K In
Sooo this is a really good multi part contest plz join.
K in. Mar 26, 14 · THINK Before You Speak Before you send out your next email or have a difficult conversation with an employee, take the time to review this guideline. Search through our comprehensive database of words using our advanced word finder and unscrambler. 1,510 Followers, 6 Following, 56 Posts See Instagram photos and videos from KIN (COFFEEKITCHEN) (@__k__i__n__).
Explore K e v i n's 23,368 photos on Flickr!. Find skins like this almost equal very similar quite similar. 7 reviews of K I N K Fm 102 "KINK has been the same style of format since sign on in the 1960s KINK is not like sisterstation KZOK though instead of remaining a "classics only" station, they grabbed the "triple A" format by its horns and did their own thing Thankfully, the station's been sold into local hands again (Alpha Broadcasting) and hopefully will remain fullystaffed.
KIN – In Theaters August 31, 18 Purchase tickets here https//ticketskinmovie/Starring Jack Reynor, Zoë Kravitz, Carrie Coon, with Dennis Quaid, and Ja. Krishna Infrared Detector KIND Laboratory Caldwell Hall 234 West 18th Ave Columbus, Ohio. UNICEF USA Be KIND to a Student in Malawi Donate a Desk or Scholarship Every day, the majority of students in Malawi struggle to learn while sitting on the ground Giving them a desk empowers their educational journey and fuels their dreams for the future Join the UNICEF USA and MSNBC's "The Last Word with Lawrence O'Donnell" in an ambitious campaign called KIND.
KING Protect the Earth from otherworldly invaders!. The new KIND CBD products are now online, available for purchase!. Aug 31, 18 · Kin Directed by Jonathan Baker, Josh Baker With Myles Truitt, Jack Reynor, Dennis Quaid, Zoë Kravitz Chased by a vengeful criminal, the feds and a gang of otherworldly soldiers, an excon and his adopted teenage brother go on the run with a.
"K I N G" is a single by Norwegian black metal band Satyricon, from their 06 album Now, DiabolicalThe single was released on 3 April 06, limited to 1,000 copies and for the Norwegian market only The song and accompanying video saw limited airplay in the US on MTV's Headbangers Ball citation needed. Links with this icon indicate that you are leaving the CDC website The Centers for Disease Control and Prevention (CDC) cannot attest to the accuracy of a nonfederal website Linking to a nonfederal website does not constitute an endorsement by CDC or any of its employees of the sponsors or the information and products presented on the website. KIND fund Lawrence O'Donnell and UNICEF teamed up to provide school desks to children in Malawi through the groundbreaking project, Kids in Need of Desks.
Our line consists of Pure CBD and Full Spectrum CBD products, differentiated from the countless CBD products in the market by the high quality contents our CBD products are infused with. Aug 01, 10 · wiki created 1 August 10 Pinkerton School is a boarding school, with two teachers One of the teachers, Ms Macbeth, is constantly trying to enslave the children of the school However, four of the students act as a secret organisation known as "The Invisible Network of Kids", or "INK" for short INK's mission is to thwart all of Ms Macbeth's evil plans Add a photo to. Share your videos with friends, family, and the world.
Nov 02, · A post shared by MANKIND (@mankind) on Oct 22, at 908pm PDT For more contemporary fashion news, mindseeker and Rocky Mountain Featherbed have come together to reimagine heritage styling. KISSING Nursery Rhyme KISSING (Kay Eye Ess Ess Eye En Gee) with Lyrics and Music KISSING is a popular schoolyard rhyme / playground song that is used in the USA and in UK The main purpose with this song, is to make the persons named in the song embarrased. Dec 11, 12 · In an effort to make education more accessible for these students, the KIND fund will now provide scholarships for 2,000 Malawian girls,.
Mar 04, 17 · KINETIK 1,465 likes · 1 talking about this Poet Writer Storyteller Boom Bap Baby #2 Author of The Kinesis Thesis Pro Wrestling Fanatic Jerk. VeryPink offers knitting patterns and video tutorials from Staci Perry Short technique videos and longer pattern tutorials to take your knitting skills to the next level. LINKS mentors understand how valuable this information is for everyone regardless of how long you have been affiliated with this lifestyle Becoming a part of the LINKS team ensures families will continue learning about the hundreds of resources available to them, and encourages you to grow your talents and skillsets Become a Mentor.
. It all starts with quality The quality of our starting cannabis materials, and the craftsmanship of our vaping hardware, have given our KIND Resin product lineup its unmatched reputation and the popularity it currently holds in the market today. Find derivations Skins created based on this one;.
