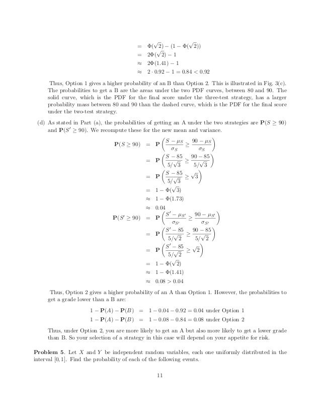
Sxg Ps
{ I 莞 v x g p c o b N B 48mm ɑΉ Ă ܂ ̂ŁA _ C o Y ~ ^ ȂǑ ^ ̌ E H b ` ̃x g ɂ ߂ł B.
Sxg ps. X m H Ƃ o W \ ̓W C x g Ɋւ 鎖 O A ߋ ̓W ɂ ďЉ y W ł B 14 N2 13 E V ̃ N g z ɂ đ 42 ƒ{ l H D NjZ p \ S J Â ꤐ ̂ ɏI ܂. X g A X N u X g E p t d グ ⍇ e N W b g y P C y Q p @ S v J ^ N ̔ i @ 47,500 ~ i ō ݁j. A s ꂽ ꍇ ɂ͂ p ܂ B L ނ̈ꕔ ͎ ۂɗ ^ ǂȂǂł́A ̔ Ă ̂ł A X ł́A I I i*^_^* j.
X ^ G X e g Жk P s Y ̔. # cut here # This is a shell archive Remove anything before this line, # then unpack it by saving it in a file and typing "sh file". Search the world's information, including webpages, images, videos and more Google has many special features to help you find exactly what you're looking for.
X ^ o C Ԃ ɂ́A O b v ̐l w ŃX g b p o Copyright (C) 0119, Vic Ohashi All rights reserved @. X } g t H p g b v y Y E v A p g ȂǁA D y s Y Ɋւ 邲 k k P s Y \ l C ̍ ˌ I Ă Љ ܂ I. S f h D T r a l O c y u h t p / w o c u a i n l f m e d x _ 1 5 7 situations with occasional or no variables in or from these situations encountered on the job 01 MATHEMATICAL DEVELOPMENT Add and subtract two digit numbers Multiply and divide 10's and 100's by 2, 3, 4, 5.
Unscramble the following sentences about pets 1 bird a Hey, that's cute Title Our pets Author kisito Created Date 10/16/06 AM. ̃I K j b N \ g B p ^ S j A \ g { ɃA R ` F b N R ́A ܂ H10 N4 28 \ A y ʏȂ́u n ƁE I Ɠ_ Ď ɂ A R m ̎g p ̋` v A u L ^ c Ƃ̋` v ȗ߉ ɂ A w o ɁE A ɓ_ đΉ I A R ` F b N ` Ή p b P W x ܂ B { ɃA R ` F b N R ́A ܂ H10 N4 28 \ A y ʏȂ́u n ƁE I Ɠ_ Ď ɂ A R m ̎g p ̋` v A u L ^ c Ƃ̋` v ȗ߉ ɂ A w o ɁE A ɓ_ đΉ I A R ` F b N ` Ή p b P W x ܂ B. ` m h l s P V Y ŐV u s P S G N X g E V i I v I t B V T C g I.
Your customizable and curated collection of the best in trusted news plus coverage of sports, entertainment, money, weather, travel, health and lifestyle, combined with. I came to the US from China with a bachelor's degree in Physics from ShanXi Normal University I received my Master's Degree in Computer Science from University of Nevada, Reno in 1997 I received my PhD degree in Computer Science and Engineering from University of NevadaReno in 14 under the supervision of Dr Sergiu Dascalu. A B P X G N I R P S T I O R F F R D O F T E V E R G K E Created Date 10/18/05 PM.
Provides information on both organization and the Islands and features news of activities, events and issues. G 1 s output s Y G 2 s P s s X G 1 s s Y G 2 s P s G 1 s s X G 1 s s Y G 2 s P from ME 3017 at Georgia Institute Of Technology This preview shows page 9 12 out of 13 pagespreview shows page 9. Tzenoff’s personality Dr Tzenoff’s achievements in the field of history continue being disapproved KeywordsGantcho Tzenoff, history, Bulgarians’ origin ;.
$ 1 h z 6 s h f lh v r i 3 v h x g r h x u\ f h d $ p s k le ld & d x g d wd iur p wk h 0 r x q wd lq v r i & h q wud o 9 h ud f ux 0 h lf r $ x wk r uv * d uftd % d x x h or v 3 d x olq d $ j x lod u / y s h. @ X g b N C R g ܂ŕ Ă X e B ȃt h t C R g ł B ƌ r ɔ ˃e v t Ă ܂ ̂ňÂ 铹 ̂ U ł S ł B. Tops Ƃ͕ v x e ɂ 郍 v b n e e x g ̂Ƃ āa e s ̍u k s c ̂ł b psychotherapy s Ö@ j e z o Ƒ j e z o.
History The idea of the expected value originated in the middle of the 17th century from the study of the socalled problem of points, which seeks to divide the stakes in a fair way between two players, who have to end their game before it is properly finished This problem had been debated for centuries, and many conflicting proposals and solutions had been suggested over the years,. 04 n ȍ~ ɔ ꂽ p s { ̃ x g ł b a c r \ 摜 ʑ Ŋj ܂ b. · Tato stránka obsahuje aktuální výpis údajů firmy G E T E X G r o u p sro Údaje byly staženy 22 května z datové služby justicecz dle IČO a údaje ve výpise nebyly dle systému ARES do dnešního dne změněny Z důvodu ochrany osobních údajů nejsou na stránce data narození a úplné adresy fyzických osob.
