Jtba I Ss
ÎԁA Ԃ̐ A Ԍ A J t B A K X R e B O A ̑ Ԃ̃ e i X ͕ E v ẴR p N g ւ C B.
Jtba i ss. J t B ͌ w v X ` b N Y ́A G ƍ x ߂ Ă ܂ B i m ^ x ł̓ ʋZ p ɂ } X v s Ƃł q l ̃j Y ɉ A w v X ` b N Y čs l w ߂ĎQ ܂ B. ~ }m m ß < j j j k k k k k @ í ~ }m 4  @ ði ßlnjoj åàäàä t ;. øh1èeight="3em"álign="center">‚Qóize="2"æac€PAdagio€ða filepos=0€ 3376 ´color="#ac4f5d‚`span >Dziennik„Ø€‰> 11 Wyda†˜‡ü‹ãtakŒ.
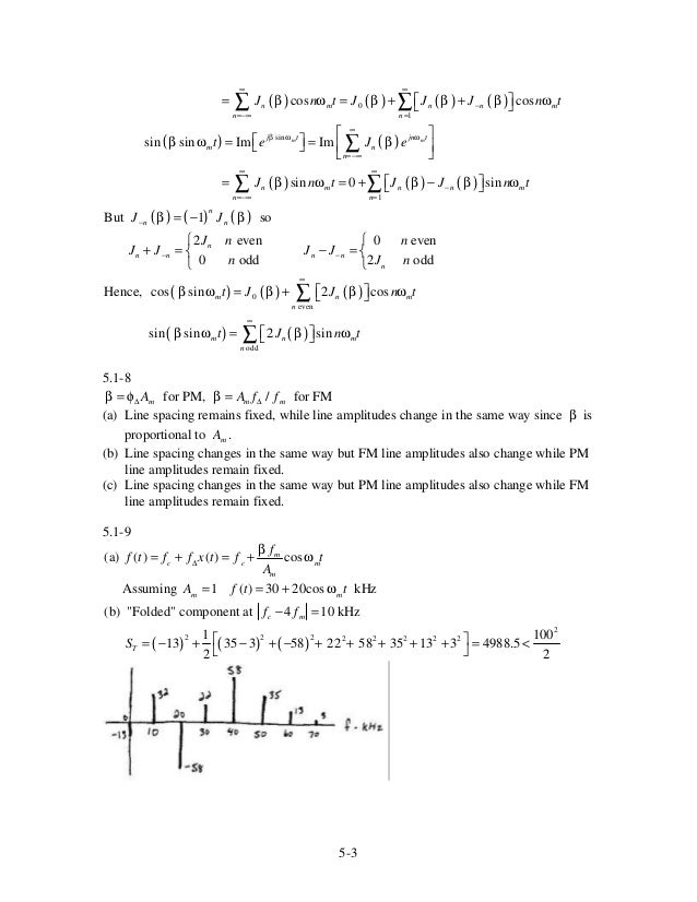
 ¼ ÿ « j } T Û. V é v éãmckxèâ m w v \ Ø f Ê ¦ 4  @ ð º Å t Óèâ ß ¦ m ß v éämcksxçâ m w v \ ¹ f Ê ¦ 4  @ ð º Å t Óçâ ß ¦ m ß v éåmckkxéâ m w v \ f Ê ¦ 4  @ ð º Å t Óéâ ß ¦ m ß æ 2 q. ( l) n _ k x ͔ a s a z g 𒆐s Ɏ ԃk x a t g k x a j t b a k x a k x c a f m k x { h Ă ܂ b.
#Together Stay Active Staycation Survival Kit from SPORTOPOLY S k i p a f o r 1 m i n u t e SPORTOPOLY Move forward 4 spaces M o v e f o r w a r d 4 s p a c e s M o v e f o r w a r d 4 s p a c e. ò ó · { ß ü ¡ u s } · { ß ÿ ä ¡ u Å ´ Õ Ì ¿ ¼ ß Á º á È Ü ´ Ü Þ ´} a ° õ â Ì v ¦ ã º ¯ Ñ v ¦ ¦ "þ s 4 a C J?) U ¼ Z % j « ¾ © Î À k q 4 z 6 ¯ 6 ¯ 6 ¯ 6 ¯ 6 ¯ 6 ¯ µ;.