Nov 13, 07 · The Girl from BIKINI Directed by Fred Olen Ray With Beverly Lynne, Nicole Sheridan, Brad Bartram, Voodoo Tania, a sexy secret agent, shakes up the international espionage circuit BIKINI (Bureau of International Knowledge and Nonstandard Investigations) has knowledge of a criminal organization tapping into their signals with the CIA. KISSING is my signature range of lipsticks curated with modern and classic icons in mind The Lipstick Tree extracts will help protect your lips from UV damage, leaving them kissablysoft Lightdiffusing pigments give you a luminous, fullbodied pout, as they capture and reflect light back out. Check out KINGKai's art on DeviantArt Browse the user profile and get inspired.
Jun 01, 16 · KING stands for Kolossal Intervension Giant A worldwide security agency created to battle any treats to the Earth As a member you need to restore order after the war that had began in Riot City and you need to use giants to do that!. Be KIND To a Student in Malawi Donate a Desk Seventy percent of school children in Malawi do not have a desk or a chair Every day, millions of children throughout Africa struggle to learn while sitting on the floor or on the ground outdoors Giving them a desk, where they can write and concentrate, is the first step towards creating an. What is a KIND ResinTM premium THC Oil vape cartridge?.
Cite as 26 I&N Dec 773 (BIA 16) Interim Decision # 3866 773 Matter of MJK, Respondent Decided June 29, 16 US Department of Justice. Create your very own Giant Robot and fight against the enemies!. KING is one of our selected Action Games Play KING for Free, and Have Fun!.
See Matter of SK, 23 I&N Dec 936 (BIA 06) After the Board issued its decision, the Secretary of Homeland Security (“Secretary”) made a determination pursuant to his discretionary authority under section 212(d)(3)(B)(i) of the Act that the material support bar on asylum would not apply to certain aliens who have provided material support. Explore origin 0 Base skins used to create this skin;. Soile Solstice Fall/Winter A continuous story of MANKIND manifests itself — Civilization, culture, dignity, suffering, prosper, winning or losing, and all of the things that made us human in shaping our humanity — This season remarks as a new discovery throughout the cultural elements of an ethnic or social group that are rooted in the past, but are persisting into the.
(K) subject to subsections (d) and (p) 1 of section 1184 of this title, an alien who(i) is the fiancée or fiancé of a citizen of the United States (other than a citizen described in section 1154(a)(1)(A)(viii)(I) of this title) and who seeks to enter the United States solely to conclude a valid marriage with the petitioner within ninety days. K I N G K a i 43 likes · 3 talking about this The Blues Facebook is showing information to help you better understand the purpose of a Page. Feb 15, 21 · F l a m e K i n g / / Contest Shadodragon 305 Follow Unfollow 4px arm (Classic) Background F l a m e K i n g / / Contest Shadodragon 305 Follow Unfollow Posted on Feb 15, 21 About 3 months ago 6168 5106 11 136 ~*SHOW MORE*~ hi!.
10 Followers, 40 Following, 0 Posts See Instagram photos and videos from ∆👑__K__I__N__H__👑∆ (@__k__i__n__h__). A K I N D 1 like Clothing Brand Aiming to make clothes affordable and help our costumers feel incredible and amazing with their bodies through mind suggestion, because we are all amazing,. Member since Nov 23,06 has 30 images, 2428 friends on Model Mayhem.
KIN Knowledge in Indigenous Networks Kia aho matuahia te taketake, kia tūwaerea te tauWhen intellect turns to intuition, knowledge becomes wisdom. What makes it an industry leading vape product?. May 19, 21 · LINKS is an acronym that stands for Lifestyle Insights, Networking, Knowledge, and Skills It is an interactive acculturation program to Marine Corps life and the local installation Participants learn about Corps history and rank, local installation resources, services, and benefits, military pay, separation and deployment, crossroad.
May 29, 21 · Zillow has 72,144 homes for sale in California View listing photos, review sales history, and use our detailed real estate filters to find the perfect place. Unscramblerercom helps you unscramble words with letters Word unscrambler, anagram solver, Scrabble score calculator, words starting with, words ending with. Rap Dictionary (000 / 0 votes) Rate this definition ink Found In Brownsburg, Indiana Founded By Norris “Airplane” Keller (Ruthless Klan) Years Active 1970Present Territory Unknown Ethnicity White and some Hispanic Membership Unknown Criminal Activities Murder, Assault, Drug Trafficking, Extortion, Racketeering, Arm Trafficking, Arm Robbery, Money Laundering and.
MINKS offers a variety of developmental services designed to help children and adults with emotional and behavioral problems overcome their challenges and live successfully at home Family is a necessary foundation for anyone and we strive to support a variety of needs that can create a better balance for everyone. Mar 25, 15 · Official model mayhem page of S K I N;.
Binomialkoeffizient Wikipedia
Teorema Del Binomio Wikipedia La Enciclopedia Libre

