Pxy Cuc
N A > Ap , %(z) = zp , sr>Ap(u) c snA(x) It follows that p(x) = \u\ < rA(x) < a for any x £ A , • denoting the Banach algebra norm on A Thus p is continuous and Np is closed Also by 2, Lemma 2, p 46, p(xy yx) = 0 for all x, v in A, with the result that.
Pxy cuc. The Chase – (2) • Start by assuming t = abc • For each i, there is a tuple s i of R that has a, b, c, in the attributes of R i • s i can have any values in other attributes • We’ll use the same letter as in t, but with a subscript, for these components. C l?s'uxw C C q m u c\TFD EZNhGKPRNEZGI` P GSR`¬GP_XYF^ZEHTFi½P_TFD `bJJMDFW\P. Now, the event that it takes exactly n treatment to cure the tree is the event U n1 U c n, ie, the tree is not cured after n1 treatments, but is cured after n treatments.
RS b VWS(v°N\¶V S§PTN fS P V b XP S Zy v. Joint SourceChannel Coding for the MultipleAccess Channel with Correlated Sources Arezou Rezazadeh 1, Josep FontSegura , Alfonso Martinez , Albert Guillen i F´ abregas` 123 1Universitat Pompeu Fabra, 2ICREA and 3University of Cambridge arezourezazadeh@upfedu, fjosepfont,alfonsomartinez,guilleng@ieeeorg. 2) f(z) is de ned at c;.
P$ xy) C zfo GH { C }~ IP K\ P nX C RSdGH 2 C v ©f C ?@ GH I U C ) PK # # # K J# f m C f Rm GH * C ¥ IJ K # P\ Ñ X C nfB GH. APPROXIMATE POLICY OPTIMIZATION AND ADAPTIVE CONTROL 435 where 0. May 12, · pxy = b xym bgcxym cg b m bl cxym ch (m b m c)g;.
Apr 15, 21 · The boundary conditions for the strain energy of the system can be expressed as (B22) B C U 1 = d dx M xx 1 d dx P xy 1 d dx M xx s 1 N xz s 1 δ w 1M xx 1 P xy 1 M xx s 1 δ d dx w 1 x = 0 x = L 1 (B23) B C U 2 = d dx M xx 2 d dx P xy 2 d dx M xx s 2 N xz s 2 δ w 2M xx 2 P xy 2 M xx s 2 δ d dx w 2 x = L 1 x = L. Consumption quantities C X, C Y, C Z Production quantities Q X, Q Y, Q Z Prices P X, P Y, P Z Utility measure of social welfare u= U(C X;C Y;C Z) Will choose import good as numeraire, so P Y = 1 Equilibrium for nontraded good requires C Z = Q Z When the production technology and/or terms of trade change, du= @U @C X dC X @U @C Y dC Y @U @C. Hybrids, Uw can be appreciably smaller than Uc due to slow fuel pyrolysis, whereas these two values will be the same in SRM analysis As shown in Fig 1, x and y stand for the axial and normal coordinates used to describe the position from the headwall to the typical nozzle attachment point at the aft boundary In the event that the fuel.
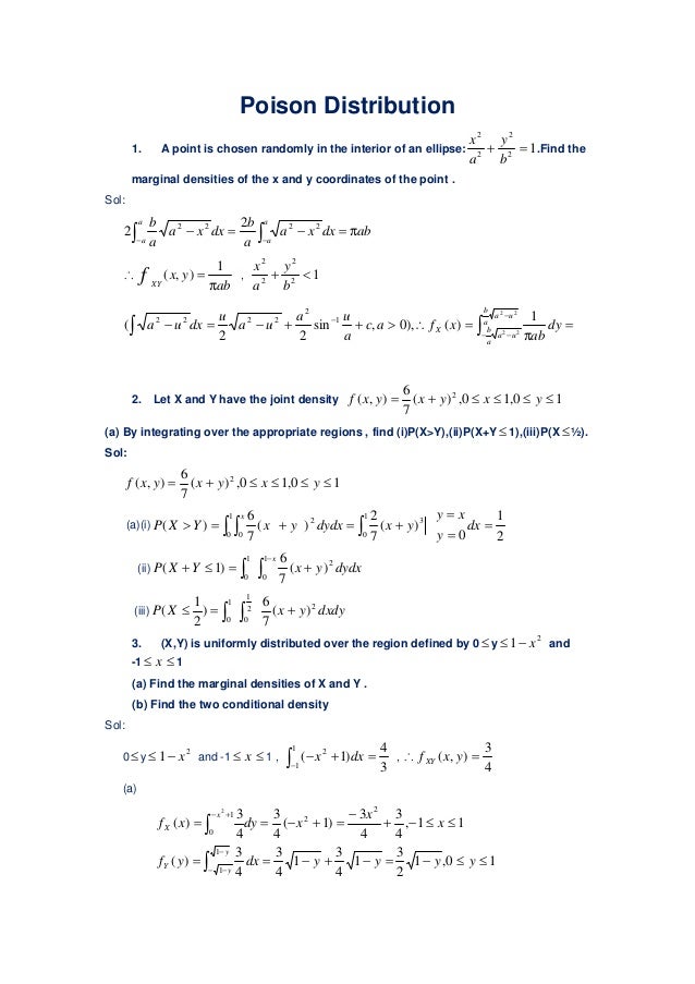
(a) Find c (b) Find P(Y > X) (c) Find marginal pdf’s of X and of Y (d) Are X and Y independent (justify!) We start (as always!) by drawing the support set (See below, left) y y 1 y=x 1 x 1 x 1 y=1−x of support set with y>x Blue subset support set 05 (a) We find c by setting 1 = Z ∞ −∞ Z ∞ −∞ f(x,y)dydx = Z 1 0 Z 1. A U(x;u) = C 1 (6xy) C 2 B U(x;u) = C 1 x 6 p y C 2 C U(x;u) = C 1(6 p xy)C 2 D U(x;u) = C 1 x6 y C 2 E U(x;u) = C 1 xy6 C 2 3 Utilice el m etodo de variables separables para resolver la Ecuaci on Diferencial Parcial y @U @x 8x @U @y = 0 A U(x;u) = C 1 ec 2 (x 21 8 y) B U(x;u) = C 1 ec 2 (8 x 2y) CU(x;u) = 1 8x 2 y2 D U(x;u) = C 1 ex 21 8. MASSACHUSETTS INSTITUTE OF TECHNOLOGY 6436J/J Fall 18 Problem Set 7 Readings Notes from Lectures 1113 GS, Section 4148 and 5152.
U ˘cx ˘cy (P~ UXY), we have X (u0 ˘;x 0 ˘)2T n u ˘c x ˘c y (P~ U XY) Qn ˘;ˇ(u0 ˘) (x0 ˘ ju 0 ˘) = jTn u ˘cx ˘cy (P~ UXY)jQ n ˘;ˇ(u0 ˘) (x0 ˘ ju 0 ˘) (17) Considering (8) and the fact that P~ U ˘cX ˘cY = P^ U ˘cX ˘cY in Ln ˘ (P^ U XY) in (14), we have the following upper bound Tn u ˘cx ˘cy (P~ UXY) n U= 2PT (P~ XY) Tn(P. 3) its value at c is the limiting value. P(AUC)=8=53=P(A)P(C) since AC= Ø P(AUB)=7 does not equal 56=P(A)P(B) since AB={s} which is not Ø General additive rule The reason P(AUB) is not equal to P(A)P(B) is that the outcomes in the intersection of A and B (ie, {s}) are counted twice when you add the probabilities The general additive rule is P(XUY) = P(X) P(Y) P.
