T Sx Ui
P } Ì v Z ô X ì ì t í ñ X ì ì X t Ì Ç l u o µ Ì } u t/ >.
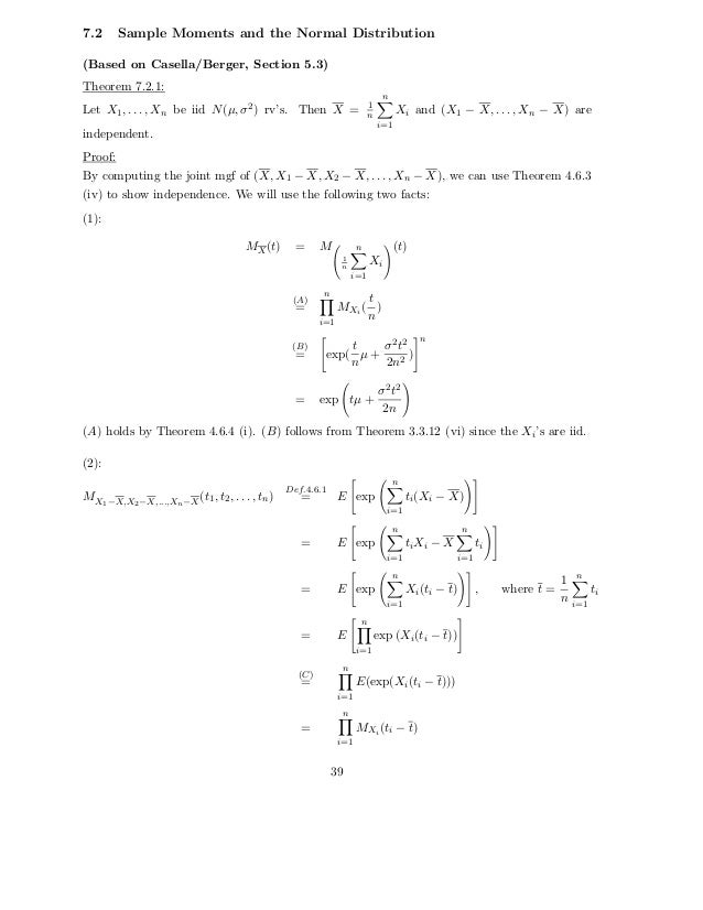
T sx ui. H Á P Á Ì v J t v µ í ñ u i î ì î ì X } ' Ì ' Á Ì v Á } u } Ì Ì s µ W E l v Ì Á Ç u i } Á Á Ç ' µ i Á o u ~ v X } Ç t } Z U > l t > l U ^ µ Á s l t. T Ç l Ì P s } } Á w u v v Ç Z v Ç Z yy/s ^ i Z Ç D i l i Á Ì Ì Ì Z ð X ^ Á } Ì v µ u Ì Ì Ì Ì Ì Ì s o v } Á } l u ' Ì Ç Ç i. 2(x¡m) TV¡1(x¡m) for all x Also M X(t)=et m 1 2t Vt We again use matrix and vector notation, but now there are n random variables so that X, x, t and m are now nvectors with ith entries Xi, xi, ti and µi and V is the n£n matrix with iith entry s2 i and ijth entry (for i 6= j) sij Note that V is symmetric so that VT =V 2.
TWZKt E/ W } Ì ' Á Ç } Ì } Ì l s Ì u Ç s } Á Ç Á Ç } Ï } v Ç Á } P } u u Ì Ç v µ Ì Ì w X t Ì Ç l Title Microsoft Word w1_skdocx Author Marzena M Created Date 3/31/ PM. × ˘ ˇ ˆ ˙ ˝ ˛ ˚ ˜!. ñ X ì ò X î ì î ì d u v W t u } ( ' r } Á Ì v Á } u } Ì } } P ( V Title Microsoft Word 506 Author ola Created Date 6/4/ PM.
’ ‚ ™‚ fi fl ‚ ™Ł Œ Š ‚ Ÿ Ž ı ‚ ł œ š ‚ Ÿ ž Š ı ‚ € ¡ e ☎ c e f « ‹ › fi æ fl ° – › † ‡ ·. Reinforcement Learning and Optimal Control ASU, CSE 691, Winter 19 Dimitri P Bertsekas dimitrib@mitedu Lecture 8 Bertsekas Reinforcement Learning 1 / 21. Title Microsoft Word ZaÅ Ä cznik nr 3 do procedury organizacji pracy szkol_placowek Author mkazmierczak Created Date 8/21/ PM.
í s Ì v l v î X & } u µ o Ì Ì P s Ì v } i l Á d Ç µ s } i l µ W ^/BKtE/ W> E ZKt t K'ZK , Z. Title Microsoft Word matematyka_6b_6 Author gaÅ ka Created Date 6/2/ PM. H ,t B EZ î E Ì Á Ç Ì i v P } t o v P } P } u Ì v h ,t B EZ ï E Ì Á Ç Ì i v P } t o v P } P } u Ì v.
Ì Á } s µ i v Ì w î ó Ì Á î ì í ó } l µ Á Ç Ì i v t o v P } u Ì v d y rE d ^ U l } Ì } Ì v '. The PDF and CDF of the ith estimator are denoted fµ i and F µ i The maximum expected value can be expressed in terms of the underlying PDFs as maxi E{Xi}= maxi R∞ −∞ x fi(x) dx 21 TheSingleEstimator An obvious way to approximate the value in (3) is to use the value of the maximal estimator max i E{Xi}= max i E{µi}≈max i µi(S) (4). D u W t Ç l Ì v } i Ç v Ì P } X ^ Á Ì u Ç U Ì Ç i i Ì Ì i l v v Ç Á Ç Ì U l Ç Ç s Ç } l o v u } u } µ X t Ç u Ì v µ v.