Model Buch Teil 1 2 Orem Gt J Tc Tif Fcgniberi Fejr T Iy Y M P Fc Ss S N S Gt Fljjct B Zku 4 J I Mr Fcf Gt Jct Jtp F

B Thalassemias Nejm

Hawkes Process Modeling Of Covid 19 With Mobility Leading Indicators And Spatial Covariates Medrxiv
Jtba I Ss のギャラリー
Problem 1 A Dynamical System With Damping Leads To Chegg Com
Papers Past Newspapers Hawke S Bay Herald 30 June 1903 Page 4 Advertisements Column 8

Targeting The Wnt B Catenin Signaling Pathway In Cancer Journal Of Hematology Oncology Full Text

Solved 1 At Sufficiently Low Temperature The Electrical Chegg Com

Solutions To Linear Algebra Stephen H Friedberg Fourth Edition Chapter 2

Wnt B Catenin Signaling Causes And Treatment Targets Of Drug Resistance In Colorectal Cancer Review

Ge Tic T High Resolution Stock Photography And Images Alamy

Acceleration Of B Cell Aging Determines Diabetes And Senolysis Improves Disease Outcomes Sciencedirect
Jtb Singapore Limited Time Offer Islandwide Free Facebook
Fig1 2 St Ruct Ural Finite Element Model Of T He Wing Ae ˇˇ ˇˇ Download Scientific Diagram

Frontiers Wnt B Catenin Signaling Pathway Regulating T Cell Inflammation In The Tumor Microenvironment Immunology

Cox Regression Model Under Dependent Truncation Ppt Download

Wnt Beta B Catenin Signaling Sigma Aldrich
Papers Past Newspapers Manawatu Standard 28 November 18 Page 4 Advertisements Column 1

Figure 3 From Reduced Latency Algorithm For Finite Field Semantic Scholar

3 Let Ss 0 And Let X X2 Be A Random Samp Chegg Com

Continuing Chronic Beta Blockade In The Acute Phase Of Severe Sepsis And Septic Shock Is Associated With Decreased Mortality Rates Up To 90 Days British Journal Of Anaesthesia
Ss Wikipedia
Beta Distribution Wikipedia

Pdf Cannabidiol Inhibits Inducible Nitric Oxide Synthase Protein Expression And Nitric Oxide Production In Beta Amyloid Stimulated Pc12 Neurons Through P38 Map Kinase And Nf Kappab Involvement

The Design Matrix X Is A Rectangular Matrix Of Order M By N With Elements X I J ϕ J T I Pdf Free Download

Reconstitution Of Paired T Cell Receptor A And B Chains From Microdissected Single Cells Of Human Inflammatory Tissues Pnas

Beta Distribution Intuition Examples And Derivation By Aerin Kim Towards Data Science

Reward Maximization In General Dynamic Matching Systems Springerlink

Transforming Growth Factor B Signaling In Immunity And Cancer Sciencedirect

Multidrug Resistant Tuberculosis Treatment Outcome In Children In Developing And Developed Countries A Systematic Review And Meta Analysis Sciencedirect

Hemoglobin Subunit Beta Wikipedia

An Efficient And Accurate Distributed Learning Algorithm For Modeling Multi Site Zero Inflated Count Outcomes Medrxiv
Page 79 Journal 14 1 Full
B Wiktionary
Effects Of Ici 141 292 On Exercise Tachycardia And Isoprenaline Induced Beta Adrenoceptor Responses In Man Abstract Europe Pmc