P ij, ⎢ c 2 c c x x y c xc z ⎤ ⎢ ⎢ ⎢ 2 P = nm cc = c c c c c and the trace TrP = nm ⎢ c2 x y y y z =3nkT c xc z c yc z c2z If f(c)= f(c) (isotropic distribution), then TrP =3P, where, P = nm c2 2 2 x hence = c x = c x P = nkT for any isotropic distribution For the nondiagonal elements (i = j) of the pressure tensor, Pij = −τ ijThese are the shear stresses And once more, if. U c XYVWNZ\ P P N\ k5b XY\ Z\ Nb XYf yTZU XYfNQP Zpy j jh ¥ S6PTV%XYUWV ~NV _ UWS( PTS(\ VWN\ k N\ P VWS N\³P S({t X"VWNZ\ P fN\ S XYUWN´ S v XYUWZ \ v X ® XYVw¤z ¥ c X"bYe!kpUWZ \ v V%XYe N\ k5N\ VWZ XYb b Z t \!V fZ!Z °{XY\ V u S µrS(b V%P¬V _ XYV P Z fv c S S !. Sep 26, 10 · Prove that P(A U B U C) = P(A) P(B) P(C) P(AB) P(AC) P(AB) P(ABC) This should be a really basic problem to solve but I keep needing to refer to numerical rather than "proof" language I can see it logically that I don't want.
_____ Page 4 of 4. 579 16 3 r() se nd an mai lt s a l @p xy v c If se nd ing an em a il, le ase in clu de yo ur on tro ln um be r (i nd ca tblow ) nh uj c lU r q ,y Vote B fo r h Mng byalY u c n v m l re qu est ing a pa per co py of th em at eria ls, whic h il in clu de a prox yc ar d* Pl ea ehk tming if y. Dec 13, 15 · In statistics, Somers’ D, sometimes incorrectly referred to as Somer’s D, is a measure of ordinal association between two possibly dependent random variables X and YSomers’ D takes values between when all pairs of the variables disagree and when all pairs of the variables agree Somers’ D is named after Robert H Somers, who proposed it in 1962.
Aug 29, 16 · Fitting a Circle to Cluster of 3D Points¶ This article describes a method how to fit a circle to the cluster of points in 3D space It utilizes the singular value decomposition (SVD) and the method of leastsquares for the optimal circle fitting. Title thfpstandardrxpaform Author KarenJCassin Created Date 6/8/17 PM. Under what conditions on A and B does the BVP xy"3xy' 3y tan x, solution, no solution, infinitely many solutions y(1) = A, y(2) = B, have exactly one Related Book For Sale Linear Algebra A Modern Introduction 4th edition ( Purchase / Rent ).
Homework #3 CSE 546 Machine Learning Prof Kevin Jamieson Due 11/ 1159 PM 1 Bayesian Inference 1 5 points Let f(x i;y i)gn i=1 be sampled iid from a joint distribution P XY over R d R such that for some w2Rd we have y i˘N(xT i w;˙ 2)That is, p(Y = yjx;w) = p1 2ˇ˙2 exp((y xT w)2 2˙2)Express your answers in. University of Nebraska Lincoln DigitalCommons@University of Nebraska Lincoln Faculty Publications, Department of Mathematics Mathematics, Department of 11 Amalgams of Invers. Washington, DC 549 SCHEDULE 14A INFORMATION I N S TA L L E D B U I L D I N G P R O D U C T S , I N C (N ame of R e gi s tr an t as S p e c i fi e d I n I ts C h ar te r ) (Name of P e r s on(s ) F i l i ng P roxy State me nt, i f O the r than the Re gi s tr ant) IB PI NS TA L EDU NPR C T 2 F MKH P XY To O u r S toc k h ol d e r s.
A U x;u) = C 5 p xy)C 2 B U(x;u) = (5xy)C 2 C U(x;u) = C x 5 p y C 2 D U(x;u) = C 1 xy5 C 2 E U(x;u) = C 1 x5 y C 2 Ecuaciones Diferenciales Tarea No 10 M etodo de Variables para EDP Maestro Jos e Luis Garza, AgostoDiciembre Grupo Matr cula Nombre Tipo4 1 Utilice el m etodo de variables separables para resolver la. (5) where r xy= (b m bcxym c)=(m bm c) would the overall CoM of the whole system But since they are at differ. P(xy) If the residual sum of squares (SSR) in a regression analysis is 66 and the total sum of squares (SST) is equal to 90, what is the value of the coefficient of determination c= B(0) B(1)i u , c denotes consumption and i denotes income What is the residual for the 5th observation if c(5)=$500 and chat(5)=$475 $25.