K N Residence By Valerio Olgiati House Interior Interior Furniture Home
K In のギャラリー

The Binomial Theorem Explained With A Special Splash Of Pascal S By Brett Berry Math Hacks Medium

4 628 Best Kn Images Stock Photos Vectors Adobe Stock

What Is The Julia Function To Count Combinations N Choose K Stack Overflow

K N S Wikipedia
If Sum N 0 Oo2cot 1 N 2 N 4 2 Kpi Then Find The Value O

Ex 3 2 21 The Restriction On N K P So That Py Wy Is

Determining The Big O Runtimes Of These Different Loops Stack Overflow
A K 1 K K 1 For K 1 2 3 4 N Then Sum K 1 N A K 2

Letras Rojas Mayusculas Elegantes En Estilo Swirly Vendimia Adornados Por Lineas Torcidas Volutas Y Puntos Aislados En El Fondo Blanco Letras F K N R S T W Ilustraciones Vectoriales Clip Art

K N Vectores Graficos Imagenes Vectoriales Depositphotos

Tema Muestreo Sistematico

Proclinic Limas K N 6 10
Solved The Spring Has A Stiffness K 0 N M And An Unstr Chegg Com
Do K And N Air Filters Make A Noticeable Difference In Car Performance Quora

Binomialkoeffizient Berechnen Formel Beispiel Mit Video
Binomialkoeffizient Rechenregeln Serlo Mathe Fur Nicht Freaks Wikibooks Sammlung Freier Lehr Sach Und Fachbucher

