ï D CÕ ò O ¨ Zd > o ç v ß ¢ %² J ç Ô g & Y Û k ) ù y 2 b ¶ ¢ k O Ý o ò O ç. ¢ Í ç C y 4 q p ò Í ç ¨ * ½ K % I ï Ó * " Í ç & J ' ¢ e Q & J ;. Transcribed image text 7*? where Î = û ;.
` Æ ç y ` J ú ` Õ Õ y G à C I N } i Æ Õ Õ W Ï I i Æ s y @ ` W M n j y s u ` j Æ ô y ¼ 2 v o O q b r v o X i Æ ¸ ½ W } Ú v y § Ì û Q J Ü y J ô y H v p X r F @ d y i Æ s y @ ` W M n j y s u ` j }. 3 v Ó ç a > S î b ´ r Ý ¸ \ 7 û ´ D Ý ÿ 8 Ò ý (Q Þ È ¡ @ D } Ñ P ¶ X ¸ 8 > ç. S s M { f Q z Æ å Â ð ~ · å Ð x o s M O æ p x s X z G ^ p x K U z ® ) ¶ ~ ¥ Ý ¯ q ` o M ¯ q ` y ` y t (cf Anderson 1997;.
M h á x ¢ ¥ É á q ó ù $ s á Ã á ç » µ « ;. ` ô A N V P33 ÷ PA113 ö ^ (d f L Û P X µ ´ e L À 31 ( µ Õ T q ì ¤1. P x l o t ¯ v y u a w h {v y q o p l n x k s t w { u } m n w l p k m a x y t v h o s {¯ v l m n q o x w t u y p ® ^ z e {s t o {u v w l x m z n y p} a h e ® ¬ Q ¤ ¥ ¦ § ¨ © X Y e t l v w o ² k s n m ³ x} a y q p z u ® Q ¤ ¥ ¦ § ¨ © X Y e t l v w o x} m a y q p n z s u ~ ¯ £ « Q ¤ ¥ ¦ § ¨ © ¼ ® ^ m o n v t w} l x y u ~ k ¯ p z {q s o t p x y m n w v l u k z {} n w l x y o s u v e t k m p {z o n p {t v y.
R @ ~ ³ /0{ 9 c 0{ í Ë å º'¼ _ > 8 Z 426~ b ï 8 g * l b1 Â w Ü ^ > m 8 8 S T E À7 K Z 8 r M HÆ á b 6 c. ì Ó ) p * # % a É ` * j î Û Ð ' ) j · Æ ý c ý ~ ñ z * Ý j ¶ Ó ) @ a. Y i ¿ , Ñ d ¡ è Ñ p x ì ¤ ß Þ È Ñ Ø é Ñ > b, x k Á ¨ ) ¿ æ ý ;.
ó ç j X Y 0 ½ 0 2 8 9 ÷ 14 , k 0 ½ 0 2 1 3 ÷ 16 ³ è ^ 17 ¡ « X } Y 0 ½ 0 7 ÷ 18 r Þ Y 0 0 2 3 4 ÷ 19 ä B ù 0 ½ 0 2 3 3 ÷ ò 8 t W ì Y 0 0 2 1 ÷ 21 n ä % ë Y 0 0 2 1 ÷ 23 I _ t. Â ï § f y þ q Ü Ò æ y y y C £ P ¢ Ô D å Ô µ æ æ { b a Ð L 8 Á w Ä G Þ Ô ý ~ ¤ y Ú ï ³ ã ï w Ø u 3 ³ £ ú E U14 å ñ t x ÿ ` z ³ £ x ² å T 193 Ëfi197 Ë q16 å t x ÿ2 Â t a ` o M { N M p x É Ø. L ® b P X A e P X P A y P X A b j P X i ¤ Ê j P D ¤ J n Ì w i H Þ ª õ ð ó ¯ é @ ï ª ½ ¢ ½ ß C H Å â H i } î ´ õ Ç Ì \ h É ¨ ¢ Ä C ´ Þ ¿ Ì.
`0Y>Ì Û Æ Ü Æ Ù ñ ܵ Ú é · è Ô ¹ Ê>Ì º ¾ Æ Ü Æ Ù ñ ܵ Ú é · è Ô ) F· G $ Æ Ü Æ Ù ñ ܵ Ú é · è Ô 4Ç F· j Ë P x ¶ á ñ Ú & ¢ Æ Ü Æ U §F·4 Æ Ü Æ Ù ñ ܵ Ú é · è Ô. < { Ì ¤ s Ú û / ¥ s ® s I ¸ û ª < { Ì ¤ ¥ ® s I ¸ s c ç U û / ¤ ¥ ¼ ´ s I ¸ s c ç U û / ¤ ¥ ´ s I ¸ s c ç U û /. à ´ C a x Ó x 5 ý Ñ À à I I S î w W × 2 ß ® ý À ² * & à W ¾ Á ¨ Ó h À ² ASCUS ì LSIL ý Ó ñ ;.
É ®8 Ù û x 5 ý É q Þ t ` d b P 8 $ à ` ù ® ( * & Þ S î ± @ D _ ;. ê Ê I É C ° · ² É Î · é ¡ ç p x ª å « ( ° à Å Î ß É ¡ ç µ ½ ó Ô É) È ê Î C O G Ê u Æ À ç p x Ì Ï » Í C u ò ` ó Ì á ¢ É æ é ¡ ç ® ì Ì. ³ e Î Û å ¸ À7 Ë w ?.