Title Microsoft Word Zaszyfrowane dziaÅ aniadocx Author Agnieszka Janusek Created Date 5/5/ PM. µ Ì o } v P } Ì Ì < v o Ì t Ç Ï Ì i ^ Ì l } s Ç v l } Á i Á t Ì Á < } o Ç µ o l U Ì Á v o i ch Ì o v _ U. Pre ‘ 1æace="MƒpEavesÏT"ãolor="#0€ ">Iäidn‡0tòe‚ ze‡ðwìucky‰ wasˆãEckankarˆ‚follow†8 —™Š¡churches,‡úŠ‚mat‡` ƒ.
L i } v µ Ì Z ^ s l Á P v µ v Ì w ï í u î ì î ì } l µ Ì Ì } Á s v v Ç Z Ì Ì v } Á v Ç Z Ì Ì ^ s l ' Á Á l Á Z } Ï Ç u X.  є åŒ ótA !. AlphaGo (16) and AlphaZero (17) Tail problem approximation u1 k u 2 k u 3 k u 4 k u 5 k Constraint Relaxation UU1 U2 AlphaZero (GoogleDeep Mind)Chess from Another Planet At State x k Current state x0MCTS Lookahead Minimization Costtogo Approximation.
< ˛ = >?. @ a b ˆ c d e f g h i j k l m ˘ n o ˙ ˝ ˛ p 3 8 6 7 q r s ˆ c. =0 LECTURE Markov Processes – III Readings Section 64 Lecture outline • Review of steadystate behavior • Probability of blocked phone calls • Calculating absorption probabilities • Calculating expected time to absorption Review • Assume a single class of recurrent states, aperiodic Then, lim n→∞ r ij (n.
' l u t l Ì Ç s l u X W } Ì Ì Á Ç Á u µ Ì Ç l Ï Ç u } Ç o Ì Ç v } ' Ì Ç t l Á l µ X. S µ P } s ' l U ì ô X ì ï X î ì í õ X. 0Ì 7b e L@ !.
ˇ "˚ ˘ #$ " "˚ %& ˘ ˆ˚. T Ç Ï Ì ^ Ì l } s v l } Á Á t Ì Á Ì Ì Á t Ì Á Ì Ç µ o X B Ì Ç w l i î ñ U Á v } } Ì Ç i ï í í } Á v i µ Ì o v. W } v Ì s l ï ì X ì ï X d u W t } v l P o Ì Ç l î X ^ s µ Z v } } Á v X l Ì Ç v ( P u v u t } l Ç Z.
Title Microsoft Word ZESTAW PODRÄ CZNIKÃ W DLA KLASY 6 W ROKU SZKOLNYM 17 Author Monika Created Date 1/9/18 PM. X(t) = (1−2t)−2, M Y (t) = (1−2t)−3 Find Var(X Y) 9 pts Solution This is a simplified form of Problem 9 from HW 10 Since X and Y are independent, X Y has mgf M XY (t) = M X(t)M Y (t) = (1−2t)−5 Hence, M0 XY (t) = 5·2(1−2t) −6, M0 XY (0) = 10, M00 XY (t) = 10·6·2(1−2t)−7, M X 00 Y (0) = 1, Var(X Y) = M00. Á Á Ì w } v v Ç Z v í ô ~ } Ì v v } } v Ì o l µ } Ì Á l µ r } } Ì Ç i l Ç Á v }.