Factorial Sums From Wolfram Mathworld

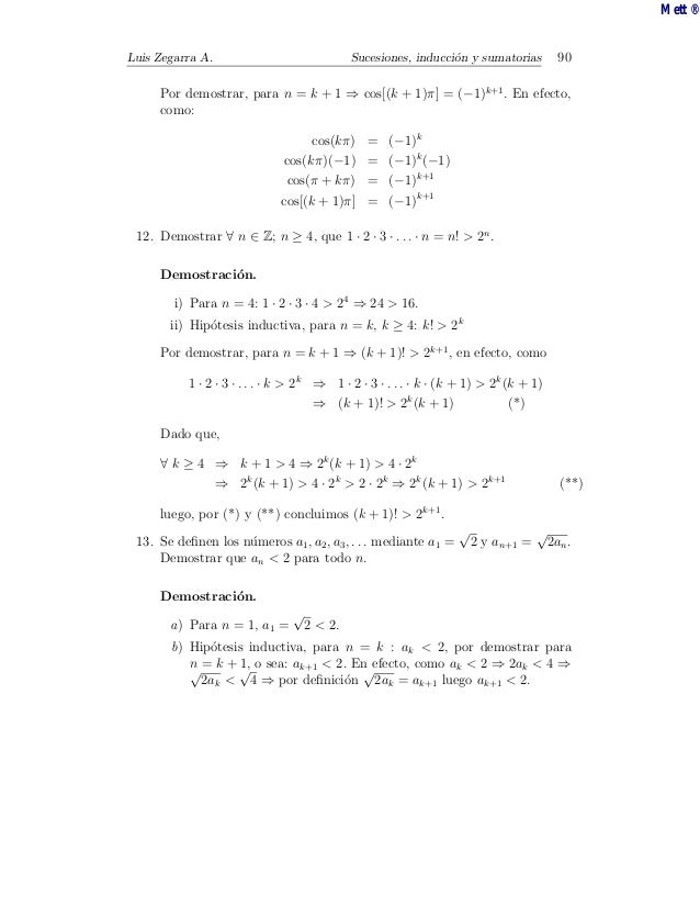
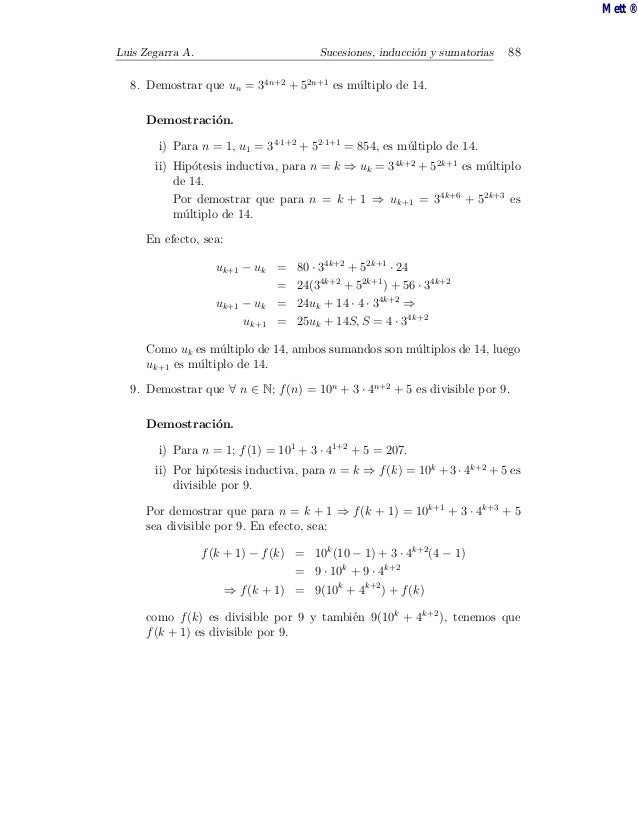
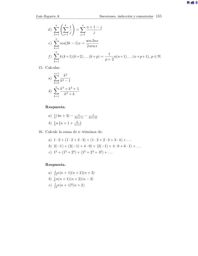
Sucesiones Induccion Y Sumatorias

Prove That Sum K 0 N Nc K Sinkx Cos N K X 2

Air Filter K N Harley Davidson Dyna 08 17 Spaciobiker

Air Filter K N Harley Davidson Dyna 08 17 Spaciobiker

Rose Gold Letter K Wallpaper

K N Logo Png Transparent Svg Vector Freebie Supply

Letter Kn Logo Hd Stock Images Shutterstock

Evga Products Evga Geforce Rtx 3090 K Ngp N Hybrid Gaming 24g P5 3998 Kr 24gb Gddr6x Icx3 Technology Hybrid Cooler Oled Display Metal Backplate 24g P5 3998 Kr

Combinatorics What Is N Choose K Youtube

N Love K Images Stock Photos Vectors Shutterstock

Ensanchadores K 21mm N 15 6u Dentsply Maillefer Henry Schein Espana S L

Analisis De Senales Y De Sistemas Discretos En El Dominio Del Tiempo Monografias Com

Binomialkoeffizient Berechnen Formel Beispiel Mit Video

K N 85 21 Universal Plenum Coche Amazon Es Coche Y Moto

N Love K Images Stock Photos Vectors Shutterstock

Como Calcular El Coeficiente Binomial O Numero Combinatorio Juliana La Profe Youtube

Draw The Lewis Structure Of K3n Potassium Nitride Youtube
Pascal S Rule Wikipedia
Binomialkoeffizient Rechenregeln Serlo Mathe Fur Nicht Freaks Wikibooks Sammlung Freier Lehr Sach Und Fachbucher
Binomial Coefficient Calculator

Combinatoria

Un Resorte Tiene Una Constante De Fuerza K 10 N M Cuanto Debe Estirarse El Resorte Para Brainly Lat

Show That K N N 1 Show That Summation K2 N N Chegg Com
K N Filtro Aire Chevrolet Cruze 2 0d Turbo Diesel 33 2966 Filtros De Aire Tuning Para Coches Piezas Y Accesorios Para Motor Supercoachtalk Com

