
Example 2 Verify That Y E 3x Is A Solution Of Y Y 6y 0

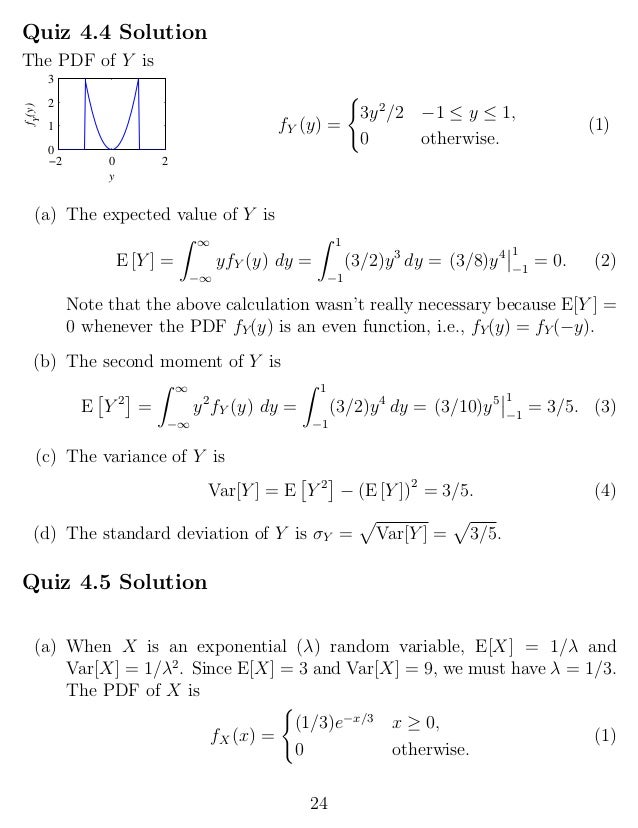
Probability And Stochastic Processes 3rd Edition Quiz Solutions

Calculating The Expectation Of A Multivariate Probability Function Mathematics Stack Exchange
Ie E のギャラリー

The Electric Field Strength Depends Only On The X Y And Z Coordinates According To The Law E A Xiˆ Yjˆ Zkˆ X2 Y2 Z2 3 2 Where A 280 N M 2 C Is A Constant If The Potential Difference Between

Mustang Mach E Or Tesla Model Y Which Is Better
The Solution Of Y 2x 2y E X Dx E X Y 3 Dy 0 If Y 0 1 Is Sarthaks Econnect Largest Online Education Community

3 Triple Integral Function A Evaluate 6z2 Dv Where E Is The Region Below 4x Y 2z 10 In The First Octant B Evaluate 4x Dv 3 Where E Is

The Solution Of The Differential Equation Dy Dx E X Y X 2e Y

Solved A 3 D Object Is Created By Rotating The Area Betwe Chegg Com

Solved Example 3 Evaluate Iiievx2 22dv Where E Is The Re Chegg Com

Consider The Region Bounded By Y E X Y 3 And X 0 A Solid Is Created So That The Given Region Is Its Base And Cross Sections Perpendicular To The

Ex 9 3 3 Form Differential Equation Y A x B E 2x

Mathbb E Xy Mathbb E X Mathbb E Y Where Do We Use Independence Property Mathematics Stack Exchange

Activity 3illustrate Each Of The Following Correctly 1 Plane Abcd Contains Points X And Y 2 D E And Brainly Ph

Sample2 Sol
What Is Y 2y 2y E 2x Cosx 3sinx Variation Of Parameters Quora

Solution Find The Differential Equation Whose General Solution Is Y C 1 X C 2 E

Solved Example 3 Evaluate Iiievx2 22dv Where E Is The Re Chegg Com
Solve The Differential Equations D 2 4d 3 Y E 2x Sin 3x Sarthaks Econnect Largest Online Education Community

An Electric Field Given By E 4 0i 3 0 Y 2 2 0 J Pierces A Gaussian Cube Of Edgr Length 2 M And Positioned As Shown In The Figure The Magnitude

Y 2y 5y 3 E 2t Using Laplace Transform Math Help Forum

Exponential Growth And Decay College Algebra

15 6 Calculating Centers Of Mass And Moments Of Inertia Mathematics Libretexts

Exam 1 F11 Solutions Byu Math

Effective Potential Energy Of Electron Y E And Ions Y I For Z 1 T Download Scientific Diagram

The 21 Ford Mustang Mach E Interior Is Like A Tesla Model Y But Nicer
Solutions Week 4 Antwoorden Week 4 Verplichte Opgaven Studeersnel
If Y Tan 1 Log E X 2 Log Ex 2 Tan 1 3 2logx 1 6logx

Exponential Growth And Decay College Algebra

How Accurately Can You 1 Predict Y From

Math 217 Assignment 3 Selected Solutions
How To Solve D 2 4d 3 Y Sinx X E 3x Quora
If Y X E X Then D 2x Dy 2 Is A E X B E X 1 E X

