Pxy Z
P XY Z 2P(XYZ ) and consider the induced conditional distribution P XY jZ(jz) 2P(XY ), for z2Z Denoting by P XjZ(jz) and P Y jZ(jz) the corresponding marginals, we set I(X;YjZ= z) = D KL P XY jZ(jz) P X P Y (jz) De nition 111 (Conditional MI) For P XY Z 2P(XYZ ), the conditional mutual information between.
Pxy z. P(xy)log p(xy) p(x)p(y) This is the difference of two entropies—the uncertainty before Y is known, H(X), and the uncertainty after Y is known, H(XY) This can also be interpreted as the amount of uncertainty in X which is removed by knowing Y, thus following the intuitive meaning of mutual information as the. Apr 03, · If krita's tablet tester isn't showing pressure readings, ie P=xyz% on each line of the tablet record on the right hand pane, then krita isn't getting any pressure vaules from your tablet, at least not in any way it can understand. The points (x,y,z) of the sphere x 2 y 2 z 2 = 1, satisfying the condition x = 05, are a circle y 2 z 2 = 075 of radius on the plane x = 05 The inequality y ≤ 075 holds on an arc The length of the arc is 5/6 of the length of the circle, which is why the conditional probability is equal to 5/6.
P (xyz) = Chel 1 A charged slab is infinite in the yzplane and spans from d,. Where P X and P Y are the Xand Y marginals of P XY and P X P Y is the induced product measure Remark 101 (Comments) Note the following. Ww w p xy z x up Rp x y z y v p xy z z wp NonCommutativity Not Commutative (unlike in 2D)!!.
Nov 05, 18 · When including the SOC, avoided crossings appear between bands contributed by p xy and p z More importantly, a bandgap ~040 eV is opened at the Γ point for the p xy orbitals This SOCinduced. Fundamental Theorem for Line Integrals(cont) •Definitions 1) A simply connected curve is a curve that doesn’t intersect itself between endpoints 2) A simple closed curve is a curve with but for any 3) A simply connected region is a region D in which. Course Title CSC 1530;.
Nov 28, 19 · Cross Validated is a question and answer site for people interested in statistics, machine learning, data analysis, data mining, and data visualization. Z ∞ −∞ Z ∞ −∞ xfX,Y (x,y)dxdy Now suppose we have a function g(x,y) from R2 to R Then we can define a new random variable by Z = g(X,Y) In a later section we will see how to compute the density of Z from the joint density of X and Y We could then compute the mean of Z using the density of Z Just as in the discrete case there is. The abbreviations cii=cosθ and sii=sinθ are used throughout this paper () X Y Z P P P Lcs ssc Lss csc Lc c X Y Z =.
Given three overlapping correlation coefficients r XY r XZ and r YZ this page will calculate the firstorder partial correlations r XYZ r XZY and r YZX To proceed, enter the values of r XY , r XZ , and r YZ into the designated cells below, then click the «Calculate» button A negative value of r should be preceded by a minus sign eg, 76. P xy z 2 L, and therefore a kp lp Subsequen tly, a p (1 k l) 2 L, whic h is imp ossible since p (1 k l) is not a prime Th us, w eha v e a con tradiction and the language L is not con textfree (b) L = f a n b j n j 2 g Assume for con tradiction that L is a con textfree language W e apply the pumping lemma Let m. 1 Choose one coin at random, ie pick some z 2f1;2gthat determines our choice of coin C z 2 Flip C ztwice to get two results X, Y If we knew z, then X and Y would be independent (each with probabilities determined by the coin we had chosen) But say we did not know z and the rst coin ip was heads Then the second ip is more likely to be.