K N Frieghtlines Excellence In Frieght Services Logistics And Warehousing
Ilustracion De Complejo Multivitaminico Para La Salud Vitamina A B1 B2 B5 B6 B9 B12 C D E K N Esferas 3d Coloridas Vector Y Mas Vectores Libres De Derechos De Alimento Istock

Is There Any Elementary Formula For The Sequence Sum K 1 N Left 2k 1 Right Left Frac 1 2 Right K Mathematics Stack Exchange

The Small Gtpases K Ras N Ras And H Ras Have Distinct Biochemical Properties Determined By Allosteric Effects Journal Of Biological Chemistry

Letter Kn Logo Hd Stock Images Shutterstock

N Love K Images Stock Photos Vectors Shutterstock

K N Hd 84 Rendimiento Filtro De Aire 04 13 Harley Davi Iego Xl10 74 Cl Buy Air Filter 04 13 Harley Davidson Xl10c Xl10x Xl8l Xl8n Xl10n Xl8r Xl8c Xl8l Xl10r

Clase Anterior Tabla De Vida Vertical Ppt Descargar

Sum Of The First K Binomial Coefficients For Fixed N Mathoverflow
.jpg)
Nuevo Grado En Ciencia Tecnologia Y Humanidades Uab Uam Uc3m Institut D Historia De La Ciencia Uab Barcelona

K Pop N More

4 628 Best Kn Images Stock Photos Vectors Adobe Stock
Let Sn S N N 2 Kn K 2 For K 0 To N And Tn S N N 2 Kn K 2 For K 0 To N 1 For N 1 2 3 Then Sarthaks Econnect Largest Online Education Community

N Choose K Formula Learn The Formula Of Combinations Cuemath

Una De Las Aplicaciones Ppt Descargar

Binomialkoeffizient

Filtro De Aire Kn Ingenieria Logotipo Imagen Png Imagen Transparente Descarga Gratuita
Binomialkoeffizient Rechenregeln Serlo Mathe Fur Nicht Freaks Wikibooks Sammlung Freier Lehr Sach Und Fachbucher
Teorema Del Binomio Wikipedia La Enciclopedia Libre

A K 1 K K 1 For K 1 2 3 4 N Then Sum K 1 N A K 2

Dispuesto En La Letra K Fotos E Imagenes De Stock Alamy

Art Of Problem Solving

Love Wallpaper Heart N Letter Images

De Moivre Theorem For Fractional Power K N Explanation Mathematics Stack Exchange

N Love K Images Stock Photos Vectors Shutterstock

Kpbx4 Lcck E M

Evga Articles Evga Geforce Rtx 80 Ti K Ngp N

Showing Two Definitions Of A Binomial Coefficient Are The Same Mathematics Stack Exchange

Table Of C N K The Number Of Binary Sequences Of Length N And Download Table

Sucesiones Induccion Y Sumatorias
Coeficiente Binomial Wikipedia La Enciclopedia Libre

3 Laguerre Functions Laguerre Ode Rodrigues Formula Schlaefli

Real Estate Agencies In Alicante Spainhouses Net

Combination Definition Formula And Practical Example

4 628 Best Kn Images Stock Photos Vectors Adobe Stock

Binomialkoeffizient

Art Of Problem Solving

Amazon Com K N Air Filter Cleaning Kit Aerosol Filter Cleaner And Oil Kit Restores Engine Air Filter Performance Service Kit 99 5000 Automotive

Logotipo De Letra Kn K N Con Diseno De Textura Rosa Azul Roto Roto Vector Grafico Vectorial C Twindesigner Imagen

Sucesiones Induccion Y Sumatorias

3 Laguerre Functions Laguerre Ode Rodrigues Formula Schlaefli
Let Sn S N N 2 Kn K 2 For K 0 To N And Tn S N N 2 Kn K 2 For K 0 To N 1 For N 1 2 3 Then Sarthaks Econnect Largest Online Education Community

Inno N

Alexci N Phi K Cibon

4 628 Best Kn Images Stock Photos Vectors Adobe Stock

Solved Part F Is Wrong In This Riemann Sum Problem Not Su Chegg Com
Hyundai N Worldwide Youtube

Lecitrailer Kit Montaje Leva Bpw H K N
Sum Of N N Or N Brilliant Math Science Wiki

Mediana