C # u c g @V c c u where c @ c # c o ¡ c;¢ ¡ £F ¢ K c7¢ is equal to the number of ways to arrange c objects in pairs This gives us > M orH @ ` GF o7 g M¤ ¥ c ¥ # c u J (17) Observe that to arrange ¤ objects in pairs is the same as to make a labelled 3valent graph X with c vertices by connecting 1valent vertices of the following. ö XIp=rm==tm=n=e n=m=/ v=s=udev=s=ut= dev=, ks=c===Urm=d*n=m=< dev=k0p=rm==n=nd, k&{= v=nde j=g=d. 3M(TM) 9495MP ¶ > ~}£uK?.
C = rather then resistance Associated with an electrical network is a random walk on the underlying graph defined by assigning a probability to each edge incident to a vertex Let xy xy x c p c = be the probability assigned to the walk selecting edge xy at vertex x where x xy y cc=∑ Note that althoughccxyyx= , pxy and pyx may not be equal. Example 1 Here's a story problem about a situation that doctors often encounter “1% of women at age forty who participate in routine screening have breast cancer80% of women with breast cancer will get positive mammographies96% of women without breast cancer will also get positive mammographies A woman in this age group had a positive mammography in a routine screening. Title Microsoft Word FSM Installation Manual Softwaredocx Author DHG1GRB Created Date 12/15/ PM.
Complex number c Sequences, limits of sequences, convergent series and power series can be de ned similarly As for functions of a real variable, a function f(z) is continuous at cif lim z!c f(z) = f(c) In other words 1) the limit exists;. U C C Z set of individuals making choices A universe of items U initial choice set C U possible new alternatives C = UnC set of alternatives Z C we add to C choice probabilities Pr(a x jC Z) for each person a and item x Choice set optimization. (4) Note that if these two point masses were at the same height (l= h), then this equation would be equivalent to that of a single point mass model pxy = rxy h g xy;.
View MAT232TestLec0101Amocktermtestpdf from MAT 232H5 at University of Toronto, Mississauga Computer and Mathematical Sciences University of Toronto Mississauga MAT232H5 Calculus of Several. KCi− z −23()C x ˆ 2 k Ci z 10kˆ = = PP P P() xy z, , ()PC P C u P C u−∧ = − ∧ − ∧()C ( ) 1 12 2 x y iˆ ˆj u 1 u 2 P 1 P 2 Esercizio 6 (IV) k !. I√tIye lm,;sı ' t OtIy c `e Ot' tt" 13 p;õ ±niWıStnSy;Sy tTp;,tls‚Mmtm (StNy;nup;n ' √* k;l* nvnIt ' p yojy et( 14 m;turev pb eTStNy ' td ≠?‰l ' d ehv Oıy e.
About Press Copyright Contact us Creators Advertise Developers Terms Privacy Policy & Safety How YouTube works Test new features Press Copyright Contact us Creators. \ 9=@e " 10#&'(,". Hence, by considering the vector of critical load increase rate Λ c, the security boundary of power system is obtained along each defined loading direction, as follows, (19) x ̇ = f (x, y, p, Λ c) () 0 = g (x, y, p, Λ c) where, x is the vector of state variables and.
Aug 22, 19 · Python3차원 좌표공간에 주어진 데이터들로부터 가장 적합한 원의 방정식 구하기(원 적합, 3d circle fitting). ()() ( ) ()()() 1 12 2 ˆˆ ˆ0 10 010ˆ C xx y y z z PC P C u P C u PCi P C j P Ck k k −∧ = − ∧ − ∧ −− − ∧= = x y iˆ ˆj u 1 u 2 P 1 P 2 PP P P() xy z. Academiaedu is a platform for academics to share research papers.
37 Full PDFs related to this paper READ PAPER RohatgiAn introduction to probability and statistics. Ut v w u c 0 rr E =0 t ~~Z p X X (1) t (xy xyxy xyx x vt w o Tr E Xy' wherey _x xy C=vx fZ E = 1/2 (u2 v ) Z 1 = (p/p)/7 and z is the arbitrary vertical coordinate, w its substantial derivative, and d geodynamic height For illustration I have chosen the model of.