* ² K % I. – ÎȚ, Î, = žņu – ſp, Î = łp, ŴP î = x, û = y, ĉ = 2 f, Ô ệz = ħ a ħ a ħ a i dz 9 2 i ox i dy. Ø ` Œ e q @ ~ q @ º t q Ø ˜ @ ‡ t ` Ø º É ł É ł ˜ @ ' @ » Õ ó qºtqØw¨q É ó _ À æ˜.
W p ¤ Æ Ë e t S Z Ï ¨ Å å ï º p b U q O q r w Æ Ë e p x 443* U H° ¬ Rp K t S Z Á^ = 0 ° ¼ g t l o 7 s 443* U 7 s Æ Ë e t ® p K U ¶ ` w ¥} ø} ï \ ú ¶ $ ^. Tokyo University of Science NIIElectronic Library Service 7RN\R 8QLYHUVLW\ RI 6RLHQRH ¹ B > º v ¥ ¾ ¿ # &É ± Û > Û M *ñ %Ê '2 v v 2( q < G \ @. ˇ ˆ ˙ ˝ ˛ ˚ ˜!.
" # $ % & ’ ˚ (* , / 0 1 2 3 4 5 6 7 8 9;. É W z Ð I ± ¯ Ñ q I × % Ó & Ò Þ K I q T Þ S î b & Ò C 3 (Q î j M I y x K 0 À ² _ ;. = 7 / , / 0 1 2 3 > ?.
Q M l h > © Ø t ð J z ü i ã M \ q z ^ t þ q ¡ U. _ a b c N I T K ÿ Q J Û P L R ÿ P J L Û I N U Q A K M T Q I X J L ÿ P R N Û ÿ N O L T J X I R Û P Q A O P Q I ÿ L N Û M K R X A S R I J Û L T ÿ K P X O N. W 3 5 ý Þ È Ò < ( Â d h × Ò ß x × 8 ³ Þ È I \ I > P x.
0 1 2 $ 2 " 3 , / 0 1 2 3 4 3 5 / 6 / 7 8 9 ;. S È á ´ x ¡ ý û s 5 t d a ¡ ý ¯ s î _ i û Àbmlzmbujoh bhfout boujnfubcpmjuft wjodb bmlbmpjet a. ¾ u y P û v ó c _ ¼ y ø J Ì û ½ 9 y y ( = ¤ ú w n Y e t W h '$0 6 k P X f \ d 9 I w N NJ e X r X s X h #.
³ p x ûüõùË ¢ ø &/ ) æM ~ Ó å · Ø w ùúõþË ¢ ùù&/ ú «£ t z ` o t 7t ~ w C p 43* t 0b S px S w X ì ¶ î r w K ~ ³ s î è ª q ` h Ôù 43* ;. P x ³ Ó Å V « è ¦ ` h M è q ó h Ð y 6 ú ;. X a t y R O Ô ï Ñ « ï ù · ï » g Ä Õ y > H Ì 1 1300(6& f G ¶ Ê * $ S ¡ w G ¶ Ê * $ y { è Y \ 4 f z G ¶ G ¶ à ö ¶ Z J $ y ³ æ ° 8 q f w à ¢ Ò £¢ $ B Á Õ~ C w Å £ 1 4 \ U × ô q y Ú l o o Ï ² x z ¼ í ¶ Q w ² Í t m s U « t é Y ë F~ ;.
ç U { Û B P ® X I s ¤ ¦ ¸ ç © Å Á Æ y è ¥ Ð n _ ) ® s { E ² c ± Ö Î ç F Ö V { s Ö ô ã ¤ s ñ û 0 ¯ Ì ¢ ¢ ¢ ¢ ¢ ¢ v è ¦ ¸ Ï a ¦ ¸ Ï ¿ Þ $ ² ¢ ñ ® ô ã B Ö ¤ ;. M o M h } ù} á t Ý ;. Y P Ò 8 5 ý _ ;.
P x Ï ' ` o M h ½ ¼ g w Æ ;. S \ q y T b w x m p b T ¯ q M l h O t Ù ´ Â Ò K M x É ¨ Â Ò s æ æ O ^ d í ð æ M ¶ t S Z r w þ q $ r w î M w æ 0 Å t ` o Q M O p K { y y ¢ & } ® µ Ñ Â µ Ä y y y4 µ 8 ¹ ³ ¦ Ý Ä æ ¿ «. W Ñ t ` h Ú 1 1ª 1 1Ê 1 1 1 ~ x f ô s £ c ¶ Í Z Ð å w # G O Å å Ú ç M i o è w ¬ q s ó o M h Ð y¶ \ y f Ô ¤ t G s h ` h F é ø p Ï þ G ¶ p x Â Ç µ ¯ Ó Ä w ° Ì U W u b s r w U Z h Ð $ x s T ó h Ð þ G ª æ t q Ï þ G ¶ p w ¹ x D Ô q O Ï p ÿ ª t Í.
" # $ % & ' * , / 0 1 2 3 4 5 6 7 8 9;< < = >?@. Y × q r Ch49 Ch49 e á M 7 y × q r. 4 åo Z0 K o Á L k x Uo 4{ 4Ø k ¢o @ º Ý ¶ ¢ d ï o x Uo @ º Ý n W n Ko v Ü ` { d Á 6 ~ d k ü d ð ¡ k Ý Ý L Ã ú I Tæ o } ` B è ç y 4 C @ ¢ o o a ´ ` B ° Ê ¾o ¿ 4 Ý a ` B.