Ì l } t Ï l t l Ì } } s } Ì t s X E Z s } h Á P J } v J t Ì Ì Ç u µ i ' Ì Ì Z Á o ' Á Ì µ Z µ X. " # $ % & ˛ ’ ˛ * , / 0 1 0 2 3 4 5 6 7 8 9 6 ˛ ;. O } v ^ Z µ Ì } o Ì t Z µ ~W } o i K Z } v v Á t Ì Á X í ò í î l í U ó ì ó l í t Ç l Ì Ç ( µ v l i } v µ Ì Ç , ( } o Ì í õ ð ì r í õ ð ì í í ô v u l https//collectionsushmmorg.
NÆ ‚%7z‡výª§^ߨŒ¿¯G$^ñÞ õ ^püóº»/‘ç'Ö_5hUl‘öø ßàóœ¯Cñîüî¤zï ~š^Ô(ÏicM¯®c£ Ýš‡L©Òï{ÞýôD oUë“Á/Úíz¹ ¼œ ¥Ÿ ã‹–”v¼ s§·d#éw €çñ–^ìv $ sùuÿ x îjl¾še\ƒzæ ke"zpæ/úÞ ,p)Yª¡l¨%™bµ9n€ ‡ fý¦ýú \ƒ Í p$à ŽðêzŽ*Òò¿ û;>Z. ï ìD s X E o À Z W v Z Ç ^ ÇW v Z Ç Z i v o À Z À i µ o µ P u o X } u Z } } ï íD ^, /< Z/ t E D ,/> ^ DZ. Title Microsoft Word matematyka_8_1505 Author gaÅ ka Created Date 5/15/ AM.
€0ãlass="calibre1‚=PƒïƒïƒîBƒïƒï °Q">WhatÉÌearnedénôheÒema‚0ers Ri `yïnÇregÊoiningôheÂand. FDSOI Óé·µtSZ µ»¿«Ï w¹ÑĤå 1 Q ô 0f Ow S ÃÌ µ³Ûáè ³ãï ;Mh °A > Ê G 1 y > k 1 è T 1 A B us Ï É w I=t PM¹ÑĤå t B us Ïw ô T Q ÿ. K ¥ t S Z » µ « t 0 ` o 7 & s M f « b M O w ° m t § = ¶ 6 U K Sutton 18 } § = ¶ 6 x ° ` t » µ « w è $ S é ` h C A ) Q \ q t l o ¥ w Þ Ã ç t 0 b Ä ² Ý Í $ s £ ô ø s ` t » µ « w r O ¶ 6 p V M O q ` o « è ^ o V hMnih 15,Levine 16,Silver 17 } ` T `.
µ Ì µ Á Ç Ì v U l Ç µ X ñ X E o Ï Ç } P v Ì Ç v v Ì l } s Ç l o Á l Ì Ç Á v } Ì Ì Á v Ì U i o Z } v } i. „ 3" ô@ !. % & ˘ˇˆ˙˝˛˚˜ !" ˘ ˇ ˆ ˙ ˝˛ ˘ ˇ ˚ ˜ ˘ ˇ ˚ ˙ !.
ì ñ X ì ñ X î ì î ì X t Á P } Ì X o l Ç i v ì ñ X ì ñ X î ì î ì X ì ò X ì ñ X î ì î ì X d WE Ì Á Ç l s Ç Á v µ Ç Á Á Ì. W } v Ì s l r ì ð X ì ñ X t s// Ç Ì w d u W D µ Ì Ç l i Á Ì ' Ì X W } u } W î µ o l o l } Á U o v U s Ç Ï l U P Ì U } s Á l. S/// X K_t/ E/ ð / X WK ^d tKt /E&KZD K ^WMB v } Á } Á } ^ s DD } v ( v ^ X X ^ Ì W t Ì Á W ì ì r î ð í t Ì Á U µ o X s µ P ð ð l ñ ì.
S f t S Z Ï ~ µ q $ A w î q ¶ Í x ® w Á 0 f w Ó å ¿ Ä Ñ ¥ Ü ¯ t æ z T 5 Ô w § Æ s w Ê z / 1 0 Ñ æ ~ ¶ 6 § ô s ¶ Í s t S Z , ¶ ' w h w § ¢ ¤ @ w z ¶ ². Generalized Linear Models Objectives † Systematic Random † Exponential family † Maximum likelihood estimation & inference 45 Heagerty, Bio/Stat 571 ’ & $ %. Title Microsoft Word ã ¹ã 㠤㠫㠻ã ã §ã 㠯㠷㠼ã 18docx Author user Created Date 2/3/ AM.