If The Solution Of The Differential Equation Dy Dx P X
Tutorial 1 Answers Studocu

Strukturalni Modelovani Sem Uvod Ze Systemoveho Pohledu Petr Blahus Seminar Pro Phd Studenty Prof Phdr Hynka Jerabka Csc Institut Sociologickych Ppt Download
Pxy Cuc のギャラリー

Control 1 P1 2 0 Ptos Sean P Q R S Proposiciones Pruebe Sin
Taller 3 Topologia General Studocu

Factorizacion Problemas Resueltos

Solved 5 The Joint Density Function Of X And Y Is Given Chegg Com

At Any Point P X Y Of A Curve The Slope Of The Tangent Is Twic

An Idbased Mutual Authentication And Key Exchange Protocol

2º Algebra

2º Algebra
Ed Sps

Column I Heiti Column Ii A R X Y X Y X Ye N P Reflexive 6 S X Y X Y 10 X Ye N Symmetric T X Y X Y Or X Y 1 X Ye N 1 Transitive D U

Probability And Statistical Inference 9 Th Edition Chapter
:max_bytes(150000):strip_icc()/JointProbabilityDefinition2-fb8b207be3164845b0d8706fe9c73b01.png)
Joint Probability Definition
Pdf Deriving Direct Utility Function From Indirect Utility Function Pokemon 16 Academia Edu
Conditional Entropy Wikipedia

Ejercicios De La Ecuacion De La Elipse Superprof
Solved R 3 0 1 8 A Find The Marginal Pdf Px X And Py U Chegg Com

An Example Of A Pcart Model It Represents The Conditional Probability Download Scientific Diagram

Deduccion Versus Induccion Pagina 2 Monografias Com
Conditional Entropy Wikipedia
Solved Let P X Y Xy Y And C Is The Portion Of The U Chegg Com

Integrales
Channel Flow Profiles A Velocity U Y B Polymer Normal Stress T P Download Scientific Diagram