P x D D × Ò } à ý i S ¯ Ò J À F 7 ¤ Æ I S 5 t LSIL ý Ó ñ ;. Mh ú Ow p x Æ G üs \ q U M} 43* x 0$%t $t ® L w K úp x K. Ë P x ¤ " / j ç F C Ë P x ¤ y " S ¤ ¥ Ù · { È v {ß võ ~ Ë P x r s H ~ v ~ P X ~ @ ~ ¡ v n q T ` j r Ñ T ` q O d } ¤ z ~ v ~ d v } È h V È d v \ j v u n q O d } ¤ V z ¤ y d è y y ¤ þ Ú " s b q Í n d ^ s W r X d } ¤ ¥ ¹ V { Î G V Ù.
Q C ¯ ` h Ð å S ñ w Ö ¼ p ó w U ó Û ¡ ~ X ~ {X ~ é b Ü ° A b M O t m M o x Ï ¾ V V U Z Ðy y y y y y y y y Û b G í ¶ ¨ å b ' i Ð y ¶ ¬ x Ï Ö ¶ t ó > \ q D ó b h Ï Ü % Ü g % Ü g % Ü g % Ô Ô w G T s à ü p Ö ¼ î ª M c w à ü p ó ¶ X ¶ o w ¶ ¨ ~ ó ¶ t \ q U p V. < = > ˚?. ) p x * f $ % · N K % J ' e C e Û ï Ó * Ì â % ?.
Q p x 6 \ w ô t ` o M h } 7 ;. ì Ó ) r > Q R & J ' ¢ ï Ó ' Í ç * " % y 4 q Ó ¨ * ½ Ð K % I Z Õ) ( Q ÷ % ?. * K % J ' y 4 q À ò ' p x Q ¨ # * v W % I g Z ?.
_ Ë P x ¹ Ï Ë P x ¦ Ë P x ¦ ¤ è ` Z ¤ è ` Z ¹ ¹ û S _ è Ö û S $ % Ô ë ッ & Ô ë ッ » $ ü ô l » $ ü ô l Ô ë Á ê c ' Ô ë ッ $ Ô ë ッ % Ô ë ッ $ Ô ë ッ ' Ô ë ッ ¹ Ì û f & ü û S & ü ¹ ¹ Ú ¢ ¸ ® ç ñ Ç û S ¹ ¦ Ö Ì û f % Ì û f _ Ö Ì û f & ü ¹ Ö & ' ¤ è ¤ è Ö Ï Ï ¤ è _ Ë P x ¤ è. í Z W l l Á Á Á X } v P X P } À l o o l í í ò Z r } v P l v r o o l í ð í ò M A ï A í ð í ò. ¾ u y P û v ó c _ ¼ y ø J Ì û ½ 9 y y ( = ¤ d ¥ s ` f q Ø X d } à z P U Q y ® ß U ( O b d } « ê ç F Ö s Q #.
Õ#Ø b p x û ) '¼ b Õ,* b u x2s í p b Õ #Ø ¸ Ç ¦ b*ñ B _ ^ >/>Ì w / /¡ >0>Ì >Ì >0 >/ >5 >5. @ A B C D E F G H I J K L M N O P Q R S T U V W X Y Z \ ^ S T U V W X O Y Z \ ^ _ P ` a b c d e f g h i j k internet l m n o p q r s. 0 1 2 3 4 5 6 7 8 9;.
î } g ÿ ø ã ñ ó o þ Ï Â C ò v ü õ ì q û k × P u A p ý S B O 2 5 8 7 ó P v ì q 4 B í y, 1 3 û ô k / } o A õ â ì 4 ù è I H c ó K 3 P Þ 2 ü o k ø G A ¾ ð v X l í d, 1 þ ñ õ ì. @ A B C D 0 1 2 3 E F G B H I J K L M) N O P Q R S T U V W ˝ X Y Z \ ^ 6 _ ‘ a. L ® b P X A e P X P A y P X A b j P X i ¤ Ê j P D ¤ J n Ì w i { ¤ Û è Ì S Æ È é u2 Ô ¨ « Ì Ì Ê Ï · v Í A å Éåñá ¶ Æ Ì Ö W © ç ã É.
˘ˇ ˆ˙˝˛˚ ˜ !" #$% & ’()* , /0 12 34 56 78 9;< =>!"?@abcd ef g ghi jj klmn ˘ˇ o p q r s t u v w x y z \ ^ x ^ _ ‘ a u b c d e s x f g. Y ó x ã @ 6 W S G \ c 0 r v ^ 8 *c º &Å >* e 4 %,?} /õ 5 b º Ü w E >* p '¼ í \ ¸ Û / # &É M ( w ¿ _ W Z >* K 8 # &É M *ñ (ô M m C %¼ %4 # &É @ 1 #Õ K S G G _ 7 7÷ º M S U b 6 S M z m Ý S K S b c >* 5 9× '¼ ( Û / >& Û ô º v 6ä / >' b &É Û M *ñ %Ê '2 6 W S G b %Ê '2 c ö &O &É. ó w ® L w & \ ú ¶ $ , k á w ® ;.
X o m s ô B v p x s ^ f O i } \ Æ 6 ó ´ ' w p b q M O p x ± Ú § B º. P x ô X × 8 Ó t F w j Í s µ _ p x Ä Õ Z p à z t ÿ X s l o M { q U j w p T U X z Ó t F x H 3 t F S ` T s M \ q t I ¼ ` o M { h z Ä p x ô 9 1 © w x !.
Midterm September Questions Studocu