Math Text A Random Variable X Text Has The Poisson Distribution P X Mu E Mu Mu X X Text For X 0 1 2 Text Show

Understanding The Covariance Matrix Datascience

Grundlaggande Matematisk Statistik Pdf Free Download
T Sx Ui のギャラリー

T Distribution Formula Learn Formula For T Distribution

Chapter 17 Confidence Intervals For A Mean Sta 135 Notes Murray State

For A Signed Measure Mu Is Y T Int 0 Tx S Mu Ds Continuous Mathematics Stack Exchange

The Standard Normal Distribution Introduction To Statistics

Chapter 8 The Distribution Of Statistics E 370

Continuous Pymc3 3 11 2 Documentation
Log Normal Distribution Wikipedia

Amazon Co Jp Mars16 X Love Live M S T Shirt Clothing Accessories

Content Mean And Variance Of A Continuous Random Variable

Answered Evaluate The Following Formula For X Bartleby

Normal Distribution Gaussian Distribution Video Khan Academy

Off Shell Effects In T Bar T Gamma Z Production At The Lhc Cern Document Server

Multivariate Normal Distribution And Testing For Means See Mkb Ch 3 Pdf Free Download

Student S T Distribution And Its Applications Properties Procedure Steps Example Solved Problems Statistics
Left Geodesic Deviation N µ Of Two Geodesics Defined By X µ L S 1 Download Scientific Diagram

Normal Distribution Gaussian Normal Random Variables Pdf

Z Score Calculator

7 1 The Central Limit Theorem For Sample Means Averages Introduction To Statistics

Probability Distribution Type Of Distributions Skewness Kurtosis Addition Rule Multiplication Rule Permutation Condition Probability Bayes Theorem With Ppt Download

4 The Z Score
The Contribution Of Pi B Activ F Or X µ Cm T S Ps Part T D M Download Scientific Diagram

Mean Expected Value Of A Discrete Random Variable Video Khan Academy

Solutions To Statistical Infeence By George Casella

Probability Density Function Of X T Dotted Line With µ T 2 Download Scientific Diagram
Logistic Distribution Wikipedia

Characteristics Of A Normal Distribution
Chebyshev S Inequality Wikipedia
Exponential Distribution Wikipedia

Z Score Definition Calculation Interpretation Simply Psychology

Handbook Of Item Response Theory Volume Two Statistical Tools

Understanding The Covariance Matrix Datascience

Off Shell Effects In T Bar T Gamma Z Production At The Lhc Cern Document Server
Probability Density Function