Dec 21, · Potential Function Definition If F is a vector field defined on D and \\mathbf{F}=\triangledown f\ for some scalar function f on D, then f is called a potential function for FYou can calculate all the line integrals in the domain F over any path between A and B after finding the potential function f \\int_{A}^{B}\mathbf{F}\cdot. P(xy) = p(yx), (Ila) p((xy)Z) = p(x(yZ)), (I2a) and similar equations for relative probabilities It is usually assumed that all the rules of Boolean algebra hold for the arguments, or that the rules of the calculus of propositions hold for them Since I am interested in constructing systems in which not more is assumed. Rotate by x, then y is not same as y then x Order of applying rotations does matter Follows from matrix multiplication not commutative.
(iii) P(XYZ= 0) = 1=4, P(XYZ= 1) = 1=8, P(XYZ= 2) = 1=8, P(XYZ= 3) = 1=2 (iv) E(X 1) 4= 1 4 41 1 8 0 1 8 2 1 2 4 = (v) E(XYZ) = 1=8 Problem 3 While answering a question on a multiplechoice test with 5 options for this question, a student knows the answer with probability 70% If he does not know the answer,. The Pxy and the Txy are diagrams that represent the liquid and vapour equilibrium for a binary mixture The component that is graphed is the most volatile one because is the one that will evaporate first during the distillation process On the xaxis goes the mole fraction x,y. Let X, Y, Z be independent continuous random variables with exponential density functions $\lambda e^{\lambda x}$, $\mu e^{\mu y }$ and $\nu e^{.
Aug 05, 15 · Stack Exchange network consists of 177 Q&A communities including Stack Overflow, the largest, most trusted online community for developers to learn, share their knowledge, and build their careers Visit Stack Exchange. Then, using the Divergence Theorem, the value of Fonds fround your answer to TWO decimal places) Question b apan дм др aN OM Let GMxyz\Nlxyz) P(xyz)k, and let F1x6 2x)*** ду дz ду components of Fare continuous Consider some simple solid with boundary. Explanation Comparing trials 2 and 3, we see that when P XY is constant and P Z doubles, the rate increases by a factor of 8, or 2 3Rate is therefore proportional to Z 3 Comparing trials 1 and 2, we see that when P Z is held constant and P XY doubles, the rate doubles Rate is therefore proportional to XY.
Now suppose that p xy z is bi and alice locally School Jamestown Community College;. Then for Z to be less than z, X must be less than z−Y Therefore, the distribution function for Z is F Z (z)=p XY (x,y)dx −∞ z−y ∫dy −∞ ∞ ∫ If X and Y are independent, F Z (z)=p Y (y)p X (x)dx −∞ z−y ∫ ⎛ ⎝ ⎜ ⎞ ⎠ ⎟ −∞ ∞ ∫dy and it can be shown that p Z (z)=p Y (y)p X (z−y)dy −∞ ∞ ∫=p Y (z. Where (a) holds by the fundamental theorem of calculus 7/13.
SOLUTION 1 Let variables x and y represent two nonnegative numbers The sum of the two numbers is given to be 9 = x y, so that y = 9 x We wish to MAXIMIZE the PRODUCT P = x y 2 However, before we differentiate the righthand side, we will write it as a function of x only Substitute for y getting P = x y 2 = x ( 9x) 2 Now differentiate this equation using the product. And Z be random variables that form a Markov chain Then their joint probability density (or their joint probability mass function) p XY Z(x,y,z) can be written as p XY Z(x,y,z) = p X(x)p Y X(yx)p ZY (zy) (3) This factorization is expressed by the FFG of Fig 2 If the edge Y is removed from Fig 2, the remaining graph consists of two. Since these distributions admit a channel Z Z with p XY Z being BI, Lemma 2 gives that K D (p XY Z) = K C (p XY Z) for every UBIPD ↓ distribution We have thus identi fied a family of distributions possessing reversible secrecy, and we conjecture that this family completely charac terizes secrecy reversibility in the classical setting.
Struct TriplanarUV {float2 x, y, z;};. Make x the subject of the formula #P = ((xy)/(z x))^(1/2)# 9 Make x the subject of the formula #S = W sqrt(a^2 x^2)# 10 Make y the subject of the formula #P = (xy) /(x y) # 11 Make c the subject of the formula #T = x sqrt (c^2 d^2)# 12 Make P. Feb 17, 15 · Cross Validated is a question and answer site for people interested in statistics, machine learning, data analysis, data mining, and data visualization.