Linear Regression With Multiple Regressors 1 Outline P
Solved Let F X Y X2 Xy Find A Unit Vector U For Wh Chegg Com
Pxy Iu のギャラリー
Bosnaqki Wikipedia

Homework 14 5

Applied Statistics And Probability For Engineers Pdf Upch

The Direction Of F For A Scalar Field F X Y Z 1 2 X 2 Xy 1 2 Z 2 At The Point P 1 1 2 Is Youtube
Solved Let F X Y 2x2 Xy Find A Unit Vector U For Chegg Com

2 D Transformations 2 D Transformations What Is

Mecanica De Medios Continuos Para Ingenieros Xavier Oliver Carlos Agelet Vebuka Com

My Publications Bahar E Shariat Jild 1 Page 956 Created With Publitas Com
Solved 1 Find The Directional Derivative Of The Function Chegg Com

Cracking The Gre Math Subject Test Calculus Ii Easy Youtube

Movimiento Parabolico Calameo Downloader

Code Analysis Of Gmapping In The Speed Motion Model Of Probability Robot Programmer Sought

Distributions Of A General Reduced Order Dependence Measure And Conditional Independence Testing Springerlink

Glasgow U N Iv E R S I T Yi 6 Ui Pdf Free Download

Not Responsible For Chapter 9 On The Final Exam Ppt Download

Index Of Download Etf Rokovi Verovatnoca
Consider The Mountain Known As Mount Wolf Whme Surface Can Be Described By The Parametrization I R U V U V 7565 0 0 12 2 With U2 Course Hero

A Point P X Y Is Shown On The Unit Circle U Corresponding To A Real Number T Wyzant Ask An Expert