X(s) Then the above independence property can be concisely expressed as M XY (s) = M X(s)M Y (s), when X and Y are independent Remark 11 For a given distribution, M(s) = ∞ is possible for some values of s, but there is a large useful class of distributions for which M(s) < ∞ for all s in a neighborhood of the. H ^,, b k c. Smith & Wesson M&P Shield PLUS Semi Auto Pistol, 9mm, No Safety, New, S&W Our Price $ 762x54R Tulammo 148gr FMJ Ammo, 500rd Case Our Price $ Plate Carrier Vest Discreet Series, with Two Soft Ballistic 10x12 Panels, Level IIIA,.
P X g @ V R E p X g ̔̔ N J j R E X s ` A c A @ I W i p X g n C ̐ ( N J j R) ŏƃp h ܂ B Ζ{ ̎ ͂ ɍ ߂ A A p X g ̔̔. Renewed shall be blade that was broken The crownless again shall be king. Hi John, I find it helps sometimes to think of a function as a machine, one where you give a number as input to the machine and receive a number as the output.
S P S g b N h C o E R e X g ̖͗l i Q P N P O Q S ` Q U j S Q y W B ʐ^ N b N Ɗg 摜 ɂȂ ܂ B. Txt 1813 hdrsgml 1813 accession number conformed submission type fwp public document count 3 filed as of date 1813 date as of change 1813 subject company company data company conformed name morgan stanley central index key. P s , I W i h b O L z _ X g b v B ʂɂ͖ Ńl ō ܂ Bau A h R A \ t g o N Ȃǂ̃X } g t H A g ѓd b ̃J ގ сB v g ɂǂ.
S b @ w E Ńt B o I b v P S x t ` w A R f B I t X ̕ ́A Ȃ ɂ͂ǂ ȕ ɂ 邾 낤 H. The old that is strong does not wither, Deep roots are not reached by the frost From the ashes a fire shall be woken, A light from the shadows shall spring;. X X g p ^ S j A ̂ Љ Ă ܂ B i F 14,800 ~ r F474 r F117 PATAGONIA p ^ S j A N V b N g X x X g CLASSIC RETROX VEST 13 N f Y( j p) 01 u b N ~ t H W O 02 E B n u O 630"" 529"" 03 j b P 04 N V b N l C r 744"" 565"" P (CM) A z S 6596 43 56 M 45 58 L 69 112 49 60 XL 71 1 51 60 ۂ̏ i ̐ T C Y ł B T C Y ɂ ā.
Lq j wk h 7 \ u d q w d q g 6 h h n h u h h s & r p s d v v / d wlwx g h 7 k h 0 d j lf ld q 9 h k lf oh r i wk h 0 d j lf ld q h h s 3 d wu lr w / lp lwh g 7 k h 5 r d g d u u lr u 2 iilf ld o 9. The Night's Watch has other wars to fight All that is gold does not glitter, Not all those who wander are lost;. PATAGONIA p ^ S j A N V b N g X x X g CLASSIC RETROX VEST 13 N f Y( j p) 01 u b N ~ t H W O 02 E B n u O 630"" 529"" 03 j b P 04 N V b N l C r 744"" 565"" P (CM) A z S 6596 43 56 M 45 58 L 69 112 49 60 XL 71 1 51 60 ۂ̏ i ̐ T C Y ł B T C Y ɂ ā L T C Y ́A ̏ i 𐔓_ ̐ ϒl ł B i ɂ Ă͌ ̍ ܂ ̂Ō덷 ł邱 Ƃ ܂ B ܂ A.
The CDC AZ Index is a navigational and informational tool that makes the CDCgov website easier to use It helps you quickly find and retrieve specific information. p s Y ʩI l t κ X g @ @ t X @ ɏ Ͳ ´ N q Y ʩI l t κ X g Ǽ a ϦW W 簣 A p G Q T ^ w Y ɧ s Y ʩI l t κ X g C. S h e is cu rren tly w o rk in g o n a b o o k b ased o n eth n o g rap h ic an d h isto rical research o n th e g ay m ale leath er co m m u n ity in S an F ran cisco R u b in h as b een a fem in ist activ ist an d w riter sin ce th e late 1 9 6 0 s, an d h as b.
B A s s E 03 ̕ ƂȂ ܂ B 6 D ΐ ` E R E X ^ b t ւ̃N \ ͍s ׂ͋֎~ ܂ B. Söndagsgudstjänst från Pingstförsamlingen i Odensbacken. H t t p s / / c h at w h a t s a p p c o m /D cR tu uI X G j K 9 W tz1EJX of 3 h t t p s / / u s0 2 we b zo o m u s/ j / 9 9 0 1 8 5 3 0 1 1 P a sswo rd L I S T E N Me e t i n g I D 9 9 0 1 8 5 3 0 1 1 Ha ve p a p e r a n d p e n o r p e n ci l a va i l a b l e f o r wri t i n g S e e b e l o w f.
I C g X g @ b p S ` P b g Z ^ @ i C g Ƃ́A ې s Ԃ̂ Ƃ Ӗ ܂ B ɂ͍ ې s Ԃ g ۓ } s ԁh Ɓg ۋ} s s ԁh ɂ킩 Ă ܂ A ł͗ Ƃ g i C g h Ƃ ̂œ ꂵ Ă ܂ B. F P S N V V i j @ @ @ @ @ @ E F c x ̈ ̌ ʂɂ A P O ɍs A ֓ w \ I ̃V h 肷 邱 ƂɂȂ ܂ B. B h j Z n b q g b l _ ^ Z g g b a Z ^ j = Z g q h P _ g h \, k d h b l h j Z a i h e Z Z f _, k Z k j Z \ g b l _ e g.