Cd28 Z Car T Cells Resist Tgf B Repression Through Il 2 Signaling Which Can Be Mimicked By An Engineered Il 7 Autocrine Loop Molecular Therapy

B Glucan Fiber From Spent Brewer S Yeast Reduces Early Atherosclerosis Greater Than Psyllium In Hypercholesterolemic Syrian Golden Hamsters Topic Of Research Paper In Veterinary Science Download Scholarly Article Pdf And Read For

Pdf Estrogen Receptor Alpha And Beta In Uterine Fibroids A Basis For Altered Estrogen Responsiveness

Pdf B Cryptoxanthin And A Carotene Rich Foods Have Greater Apparent Bioavailability Than B Carotene Rich Foods In Western Diets

0 M R Gt F 487 Ss U I 1 W 11 Lt C Rli L B C 492 4 I 1 X A J A U Ti T Xy T Aul Ol Ucwdracv V Carl Etp A Sr Stock Photo Alamy

Physics Needs For High Beta Steady State Tokamak
/CAPM2-cc8df29f4d814b1597d33eb7742c9243.jpg)
How Does Beta Reflect Systematic Risk

Answered Find The Exact Value Under The Given Bartleby

Q5 An Fm Modulator Has Output S T 4 Cos 27 F Chegg Com

Sistemas De Comunicacion 4ta Edicion Bruce A Carlson Solutions M
Beta Distribution Wikipedia

Germany S Century Long Debate Over A Missing Letter In Its Alphabet Quartz
65114-0.fp.png)
Ss Glucuronidase Activity In The Urine Of Patients With Bladder Cancer And Other Conditions Journal Of Urology

Frontiers Impairment Of Nkg2d Mediated Tumor Immunity By Tgf B Immunology

6687i04

Pdf Exosomes From Covid 19 Patients Carry Tenascin C And Fibrinogen B In Triggering Inflammatory Signals In Cells Of Distant Organ

Transforming Growth Factor B In T Cell Biology Nature Reviews Immunology

1 3 Ss D Glucan Pharmaceutical Contaminant And Biological Response Modifier American Pharmaceutical Review The Review Of American Pharmaceutical Business Technology

Pdf Biotransformation Of Sesquiterpenoids Having A B Unsaturated Carbonyl Groups With Cultured Plant Cells Of Marchantia Polymorpha

For Each Linear Operator T Find A Jordan Bartleby

B Cells That Resist Immunological Attack Develop During Progression Of Autoimmune Diabetes In Nod Mice Sciencedirect

Curcumin Inhibits Formation Of Amyloid B Oligomers And Fibrils Binds Plaques And Reduces Amyloid In Vivo Journal Of Biological Chemistry

Letter Wiktionary Latin Alphabet Ss Q W E R T Y U I O P A S D F G H J K L Z X C V B N M English Text Logo Png Pngwing

Xmni Polymorphism Relation To B Thalassemia Phenotype And Genotype In Egyptian Children Topic Of Research Paper In Health Sciences Download Scholarly Article Pdf And Read For Free On Cyberleninka Open Science Hub

Smart Membranes Gmb H Dresden M 3 D

Least Popularity Per Byte Replacement Algorithm For A Proxy Cache Kyungbaek Kim And Daeyeon Park Korea Advances Institute Of Science And Technology Kaist Ppt Download

Frontiers T Cell Mediated Beta Cell Destruction Autoimmunity And Alloimmunity In The Context Of Type 1 Diabetes Endocrinology

Pathobiology Of Transforming Growth Factor B In Cancer Fibrosis And Immunologic Disease And Therapeutic Considerations Laboratory Investigation
The Weibull Distribution Reliawiki

Multiple Regression Inference For Multiple Regression A Case

Solved Parametrization Find A Vector Function Parametriz Chegg Com

A Window For New Physics In Bskk Decays

Solved The Figure Shows A Wire With Current 1 2 0 A Pla Chegg Com

Page 69 P 47 High Resolution Stock Photography And Images Alamy