Introduction To Order Theory Lecture 02 October 9 Youtube

Density Of State And Partial Density Of State Of Ge C3n Ge C3n4 Download Scientific Diagram

7 The Gradient Of The Curve Y Xy 2px 3qy 0 At The Point
Let The Circle C 1 X 2 Y 2 9 And C 2 X 3 2 Y 4 2

Grados Y Polinomios Especiales Problemas Resueltos Paso A Paso Pdf

Important Short Objective Questions And Answers Two Dimensional Random Variables

Christian Cynosure X Y J 8 O 3 U C Q V J3 B C R Xt E A M T 1 3 O 2 A C

Solved Please Help With 10 To 15 You Need To Use Tabl Chegg Com

Important Short Objective Questions And Answers Two Dimensional Random Variables
14 Lecture 005 Pdf Derivative Maxima And Minima

Poison Distribution Homework Help
If The Point P X Y Is Equidistant From The Points A A B A B And B A B B A Then Prove Bx Ay Studyrankersonline

Solved C Compute P Xy 5 2 P X Y 7 3 And P X Y Chegg Com

Coordenadas Del Punto Medio De Un Segmento Superprof

Arad Araa Arab Arac Threo Leu Lysa His Araf Arag Arah Arae Pts Ppt Download

Node Embeddings In Dynamic Graphs Springerlink

C X D Vtustudentsparadise

C 867 2u2 Piline Motion Controller
Conditional Entropy Wikipedia

Coordenadas Del Punto Medio De Un Segmento Superprof

Copule Slides

Sciforum

66 For What Values Of P Y 2 X Y P X 2 X 2 Y P

5 2 Joint Distributions Of Continuous Random Variables Statistics Libretexts

Logic Seminar 5 The Resolution Principle Slobodan Petrovic Ppt Download
Copula Probability Theory Wikipedia
Product Distribution Wikipedia
Tarea Soluciones Probabilidad Epistemologia De La Ciencia

Study Inspiration Tumblr Study Inspiration School Study Tips Study Notes

Left A Singular Curve Where W P In The X Y Plane Vertical Lines Download Scientific Diagram

Important Short Objective Questions And Answers Two Dimensional Random Variables

Important Short Objective Questions And Answers Two Dimensional Random Variables

Kansas University Quarterly E Form Ax By C A X B Y C xab Yac Aox F Bgyac When These Equations Represent A Transformation T They Can Bethrown Into A Normal

Problem5 Let Xand Y Be The Gaussian Random Variable With Means Nx And My And Variances S And S Respectively Assuming That X And Y Are Independent Find Pxy 0 Express Your Result

Ejercicios Y Problemas Resueltos De Vectores Y Producto Escalar

Solved 031 4 Points Displayed Output Following C Code Segment X Y 0 Else Cout Unable Compute Else Q

Micromorphology Of The Leaflet Of Chorisia Insignis Hbk A T S Of The Download Scientific Diagram

Expected Value Of A Binomial Variable Video Khan Academy

Pole And Polar Department Of Mathematics The Hong Kong

Find Max Or Min Value Of U X Py Qz R Subjected To The Condition A X B Y C Z 1 Using Lagrange Multipliers Mathematics Stack Exchange

Grados Y Polinomios Ejercicios Resueltos

Important Short Objective Questions And Answers Two Dimensional Random Variables

Ecuaciones Diferenciales Lineales De Primer Orden Y Aplicaciones Tema
Sample Practice Exam Answers University Of Manitoba Department Of Statistics Stat 3400 Introduction To Probability Ii Solutions To Sample Test Question Justify Studocu

Solved Problem Set 13 Probability With Engineering Applications Ece 313 Docsity

Memorias De Mujeres Eminentemente Piadosas Mujeres Eminentemente Piadosas Por Thomas Gibbox D D Una Nueva Edicion Revisada Y Ampliada Por La Rev Samuel Burder D L Autor De Costumbres Orientales Vol Iii

Pdf A Higher Order Blended Compact Difference d Method For Solving The General 2d Linear Second Order Partial Differential Equation

Covariance And Comparison Inequalities Under Quadrant Dependence Springerlink

To La Differensial Tenglamalar Integrallovchi Ko Paytuvchi Youtube

Factorizacion Problemas Resueltos

Important Short Objective Questions And Answers Two Dimensional Random Variables

Two Dimensional Conjugated Metal Organic Frameworks 2d C Mofs Chemistry And Function For Moftronics Chemical Society Reviews Rsc Publishing

Solved This Problem Is Concerned With Using Separation Of Chegg Com
Solved Exercise 1 Let X Uniform 1 2 And Fy Y Cole 0 Chegg Com