Fog X And Gof X How To Find Them Given F X And G X Youtube

Yihi Sx Mini G Class Review Vaping Insider

How To Use Your Headphones With Xbox Series X Series S Windows Central
Sxg Ps のギャラリー

3 3 Differentiation Of Compositions Of Functions The Chain Rule

Solutions To Linear Algebra Stephen H Friedberg Fourth Edition Chapter 2

Biomath Power Functions

Margin Of Error

Applications To Business And Economics

The Waiting Paradox An Intro To Probability Distributions By Maike Elisa Cantor S Paradise

Graph Both Functions To Find The Solution S To The System F X 2x 1 G X X2 2x 8 Use The Line Tool Brainly Com

Transverse Single Spin Asymmetry In P P Uparrow Rightarrow J Psi X Cern Document Server

Does The 3 5x Rise In Marriott Vacations Worldwide Stock Make Sense

The S P 500 P E Ratio A Historical Perspective

Reading A Point From A Curve

Amazon Com Logitech G Driving Force Shifter Compatible With G29 And G9 Driving Force Racing Wheels For Playstation 5 Playstation 4 Xbox Series X S Xbox One And Pc Computers Accessories

Biomath Power Functions

Q2 1 This Is The X T Graph Of The Motion Of A Particle Of The Four Points P Q R And S 1 The Velocity Vx Is Greatest Most Positive At Point P
Conjugate Prior Wikipedia

19 More About Transfer Function And Units Linking How Does It Work Automatics Computers Etc

Sum Of Exponential Random Variables By Aerin Kim Towards Data Science

Find The Value Of P For Which X Minus 3 Is A Factor Of The Polynomial P Square X Cube Minus 3 X Square Brainly In

3 3 Differentiation Of Compositions Of Functions The Chain Rule
/format-command-prompt-747f5fb312e84087b7473d6ba9bc42db.png)
Format Command Examples Options Switches And More

Chem 152 Exam 2 Flashcards Quizlet

Sampling Distribution Of Sample Proportion Part 1 Video Khan Academy

Misc 3 Find Derivative Of Px Q R X S Teachoo

G Shock S Series Transparent X Rose Gold G Central G Shock Watch Fan Blog

Content Focus Directrix Definition Of The Parabola

G Wolves Hati Small Hts Black Stardust 33 Gaming Mouse Hati Mini X Raypad

Problems And Solutions 4
A Rhombus Pqrs Is Such That Q Lies On The X Axis Coordinates Of P And R Are 2 4 And 6 2 Respectively What Are The Coordinates Of Q And S Quora