Characteristics Of A Normal Distribution

The Contribution Of Pi B Activ F Or X µ Cm T S Ps Part T D M Download Scientific Diagram

Chebyshev S Inequality

Probability Distribution Ppt Download

Moment Generating Function Explained By Aerin Kim Towards Data Science

Chapter7 Ct4 07 Survival Models 1 5 Page 9 The Probability Density Function Of Tx The Distribution Function Of Tx Is Fx T By Definition We Also Want Course Hero

Solved You Re About To Take An Iid Sample X From Chegg Com

Z Statistics Vs T Statistics Video Khan Academy

Introduction To Hypothesis Testing In R Learn Every Concept From Scratch Dataflair

Solutions To Statistical Infeence By George Casella

Permutation And Combination Normal Distribution Confidence Interval Hypothesis Test Programmer Sought

Mystery Tape I 7 By Remo
Solved When X Is The Mean Of A Random Sample Of Size N Fr Chegg Com
Inverse Gaussian Distribution Wikipedia

Maximum Likelihood Estimation Explained Normal Distribution By Marissa Eppes Towards Data Science

Solved 1 Let 712 1 Be Iid Random Variables With E Chegg Com

Ppt One Sample T Test For The Mean Of The Normal Distribution Powerpoint Presentation Id
Probability Density Function

One Sample T Test Real Statistics Using Excel

Chapter 5 Interval Estimates And Confidence Intervals Mas113 Part 2 Data Science

Student S T Distribution Ppt Download

Reference Frame S Passes Reference Frame S With A Certain Velocity Events 1 And 2 Are To Have A Certain Temporal Separation T According To The S Observer However Their Spatial Separation

Chapter Inference About A Population Mean Ppt Download
Variance Wikipedia
Bias Of An Estimator Wikipedia

Poly Di M 2 Aqua M 5 Pyridine 2 6 Dicarboxylato M 3 Pyridine 2 6 Dicarboxylato Cobalt Ii Disodium Topic Of Research Paper In Chemical Sciences Download Scholarly Article Pdf And Read For Free On Cyberleninka Open Science Hub
Standard Deviation Formula For The Population S Chegg Com

Local Particles Numbers In Critical Branching Random Walk Springerlink

The K S X T Distribution For The Forced Klein Gordon Equation With U Download Scientific Diagram

Proof Of The Curtis Hedlund Theorem Why Is There A Function Mu Colon A S To A Such That Tau X 1 G Mu X S For All X In A G Mathematics Stack Exchange

Used Black 09 Acura Tsx Auto W Premium Pkg Review Vegreville Alberta Youtube

Estimated Density Of The First Passage Area A µ S X Of X T X µt Download Scientific Diagram

Answered Construct The Indicated Confidence Bartleby

Biostatistic Kueu 3146 Kbeb 3153 Biostatistic Estimation Binomial

Characteristics Of A Normal Distribution

Lecture Notes 1 Brief Review Of Basic Probability Pdf Free Download

Basic Concepts Of The Poisson Process

Do You Know Some Random Facts By Paige

Probability Distribution Ppt Download
Solved A Random Sample Of Size N 25 From A Normal Popul Chegg Com

The T Distribution Aka Students Tdistribution Is A

Understanding The Covariance Matrix Datascience

Chapter 4 Multivariate Distributions Pdf Free Download

Probability Distribution Ppt Download

Z Score Table Formula Distribution Table Chart Example

46 Performing One Sample And Two Sample T

Normal Distribution Matlab Simulink

Measure Theoretic Fubini Tonelli Theorems Integrating W R T Variables T X Y Instead Of Measures Mu Nu P Mathematics Stack Exchange

Undamped Duffing Equation With T

Fiocchi 30 06 Springfield 168gr Tip Tsx Shooters Supplies

Chapter 7 Inference On The Mean Foundations Of Statistics With R

Central Limit Theorem

Normal Distribution Matlab Simulink

The T Distribution Aka Students Tdistribution Is A

Superspreading And The Gini Coefficient

Z Score Definition Calculation Interpretation Simply Psychology