Solved 1 Problem 3 1 2 Change Problem To Say F X Y K Chegg Com

486 Differential Equation

Price Is Right Tesla Model Y New Range Vs Model 3 Mustang Mach E

Ford Mustang Mach E 1st Drive Review Take 3 It S Not A Tesla That S Good Cleantechnica

Solution Locate The Points Of Inflection Of The Curve Y F X X 2

Answered Random Variables X And Y Have The Joint Bartleby
Example Exam Questions Week 2 Studeersnel

Content The Natural Logarithm

Q 3 Find The Integrating Factor And Solve The Exact Solution Consider The Differential Equation E X Y Cosy Cosx 2e 2x Y Dx Sinx E X Y Siny 3y 2e Y Dy Q 5 Prove Socratic

An Electric Field Given By Vec E 4hat I 3 Y 2 2 Hat J Pieces Gaussian Cube Side 1m Place Youtube

Why Is Operatorname E Y 2 Operatorname Var Y Ey 2 Mathematics Stack Exchange

James E Pepper Batch 3 Tbwc Ratings And Reviews Whiskybase

What Is The Expected Value Of The Expected Of X Conditional Of Y E E X Y And Also If Possible E X 2 Y Cross Validated

Ford Is Going For Tesla With Mustang Mach E Dealer Training Material Highlighting Price Advantage Electrek

Solution Of Xy Dy Dx Y 3 E X 2 Is

How Big Is Tesla S Model Y Evannex Aftermarket Tesla Accessories
Solve The Differential Equations D 3 3d 2 3d 1 Y E X Sarthaks Econnect Largest Online Education Community

Solved The Solution Of The Initial Value Problem Y Y Chegg Com

Ma22s6 Homework 5 Solutions ˆ Question 1

Answered Example 3 Graph The Function Below And Bartleby

1 Pts Find An Integrating Factor And Solve The Equation Y 3y E 2t Then Solve The Initial Value Problem Y 3y E 2t Y 0 3 Pdf Free Download

Solved 6 3 Marks Let X Be A Random Variable With Mean Chegg Com

How Accurately Can You 1 Predict Y From

Solved 4 The Probability Density Function Of Random Vari Chegg Com

Differential Equatio Long Answer Questions 7 M R Solye 2x Y 3 Dx 2y X 1 Dy Sol Dy 2x Y 3 Given Equation Is

Simple Linear Regression Analysis Reliawiki

Ex 8 2 3 Find Area Bounded By Y X2 2 Y X X 0 3

Solve The Differential Equation D 4 3d 2 4 Y 5sin2x E 2x Mathematics 2 Question Answer Collection
Ifhgy 2ij And Nd Ef31 What See How To Solve It At Qanda

James E Pepper Batch 3 Tbwc Ratings And Reviews Whiskybase

The New Threefold Family Y 3 Given As A Fibration F P Ale B Download Scientific Diagram

Answered Exercise 1 Find The Volume Of The Bartleby
Statistiek 3 Studeersnel

Second Order Linear Odes Ppt Download

Ppt The Function E X And Its Inverse Lnx Powerpoint Presentation Free Download Id
Solve D 2 4d 3 Y E Xsinx Xe 3x Sarthaks Econnect Largest Online Education Community

3 Inch 76mm Exhaust Control E Cut Out Dual Valve Electric Y Pipe With Remote Kit Ebay
Solved Example 3 Evaluate Sie X2 Z2 Dv Where E Is The Chegg Com

Universal Milling Machines Uwf 80 E Incl 3 Axis Digital Readout And Y Axis Power Feed

Tesla Model 3 Y Chevy Bolt Nissan Leaf Audi E Tron Sales Us Ev Sales Report Cleantechnica

Expected Value Of A Binomial Variable Video Khan Academy

Verify That Y E 3x Is A Solution Of The Differential Equation D 2ydx 2 Dydx 6y 0

Logarithmic And Exponential Functions Topics In Precalculus

Sophia Boettcher 1 Dr E Schaefer Coen 19 Discrete Mathematics

Solved The General Solution Of Ye X Dy Dx E Y E 2x Chegg Com

Price Is Right Tesla Model Y New Range Vs Model 3 Mustang Mach E

Answered If The Function Y E 2x Is Vertically Bartleby

What Is The Derivative Of This Y E 2x 1 3 Socratic
Find The Exact Coordinates Of The Centroid Where Y E X Y 0 X 0 X 3 Mathskey Com

If F 1 0 E 5 Defined By F X E X 3 3x 2 Is One One Onto Many One Onto One One Into Many One Into Give Answer With Explanation Maths Relations And Functions Meritnation Com

Ea Y Dollar At The Pick 3 Pick 4 Daily Lotto Isaac Nwokogba Amazon Com Books

3 Triple Integral Function A Evaluate 6z2 Dv Where E Is The Region Below 4x Y 2z 10 In The First Octant B Evaluate 4x Dv 3 Where E Is

Answered Consider A Signal Y T Defined As Bartleby
Chapter 3 Balagurusamy Programming Ansi In C

Solved Evaluate Tripleintegral B E X 2 Y 2 Z 2 3 2 W Chegg Com
What Is The Solution Of This Equation D 2 4d 3 Y E E X Quora