Cho x,y,z là các số thực dương thỏa \(x^2y^2z^2=3\) CMR P= \(\dfrac{xy}{z}\dfrac{yz}{x}\dfrac{zx}{y}\ge3\) p/s mik nhờ 2 bn neet và ace legona giải giùm mik nhé !. Consider z = ax by ab _____ (1) Differentiating (1) partially wrt x & y, we get Using (2) & (3) in (1), we get z = px qy pq which is the required partial differential equation Example 2 Form the partial differential equation by eliminating the arbitrary constants a and b from. This yields a triangle whose leftmost xvalue is 0 and whose rightmost xvalue is 1/2 (which is only seen by drawing the.
Find the directional derivative of f(x, y, z) = xy^2z^3 at P(2, 1, 1) in the direction of Q(0, 3, 5) Join our free STEM summer bootcamps taught by experts Space is limited. Uploaded By dysty35we Pages 10 This preview shows page 6 9 out of 10 pages Now, suppose that p XY Z is BI and Alice locally generates message M 1 so that Y ZXM 1 Then I (X Y ZM 1) = I (M 1. For some x, y and zSincexy≤p, xy cannot extend beyond the first p symbols of s, meaning xy = ak where 1 ≤ k ≤ pLetuswritex = aa, y = ab, z = acbapbapb The number of a’s in each w is given by abc = pLeti =0ands = xyiz = xz For reference, let xz = w1w2w3 where w1 = aaacb and w2 = w3 = apbThenumber of a’s in w2 and w3 are each.
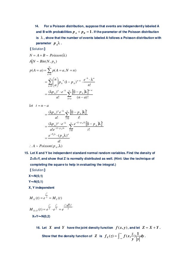
P (XY j W)= X) Y P (X j ) P (X j ) = K W Thus, when we consider a particular segmentation S we need only concern ourselves with the N S feature vectors corresponding to S, but we must combine two terms for each segment s iThefirstterm is the standard phonetic likelihood P (x i. TriplanarUV GetTriplanarUV (SurfaceParameters parameters) {TriplanarUV triUV;. Is that the forearm orientation is independent of the arm variables (X,Y,Z) FBRI=, so HF RR=HB The wrist angles are calculated as in the Appendix Then Eq 7 is used to calculate the unknowns (X,Y,Z);.
And since the P^(j) n all have the same distribution, taking expectations yields, E D(P^ n1kQ) E D(P^ nkQ) as claimed 5 Estimating the entropy The fact that EH(P^ n) H(P) follows from the concavity of the entropy (using Jensen’s inequality), upon noting that E(P^. Aug 29, · 显然,P{XY≤z}表示随机变量XY的所有可能值中满足xy≤z的概率。当z为正或为负时,曲线xy位于不同的象限,因此,可以根据z的正负号进行分类,z>0和z≤0构成一个完备事件组。 当z>0时,曲线xy=z位于第一、三象限,XY≤z描述的区域为下图中阴影部分。. Return triUV;} Use this function in MyTriPlanarSurfaceFunction and just sample using all three projections The final albedo then becomes their average.
The product p=xy is applied to one parallel input of the adder aw, and the third binary number z is applied to the other parallel input of this adder The output of the adder aw thus provides the result e=xyz. Jun 18, · We can now use these projection matrices to project any arbitrary vector defined in the same basis onto the z axis and xy plane respectively b = npmatrix(2,3,4) p_xy = P_xy*bT p_z = P_z. Homework 9 (Math/Stats 425, Winter 13) Due Tuesday April 23, in class 1 The joint probability mass function of X and Y is given by p(1,1) = 1/8 p(1,2) = 1/4.
1 Thunderstorm Dynamics Houze sections 74, , 85, Refer back to equations in Section 23 when necessary Bluestein Vol II section 346 Review article "Dynamics of Tornadic Thunderstorms" by Klemp – handout. Z(z) = PZ z = PXY z = Z 1 1 Z z y 1 f X(x)f Y (y)dxdy Taking the derivative yields f Z(z) = d dz F Z(z) = d dz Z 1 1 Z z y 1 f X(x)f Y (y)dxdy (a) = Z 1 1 1 y f X(z y)f Y (y)dy;. De nition 101 (Mutual Information) Let (X;Y) ˘P XY 2P(XY ) The mutual information between Xand Y is de ned as I(X;Y) = D KL(P XYjjP X P Y);.
Float3 p = parametersposition;. Z ∞ −∞ Z ∞ −∞ f(x,y)dydx = Z 1 0 Z 1−x 0 cxydydx = c 24, so c = 24 (b) Draw a picture of the support set (a triangle), and intersect it with the set {(x,y) y ≥ x}, which is the region above the line y = x;. Nói chung phần đại động não tý là ok !.