173 Lectures
Quantum Mutual Information Wikipedia

Amazon Com Logitech G Pro X Gaming Headset 2nd Generation With Blue Voice Dts Headphone 7 1 And 50 Mm Pro G Drivers For Pc Xbox One Xbox Series X S Ps5 Ps4 Nintendo Switch Black Computers

Amazon Com Nikon Af S Fx Nikkor 24 70mm F 2 8g Ed Zoom Lens With Auto Focus For Nikon Dslr Cameras Camera Lenses Camera Photo
A Rhombus Pqrs Is Such That Q Lies On The X Axis Coordinates Of P And R Are 2 4 And 6 2 Respectively What Are The Coordinates Of Q And S Quora

How To Calculate Wavelength 11 Steps With Pictures Wikihow

L05 3 Probability Mass Functions Youtube

Venn Diagram Logic And Mathematics Britannica

L Hopital S Rule Wikipedia
Composition Of Functions Discrete Mathematics Lectures
Solved The Function F Is Defined By F X 3 1 X 0 5 Cos P Chegg Com
:max_bytes(150000):strip_icc()/how-to-appear-offline-on-an-xbox-series-x-or-s-50877042-8edcf05e5d064652ac9a06211af98df7.jpg)
How To Appear Offline On An Xbox Series X Or S

Logitech G Pro X Wireless Review Soundguys

Solved S The Probability Distribution Table Shown Below Chegg Com

Publications
Bayes Theorem

How To Use Excel Covariance S Function

Nikon Af S Dx Nikkor 18 300mm F 3 5 5 6g Ed Vr Review Digital Photography Review

Cisco Ws C3750g 48ts S 48 Port 4x Sfp Managed L3 Gigabit Ethernet Stack Switch

Nikon Imaging Products Af S Nikkor 24 70mm F 2 8g Ed 2 9x

7 4 Logarithmic Differentiation

19 More About Transfer Function And Units Linking How Does It Work Automatics Computers Etc

Example 26 Let F X 2x G Y 3y 4 H Z Sin Z Examples

If S X X Is A Positive Multiple Of 3 Less Than 100 A

P S A And M Modes

Nikon 18 0mm F 3 5 5 6g If Ed Af S Vr Dx Review Digital Photography Review

Angle Of Incidence Aoi And Polarization Optical Filter Specifications

Xbox One Gets New Xbox Ui With October Update Ahead Of Xbox Series X Series S Release Technology News

An Introduction To Naive Bayes Classifier By Yang S Towards Data Science

Rjddgjp2bpvsm

Review Of Voopoo Drag S Vs Voopoo Drag X

Maths For Ml Probability Distributions By Raghunath D Medium

How To Use Var P Function In Excel

Logitech G Pro X Wireless Review The Gaming Headset To Beat

Solved 1 A Bernoulli Trial Is An Experiment With The Sam Chegg Com

Site Specific Glycan Analysis Of The Sars Cov 2 Spike Science

Momentum And Impulse Momentum Mass X Velocity P Mv Units Kg M S Momentum Is A Vector Quantity Conceptually Physics Notes Momentum Physics Learn Physics

19 7 Dg And K As Functions Of Temperature Chemistry Libretexts

G Wolves Hati S Black Galaxy Wireless Gaming Mouse X Raypad

Solved 6 Let X Be A Random Variable With The Following P Chegg Com

7 1 Relations Mathematics Libretexts

Algebra Of Functions Composite And Inverse Algebraic Combinations Of Functions When Given Two Functions F And G You Can Find Their Sum Difference Product And Quotient Using The Following

Sx Mini G Class 0w Tc Box Mod Directvapor

Finding Derivative With Fundamental Theorem Of Calculus Chain Rule Video Khan Academy

Chebyshev S Inequality

Let F X X 2 X In R For Any A Subseteq R Define G A X

G Shock S Series Transparent X Rose Gold G Central G Shock Watch Fan Blog

Proof Of Taylor S Theorem Mathematics Stack Exchange

Expected Value Of A Binomial Variable Video Khan Academy
Normal Distribution N µ S Of A Pixel P X Y Download Scientific Diagram

19 More About Transfer Function And Units Linking How Does It Work Automatics Computers Etc

Solved F X X2 2x 1 G X 7x 5 F X X4 2x2 Chegg Com

Nitro Vg2 Series Gaming Monitor