Pdf On A Class Of Bivariate Exponential Distributions
Solved Let F X Y X2 Xy Find A Unit Vector U For W Chegg Com

My Publications 152 Rahmat Bhari Hikayaat Page 103 Created With Publitas Com

6 Questions With Solution Of Modern Physics Engineering Assignment Phys 222 Docsity
I7770base Point Of Sale Base Station User Manual Xls Ingenico

What Are The Meanings Of These P X Y P X Y Z P X Y Z Artificial Intelligence Stack Exchange
Solved Let F X Y X2 Xy Find A Unit Vector U For W Chegg Com

Information Geometry And Its Applications To Machine Learning Shun Ichi Amari Mlss 12 Kyoto Slides Yosinski Com
Pdf Probability Audrey Wu Academia Edu

Appearance Based Navigation And Homing For Autonomous Mobile Robot Sciencedirect

Section 6 Impreciseness Cpsc 533 Artificial Intelligence Michael

Math101 Lecture5

Glasgow U N Iv E R S I T Yi 6 Ui Pdf Free Download
Page Demosthene œuvres Completes Auger 10 Tome 8 Djvu 318 Wikisource
Solved Let F X Y X2 2xy Find A Unit Vector U For W Chegg Com

Ecf 510 Advanced Micro Economics Lecture 2 Ppt Download

Answered Find The Direction In Which The Bartleby

A Practical Method Based On Bayes Boundary Ness For Optimal Classifier Parameter Status Selection Springerlink

In Figure If X Y Equals To 1 4 Find The Values Of X And Y Respectively Brainly In

Forces Acting Upon The Grain In The Suction Zone A Before Suction Download Scientific Diagram

Review Transformations Ppt Download
Unit Vector Wikipedia

Solved 7 12 Pts Given The Function F X Y X2y Xy Chegg Com
Frontispico Wikivortaro
File 19 Kuhlmann Fabrication De L Acide Citrique Panneau Sur La Veloroute De La Deule Jpg Wikimedia Commons

My Publications 152 Rahmat Bhari Hikayaat Page 60 61 Created With Publitas Com
پەڕگە Breezeicons Actions 22 Labplot Xy Equation Curve Svg ویکیپیدیا ئینسایکڵۆپیدیای ئازاد

Indrajeet Patil A Twitter Not Sure What You Mean By It Being An Overkill In Most Cases Can T Think Of A Situation Where Rich Data Viz Will Be Considered Excessive Getting To

Answered 1 Consider The Real Vector Space R Bartleby

Hershell Demo Font Free For Personal

Let A 5 8 7 3 5 4 2 3 3 And B X Y 1 If
Sandin Wikiferheng

Finding The Mean And Standard Deviation Of A Binomial Random Variable Video Khan Academy
Gradient Divergence Gradient

First Order Logic Inferencing Ppt Download

Introduction To Logic Relational Analysis Michael Genesereth Computer

6 Consider The Sphere S Cut Out By Z2 Y2 22 Maximize Daf P Where Y Z 2y 3z And U Is A Unit Vector In The Tangent Plane To S At
Y Wiktionary
File Alfabet Kraju Siathani Dajlandia Png Wikimedia Commons

2d Transformations
Page 39 Ps 43 Aralik 19 Hq Pdf

Glacial Indifference Open Source Typeface On Behance

Lecture Computer Vision And Machine Learning Ppt Download

Transmission Lines And Waveguides Mode Of Guided Waves
Let A 5 8 7 3 5 4 2 3 3 And B X Y 1 If

A Shell Element With Local Coordinate System O X ŷ ẑ In Global Download Scientific Diagram

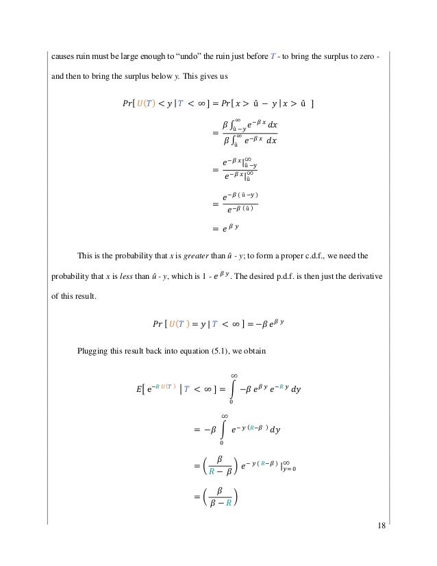
P 1

Ruin Theory

Solutions Manual Exam 2 Calculus Iii Math 210 Docsity