Crystallography Structural Resolution

Help Prove X Y Are Conditionally Independent Given Z Iff b P X Z Y F X Z For Some Function F Mathematics Stack Exchange

The Positions Of Four Elements X Y Z And P In Modern Periodic Table Are Shown Below Which Of The Science Periodic Classification Of Elements Meritnation Com
Pxy Z のギャラリー

Computer Graphics 3d Rotation Transformations Geeksforgeeks

Xy141 The Legend Of X Y And Z Pokemon Wiki Fandom

Partial Differential Equations Lagranges Linear Pde X 2 Yz P Y 2 Zx Q Z 2 Xy Youtube

4 1 Displacement And Velocity Vectors University Physics Volume 1
Given That X Y And Z Are In G P And X P Y Q Z S Then What Progression Are 1 P 1 Q 1 S Quora

Drone Data Service Provider Inspection Survey Pxyz

In Triangle Xyz Angle Xzy 90 Xy Z Units Yz X Units Zx Y Units Zdis Perpendicular To Xy And Zd P Units Prove That 1 P2 1 X2 1 Y2 Mathematics Topperlearning Com 7syjn

P 545 Xr8s Pinano Xy Z Piezo System

Nanopositioning Xyz Stage Xyz Piezo Stage Piezo Xyz Flexure Stages By Pi
Given That X Y And Z Are In G P And X P Y Q Z S Then What Progression Are 1 P 1 Q 1 S Quora

Equidensity Orbitals In Resultant Information Description Of Electronic States Springerlink

Reporting The Infamous Xyz Affair

Pro Turn 1630sx Prototrak Slx Cnc Xyz Machine Tools

Solved Suppose The Random Variables X Y And Z Have The Chegg Com

Poison Distribution Homework Help

Art Of Problem Solving

Find The Directional Derivative Of F X Y Z Frac Y X Z At Math P 2 1 1

Ash Greninja Ex 218 Xy P Promo Has Two Types Pokeboon Japan

Jointly Distributed Random Variables Ppt Video Online Download

Remove Roboverify Xyz Pop Up Ads Virus Removal Guide

Find Matrix P That Changes X Y Z To Y Z X Matrix Q That Changes Y Z X To X Y Z 2 1 17 Youtube

Solve X 2 Y Z P Y 2 Z X Q Z 2 X Y Brainly In

Lagrange S Linear Equation
Using Properties Of Determinants Prove The Following X X 2 1 Px 3 Y Y 2 1 Py 3 Z Z 2 1 Pz 3 1 Pxyz X Y Y Z Z X Sarthaks Econnect Largest Online Education Community

Answered 9 M A Y Z Xyz Xyz P 2 1 1 U Bartleby

Xyz Conversion Tools National Geodetic Survey
Let X Y And Z Are Three Positive Numbers And P X Y Z 2 If

Ex 6 1 6 It Is Given That Xyz 64 And Xy Is Produced
平行宇宙pxyz Photos Facebook

Misc 12 Using Properties Of Determinants Prove 1 Pxyz X Z

Math Text The Joint Probability Density Function Of The Random Variables X Y Text And Z Text Is Math F X Y Z Frac 4xyz 2 9 Text For 0 X Y 1 Text 0 Z 3 F X Y Z 0

Home Work Shortcuts 3 13 Two Random Variables X And Y Have The Joint Distribution P 0 0 0 2 P 0 2 0 3 P 1 1 0 1 P 2 0 0 3 P 2 2

Using Properties Of Determinants Prove That X X 2 1 Px 3 Y Y 2 1 Py 3 Z Z 2 1 Pz 2 1 Pxyz X Y Y Z Z X Where P Is Any Scalar Mathematics Shaalaa Com
Finding A Potential Function Physics Forums

Q13 Write The Distance Of The Point P X Y Z From Xoy Plane

Amazon Com Pxyz
Xyz Points Python Dynamo

If X Y Z Are Positive Real No And P Q R Are Natural No Such That X P Y Q Z R And Y X Z Y Brainly In

If X 1 P Y 1 Q Z 1 R And Xyz 1 Then What Is The Value Of P Q R Quora

Solved 4 Suppose That X And Y Are Independent Exp 1 Ran Chegg Com

Reverse Torsion Dihedral Angle To Find Coordinate Point X Y Z Stack Overflow

Solved 1 Point Suppose That F X Y Z X Yz Xyz Is Chegg Com

The Foundations Logic And Proofs Chapter 1 Part

P 545 Xr8s Pinano Xy Z Piezo System

Entropy Free Full Text Probability Mass Exclusions And The Directed Components Of Mutual Information Html

A Technical Primer On Causality What Does Causality Mean And How Can By Adam Kelleher Medium

Cse 572 Note Week3 知乎
Solved Problem 1 The Cash Account Of Xyz Company Has A Beginning Balance Of P129 937 Its Year End Balance Stands At 254 925 The Table Below Show Course Hero

Pdf Experimenting With Identities X Yz Y Xz And Xy Z Y Zx In Left Alternative Ring

Aviation Photographs Of Registration F Pxyz Abpic
In Xyz P Is Any Point On Xy And Pq Xz If Xp 4 Cm Xy 16 Cm And Xz 24 Cm Find Xq

Information Geometry And Its Applications To Machine Learning Shun Ichi Amari Mlss 12 Kyoto Slides Yosinski Com

What Are The Meanings Of These P X Y P X Y Z P X Y Z Artificial Intelligence Stack Exchange

Solved Suppose X Y And Z Are Random Variables

Buysites Xyz Fake Online Sporting Goods Shop Fakes Scams And Frauds Of Internet

Range Finder Xyz Coordinate System The Z Axis Of Fig 4 Points Download Scientific Diagram

7 Vectors In 3 D Space

P 611 3 Nanocube Xyz Piezo System

View Question Let Xyz Be An Equilateral Triangle Centered At O A Point P Is Chosen At Random Inside The Triangle

P 545 Xr8s Pinano Xy Z Piezo System
A Primer On Learning In Bayesian Networks For Computational Biology

P 363 Picocube Xy Z Piezo Scanner
Product Distribution Wikipedia
Product Distribution Wikipedia

Aviation Photographs Of Registration F Pxyz Abpic

Answered Let X And Y Be Jointly Continuous Bartleby

Solved Logic Simplification W X Wy Z Xy Z X Q P Chegg Com

The Hydrogen Atom University Physics Volume 3

Solved Suppose X Y And Z Are Random Variables

P Mirror Xyz Patrickxrivera Twitter

Cdf Of Max X Y Youtube

6 6 3d Representation Of Orbitals Chemistry Libretexts

How To Find The Mean And Variance Of Minimum Of Two Dependent Random Variables

Joint Probability Distributions

Answered Question 1 Suppose That The Random Bartleby

Integration Bounds With P Xy Z Mathematics Stack Exchange

Circle P Has Tangents Xy And Zy And Chords Wx And Wz The Measure Of Angle Zwx 70 Degrees What Is The Measure In Degrees Of Angles Xyz Socratic

Important Questions And Answers Partial Differential Equations

If P 2 3 1 Is A Point L X Y Z 2 0 Is A Plane Then A Origin

Probability Review Thursday Sep Ppt Video Online Download
Pointwise Mutual Information Wikipedia
Poison Distribution Homework Help

The Joint Probability Mass Function Of The Random Variables X Y Z Is P 1 2 3 P 2 1 1 P 2 2 1 P 2 3 2

Press Release Pxyz To Present On Drones Iot And Mapping At Solar Power International 18

Isc Computer Science Question Paper 10 Solved For Class 12 A Plus Topper



